Supervised Open Information Extraction
Open Information Extraction (Open IE) :is systems
extract tuples of natural language expressions that
represent the basic propositions asserted by a sentence.
Usages :They have been used for
a wide variety of tasks, such as textual entailment , question answering
, and knowledge base populations
- Open IE was used in Semi-supervised approach or rule based algorithm . In this paper they present new data and method for open IE to improve the performance they used supervised learning .
- They extend QA-SRL techniques and apply it to the QAMR corpus.
Background :
Different open IE system and flavors:
Open IE development and lack of standard benchmark dataset make various Open IE systems tackling different facets of the same task.
Open IE Corpora:
They create and make available a new Open IE training corpus, All Words Open IE (AW-OIE), derived from QAMR
BIO Encoding:
Each tuple is encoded with respect to a single predicate, where argument labels indicate their position in the tuple
Text

Evaluation
Metrics
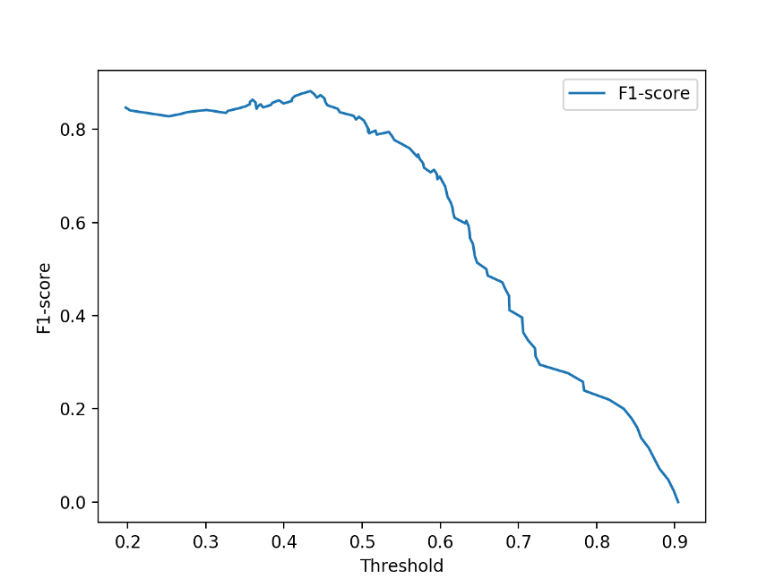
- Precision-recall (PR) curve
- Compute the area under the PR curve(AUC)
- F-measure


Precision =
True Positives / (True Positives + False Positives)
Recall =
True Positives / (True Positives + False Negatives)
F1 =
2* precision* recall/
precision + recall

The sheriff standing against the wall spoke in a very soft voice
Matching function
The Sheriff;
spoke; &
in a soft voice
The sheriff standing against the wall;
spoke;
in a very soft voice
| OIE2016 | WEB, NYT, PENN |
|---|---|
| Penn Treebank gold syntactic trees | predicted trees |


Evaluation result-1
Rank 1 1 1 1 1 3 2 1
Furthermore, on all of the test sets,
extending the training set significantly improves our model’s performance
Test set: Only | Include
verb predicates | nominalizations


Evaluation result-2
Performance Analysis - unseen predicates

The unseen part contains 145 unique predicate lemmas in 148 extractions,
24% out of the 590 unique predicate lemmas
&
7% out of the 1993 total extractions
RnnOIE-aw
Performance Analysis - Argument length and number

Performance Analysis - Runtime analysis
| ClausIE | PropS | Open IE4 | RnnOIE | |
|---|---|---|---|---|
| Xeon 2.3GHz CPU | 4.07 | 4.59 | 15.38 | 13.51 |
| Efficiency % | 26.5% | 29.8% | 100% | 87.8% |
Data set: 3200 sentences from OIE2016
Using GPU : RnnOIE get 11.047 times faster (149.25 sentences/sec)
(sentences/sec)
Performance Analysis - Error analysis
a random sample of 100 recall errors:

> 40 words
(Avg. :29.4 words/sentence )
Conclusion
Open IE

bi-LSTM
sequence tagging problem
formulating
BIO encoding
confidence score
extend
OIE2016
QAMR
train
QA-SRL paradigm
Pros and Cons
What's unique and impressive
- Supervise system
- Provide confidence scores for tuning their PR tradeoff
- Their system did perform well compare to others
What's need to be explain further
- Runtime analysis: GPU V.S. CPU
- Bullet Two
- Bullet Three

Supervised Open Information Extraction - paper review/part
By jackiechen08
Supervised Open Information Extraction - paper review/part
- 313
