Le produit Scalaire

\cos(\pi)
\cos\left(\frac{\pi}{2}\right)
\cos\left(-\frac{\pi}{2}\right)
\text{Ordre : }\vec{F}, \vec{f},\vec{R},\vec{P}.
On vient de calculer le produit scalaire des vecteurs \(\overrightarrow{F}\) et
\overrightarrow{F}.\,\overrightarrow{BC}=||\overrightarrow{F}||\times ||\overrightarrow{BC}||\times \cos \left(\overrightarrow{F},\overrightarrow{BC}\right)
\overrightarrow{BC}.
\overrightarrow{AD}=\overrightarrow{BC}\text{ donc }\overrightarrow{BC}.\,\overrightarrow{AC}= \overrightarrow{AD}.\,\overrightarrow{AC}
c
c\sqrt{2}
B est le projeté orthogonal de C sur (BI) donc
\overrightarrow{IC}.\,\overrightarrow{BI}=\overrightarrow{IB}.\,\overrightarrow{BI} =-IB^2=-1^2=-1
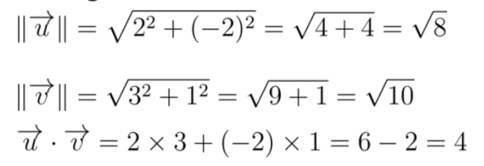
\overrightarrow{u}\begin{pmatrix}
2\\
-2
\end{pmatrix}
\overrightarrow{v}\begin{pmatrix}
3\\
1
\end{pmatrix}
\text{1. ABC est un triangle équilatéral donc }\left(\overrightarrow{BC},\overrightarrow{BA} \right)=\dfrac{\pi}{3}\text{ et }
\overrightarrow{BC}.\overrightarrow{BA} =BC\times BA \times \cos\left(\dfrac{\pi}{3}\right)=2\times 2 \times \dfrac{1}{2}=2.
\overrightarrow{BC}.\overrightarrow{BA} =\overrightarrow{BC}.\overrightarrow{BI} =BC\times BI =2\times 1 =2.
\text{Ou : } I\text{ est le projeté orthogonal de } A \text{ sur }(BC) \text{ donc }
\text{2. ABC est un triangle équilatéral donc }\left(\overrightarrow{BA},\overrightarrow{BI} \right)=\dfrac{\pi}{3}\text{ et }
\overrightarrow{BA}.\overrightarrow{BI} =BA\times BI \times \cos\left(\dfrac{\pi}{3}\right)=2\times 1 \times \dfrac{1}{2}=1.
\overrightarrow{BA}.\overrightarrow{BI} =\overrightarrow{BI}.\overrightarrow{BI} = BI^2 =1^2=1.
\text{Ou : } I\text{ est le projeté orthogonal de } A \text{ sur }(BI) \text{ donc }
\overrightarrow{AI}.\overrightarrow{AC} =AI\times AC \times \cos\left(\dfrac{\pi}{6}\right)=\sqrt{3}\times 2 \times \dfrac{\sqrt{3}}{2}=3.
\overrightarrow{AI}.\overrightarrow{AC} =\overrightarrow{AI}.\overrightarrow{AI} = AI^2 =\sqrt{3}^2=3.
\text{Ou : } I\text{ est le projeté orthogonal de } C\text{ sur }(AI) \text{ donc }
\text{3. Avec le théorème de Pythagore, on obtient }AI = \sqrt{3}.
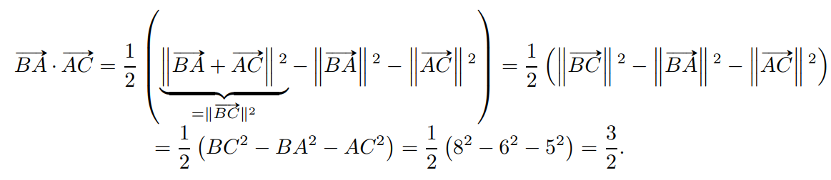
\overrightarrow{u}.\,\overrightarrow{v}=\dfrac{1}{2}\left(||\overrightarrow{u}+\overrightarrow{v}||^2-||\overrightarrow{u}||^2-||\overrightarrow{v}||^2\right)
Formule des normes :
Faire une figure
Orthogonalité :
Conjecturer - Élaborer une stratégie...
Faire une figure :
\overrightarrow{i}
\overrightarrow{j}
(A\,;\overrightarrow{i},\overrightarrow{j})
Utiliser un produit scalaire pour calculer un angle :
(en degrés)
Indications :
1) Calculer un produit scalaire puis utiliser son expression trigonométrique comme dans l'exercice précédent
2) Utiliser la relation de Chasles pour faire intervenir des vecteurs colinéaires ou orthogonaux.
On développe :
Méthode 2 : Avec un repère.
Expression trigonométrique :
[ID]
\sqrt{20}\times \sqrt{2}
Exercices supplémentaires
Produit scalaire et applications
By Jean-Marc Kraëber
Produit scalaire et applications
Lycée Saint-Exupery
- 7,208