Presentations
Templates
Features
Teams
Pricing
Log in
Sign up
Log in
Sign up
Menu
Convexité
\Delta x=1
\Delta y=-2
f'(0) \text{ est le coefficient directeur}
\text{de la tangente à la courbe au point}
\text{d'abscisse }0.
f'(0)=\dfrac{\Delta y}{\Delta x}=-2
\Delta x=1
\Delta y=3
f'(1) \text{ est le coefficient directeur}
\text{de la tangente à la courbe au point}
\text{d'abscisse }1.
f'(1)=\dfrac{\Delta y}{\Delta x}=3
f(0) \text{ est l'image de } 0 \text{ par }f
f(0)=0
f(1) \text{ est l'image de } 1 \text{ par }f
f(1)=0
\Delta y=0
\text{On remarque }g'(-3)=g'(3)
'
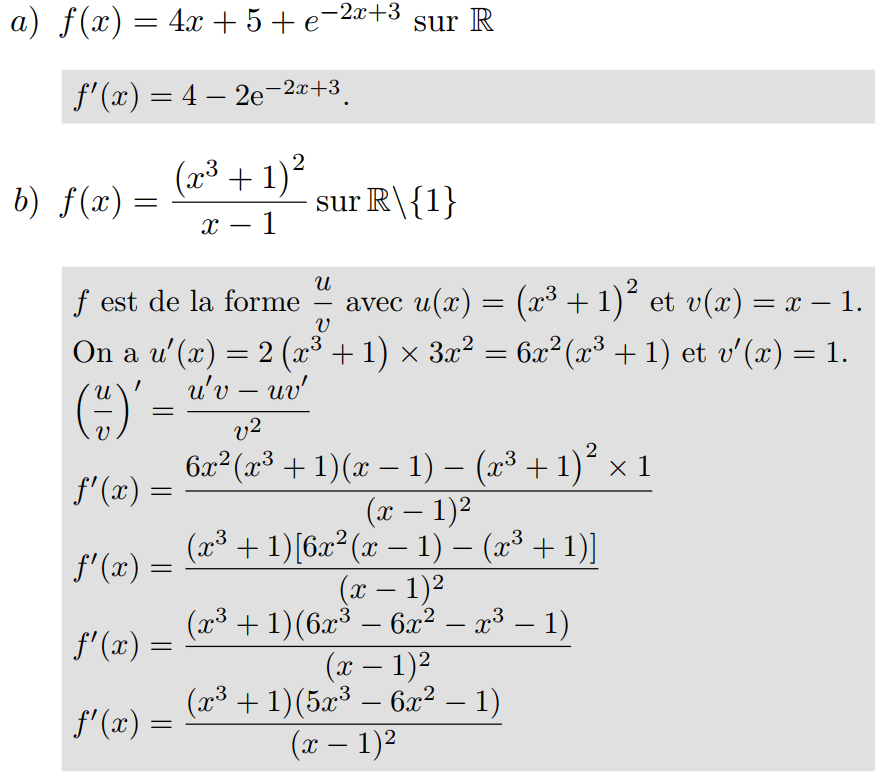
a)
b)
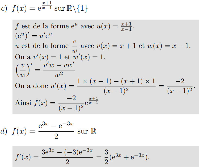
c)
d)
e)
f)
Convexité
By Jean-Marc Kraëber
Made with Slides.com
Convexité
Lycée Saint-Exupery - La Rochelle
5,458
Jean-Marc Kraëber
JM_Kraeber
More from
Jean-Marc Kraëber