Presentations
Templates
Features
Teams
Pricing
Log in
Sign up
Log in
Sign up
Menu
Suites géométriques
Act A p 87
Erreur : \(1,0075\)
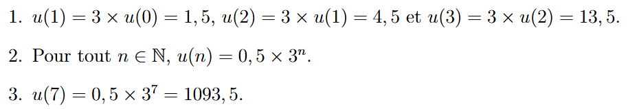
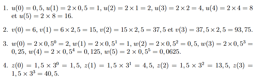
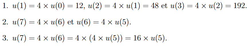
\text{entier naturel }n,\text{ on a : \quad }u({n+1})=u(n)\times q.
\text{ et }u(0)>0.
\text{ et }u(0)>0.
\text{ et }u(0)>0
\text{ et }v(0)>0
\text{Ici CM}_{\text{global}}=\dfrac{768}{1200}=0,64.
\text{Soit CM le coefficient multiplicateur correspondant à une compression :}
\text{On a CM}_{\text{global}}=\text{CM}^2\text{ donc CM}^2=0,64.
\text{On obtient CM}=\sqrt{0,64}=0,8.\quad(CM\geqslant0)
\text{Soit un taux de compression de }20\%.
\text{Or CM}=1+t\text{ donc }t=\text{CM}-1=0,8-1 =-0,2.
Suites géométriques
By Jean-Marc Kraëber
Made with Slides.com
Suites géométriques
Lycée Saint-Exupery - La Rochelle
2,250
Jean-Marc Kraëber
JM_Kraeber
More from
Jean-Marc Kraëber