Second degré

















(ou on utilise la courbe représentative)






















On résout l'inéquation \(12-3|x|\geqslant 0\) :
(ou \(12-3|x|\leqslant 0\))
On résout l'inéquation \(12-3|x|\geqslant 0\) :
Pensez à conjecturer le signe de la fonction à l'aide de la calculatrice...










Second degré
Fonction polynôme du second degré :
(forme développée)
(forme canonique)

Déterminer une forme canonique :
Méthode 1 : On calcule \(\alpha\) puis \(\beta\)
Ici \(a= -3\) et \(b=6\) donc \(\alpha = -\dfrac{6}{2\times (-3)}=1\).
La forme canonique de \(f\) est donc \(f(x) =-3(x-1)^2-1 \).
Déterminer une forme canonique :
Méthode 2 :
Mettre \(-3\) en facteur :
Reconnaître le début d'une identité remarquable :
Développer :
Démonstration (forme canonique) :
une fonction polynôme
On commence par mettre a en facteur (c’est possible, car ).
est le début du développement de
En effet,
Donc
Ainsi
du second degré.
En posant :
on obtient :
Démonstration (variations) :
Pour tous réels \(x_1\) et \(x_2\) de l'intervalle \(]-\infty ~;~\alpha]\) tels que :
Or, la fonction carré est décroissante sur \(]-\infty ~;~0]\) donc
Si a < 0 alors
Si a > 0 alors :
Un raisonnement analogue permet d'étudier le sens de variation sur l'intervalle \([\alpha~;~+\infty[\).
Si a < 0 alors :
Pour tout réel \(x\) :
On sait de plus que \(f(\alpha)=\beta\), on en déduit que \(\beta\) est le maximum de \(f\) sur \(\R\) et il est atteint pour \(x=\alpha\).
Si \(a>0\), un raisonnement analogue permet de montrer que \(\beta\) est le minimum de \(f\) sur \(\R\), atteint pour \(x=\alpha\).

Il faut déterminer les formes canoniques pour connaître \(\alpha\) et \(\beta\).



Soit \(V(x)\) la somme des volumes des deux cubes.







ou : \(a=2>0\) donc \(f\) admet un minimum. D'après la forme canonique de \(f\), ce minimum est \(\beta =14\) .
On en déduit que pour tout \(x\in\R,\; f(x)\geqslant 14\).




ou : \(a=-2<0\) donc \(f\) admet un maximum. D'après la forme canonique de \(f\), ce maximum est \(\beta =\dfrac{49}{8}\) .










Exercices supplémentaires










ou : \(a=1>0\) donc \(f\) admet un minimum. D'après la forme canonique de \(f\), ce minimum est \(\beta =-\dfrac{17}{4}\) .
On en déduit que pour tout \(x\in\R,\; f(x)\geqslant -\dfrac{17}{4}\).
2 Équation du second degré
2.1 Discriminant
Définition : On note
Δ s'appelle le discriminant du trinôme.
Exemples :
La forme canonique peut s'écrire :
Si Δ > 0 :
on peut donc écrire :
D'où :
L’équation est alors équivalente à :
ou
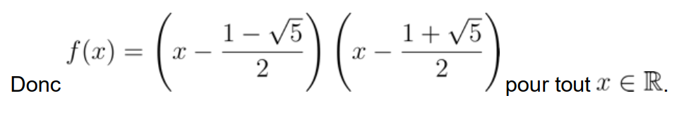
L’équation a alors deux solutions distinctes :
et
Si Δ = 0 :
La forme canonique devient :
L’équation est alors équivalente à :
L’équation a alors une seule solution :
Si Δ < 0 :
L’équation est alors équivalente à :


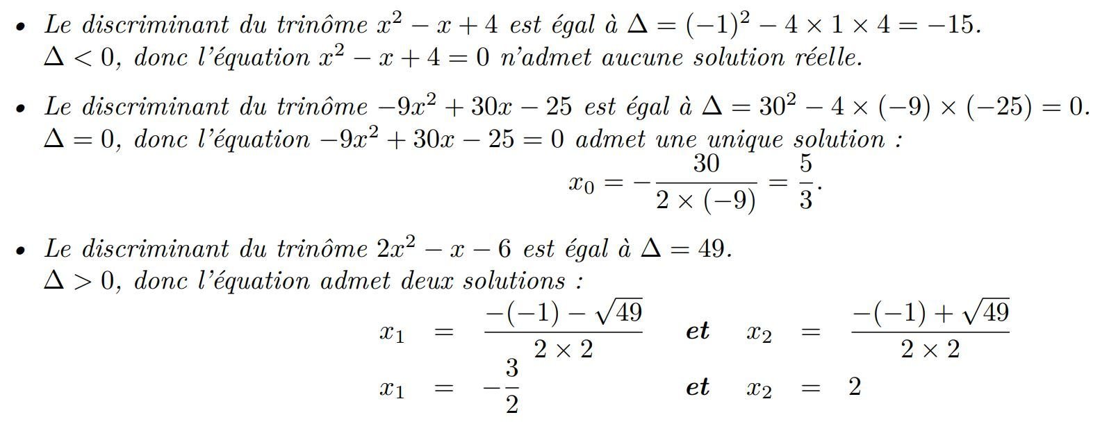
Exemples :



\(\Delta<0\) donc l'équation n'admet pas de solutions.
\(S=\empty\)

Donc l'équation admet une solution :
\(x_0=-\dfrac{b}{2a}=\dfrac{-24}{2\times 9}=-\dfrac{4}{3}\)

\(\Delta >0\) donc l'équation admet deux solutions :

\(\Delta >0\) donc l'équation admet deux solutions :


Résoudre les équations données dans R après avoir donné le domaine de résolution.






D'après le théorème de Thales, \(\dfrac{BM}{BA}=\dfrac{MN}{AC}\)
On a donc, \(\dfrac{x}{6}=\dfrac{MN}{6}\) d'où

Exercices supplémentaires









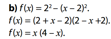
Factorisation


Résumé :
Racines - Signe - Factorisation
Signe



a) On calcule \(\Delta\)
\(\Delta=9\) ; \(\Delta>0\) donc le trinôme admet deux racines réelles, \(x_1 = -2\) et \(x_2=1\).
Le trinôme est du signe de \(a = 1\) donc positif à l'extérieur des racines







Cette inéquation est définie pour \(x\neq 0\) et pour \(x\neq -2\).


a) \(a = -10\). Le trinôme est positif à l'intérieur des racines \(-\dfrac{3}{5}\) et \(\dfrac{1}{2}\) :
b) \(a = 2\). Le trinôme est strictement négatif à l'intérieur des racines \(-2\) et \(\dfrac{3}{2}\) :
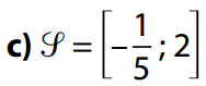
c)
\(a = -3\). Le trinôme est strictement négatif à l'extérieur des racines \(-\dfrac{5}{3}\) et 0 :
Exercices supplémentaires
Etudier le signe des trinômes suivants :




Pour les ex. 16 et 17 :
- Déterminer les abscisses des points d'intersection des courbes représentatives des fonctions f et g.
- Étudier leur position relative.











c) On vérifie que A est le seul point commun à la droite d'équation \(y=4x-4\) et à la parabole.
On dit que la droite est la tangente à la courbe au point A.
Compléments
Compléments
Compléments
Compléments
Compléments

AP Second degré
















Second degré
By Jean-Marc Kraëber
Second degré
Lycée Saint-Exupery - La Rochelle
- 2,487