Variables aléatoires
Utilisation de la calculatrice : Mode Statistiques


EX 1
EX 2
Linéarité de la moyenne
EX 3
EX 4
EX 5
EX 6
EX 7
EX 8
EX 9
EX 10
Version 1S
Probabilités - Variables aléatoires
1 Quelques rappels
1.1 Loi de probabilité
Définition :
On appelle expérience aléatoire toute expérience ayant plusieurs issues (ou éventualités) possibles et dont on ne peut pas prévoir à l’avance laquelle de ces issues sera réalisée.
Ces éventualités sont notées e1 ; e2 ; . . . ; en.
Leur ensemble est noté Ω est est appelé univers. On a donc
Ω = {e1 ; e2 ; . . . ; en}.
Exemple : On lance un dé à 6 faces. L’univers est Ω = {1 ; 2 ; 3 ; 4 ; 5 ; 6}.
Définition :
- Chaque éventualité est affectée d’une probabilité, c’est-à-dire d’un nombre noté pi tel que : 0 ≤ pi ≤ 1 et p1 + p2 + · · · + pn = 1
- On appelle loi de probabilité la donnée des pi vérifiant ces conditions.
- Si tous les événements élémentaires ont la même probabilité, on dit qu’ils sont équiprobables, ou que la loi de probabilité p est équiprobable.
Exemple : On lance un dé à 6 faces bien équilibré. Chaque face ayant les mêmes chances d’apparaître, chaque éventualité a une probabilité de
La loi de probabilité est donc :
| 1 | 2 | 3 | 4 | 5 | 6 | |
Remarque : De manière générale, si une expérience aléatoire est équiprobable et comporte n issues différentes, chacune des issues a une probabilité de \(\frac{1}{n} \)
1.2 Vocabulaire des événements
Définition :
Un événement A est une partie de l’univers Ω (on note A ⊂ Ω).
∅ est l’événement impossible.
Ω est l’événement certain.
Exemple : On lance un dé à 6 faces bien équilibré.
Des exemples d’événement :
A : « Obtenir un nombre pair » : A = {2 ; 4 ; 6}
B : « Obtenir un nombre inférieur ou égal à 2 » : B = {1 ; 2}
B’ : « Obtenir un nombre strictement supérieur à 4 » : B’ = {5 ; 6}
C : « Obtenir 7 » : C = ∅ (événement impossible)
D : « Obtenir un nombre inférieur ou égal à 6 » :
D = {1 ; 2 ; 3 ; 4 ; 5 ; 6} = Ω (événement certain)
Définition :
Soient A et B deux événements d’un univers Ω.
- L’événement A∩B est l’événement « A et B ».
- L’événement A∪B est l’événement « A ou B ».
- L’événement est l’événement « contraire de A » ou « non A ».
- Deux événements A et B sont incompatibles s’ils ne peuvent pas se réaliser en même temps, c’est-à-dire si A ∩ B = ∅.
Exemple : On reprend les notations de l’exemple précédent.
- A ∩ B est l’événement « Obtenir un nombre pair inférieur ou égal à 2 ». A ∩ B = {2}
- A ∪ B est l’événement « Obtenir un nombre pair ou un nombre inférieur ou égal à 2 ». A ∪ B = {1 ; 2 ; 4 ; 6}
- \(\bar{A}\) est l’événement « Obtenir un nombre impair ». \(\bar{A}\) = {1 ; 3 ; 5 }
- Les événements B et B’ sont incompatibles.
1.3 Probabilité d'un événement
Propriété :
La probabilité d’un événement A est la somme des probabilités des issues qui le composent. On la note p (A).
On a donc 0 ≤ p (A) ≤ 1.
Remarques :
- p (Ω) = 1 . L’ensemble Ω est un événement certain.
- p (∅) = 0 . L’ensemble vide est un événement impossible.
- Dans le cas de l’équiprobabilité, si l’univers Ω comporte n issues, on a :

Propriété :
- Si A et B sont deux événements :
p (A ∪ B) = p (A) + p (B) − p (A ∩ B) et p (\(\bar{A}\)) = 1 − p (A)
- Si les événements A et B sont incompatibles :
p (A ∪ B) = p (A) + p (B)
Exemple : On reprend les notations de l’exemple du 1.2
On lance un dé à 6 faces bien équilibré.
A : « Obtenir un nombre pair » : A = {2 ; 4 ; 6}
B : « Obtenir un nombre inférieur ou égal à 2 » : B = {1 ; 2}

b) Non car leurs probabilités sont différentes.



























2 Variable aléatoire
2.1 Un exemple pour comprendre
Exemple : On lance trois pièces de monnaie équilibrées.
L’univers est : Ω = {PPP ; PPF ; PFP ; FPP ; PFF ; FPF ; FFP ; FFF}.
On gagne 1 € chaque fois que F apparaît et on perd 1 € chaque fois que P apparaît. On note X la fonction qui, à chaque issue, associe le gain algébrique (positif ou négatif) correspondant.
X est appelée variable aléatoire sur Ω. Les valeurs possibles pour X sont {−3 ; −1 ; 1 ; 3}
- L’événement X = −3 est {PPP}. Sa probabilité est p (X = −3) =
- L’événement X = −1 est {PPF ; PFP ; FPP}.
Sa probabilité est p (X = −1) =
- L’événement X = 1 est {FFP ; FPF ; PFF}.
Sa probabilité est p (X = 1) =
- L’événement X = 3 est {FFF}. Sa probabilité est p (X = 3) =
On résume ceci dans un tableau, appelé loi de probabilité de la variable aléatoire X :
| -3 | -1 | 1 | 3 | |
2.2 Loi de probabilité d’une variable aléatoire
Définition : Soit Ω l’univers associé à une expérience aléatoire.
- On appelle variable aléatoire X toute fonction définie sur Ω, à valeurs dans R.
- On note x1 ; x2 ; . . . ; xn les valeurs prises par X. On appelle loi de probabilité de la variable aléatoire X la fonction qui, à chaque xi , associe la probabilité de l’événement p (X = xi). On peut résumer les résultats dans un tableau :
Remarque :
On a
3 Paramètres d'une variable aléatoire
3.1 Espérance, variance, écart-type
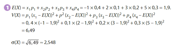
Définition : Avec les notations précédentes, on appelle :
- Espérance mathématique de X :
- Variance de X :
- Écart-type de X :
Exemples : On reprend l’exemple du 2.1
| -3 | -1 | 1 | 3 | |
Remarques :
- Pour obtenir l’espérance, on calcule la moyenne des valeurs xi pondérées par les probabilités pi.
- La variance est la moyenne des carrés des écarts à l'espérance pondérés par les probabilités pi.


3.2 Jeu équitable
Définition :
Ω est l’ensemble des issues d’un jeu de hasard.
X est la variable aléatoire définie sur Ω qui donne le gain du joueur.
- Dire que ce jeu est équitable signifie que E(X) = 0.
- Si E (X) > 0, le jeu est favorable au joueur.
- Si E (X) < 0, le jeu est défavorable au joueur.
Exemples :
- Dans l’exemple du 2.1 : E(X) = 0 donc ce jeu est équitable.
- Dans le deuxième exemple du 3.1 : E(X) > 0 donc ce jeu est favorable au joueur.




1. 5V - 3R - 2N ; deux tirages avec remise
5V - 3R - 2N ; deux tirages sans remise






1. X prend les valeurs 1, 2, 3, 4.

L'événement "X=1" est réalisé si aucun des trois chiffres suivant le 2 n'est le bon. Pour chacune des cases cela correspond à une probabilité de 9 sur 10
L'événement "X=2" est réalisé si l'un des trois chiffres suivant le 2 est le bon.

L'événement "X=3" est réalisé si deux des trois chiffres suivant le 2 sont les bons.


L'événement "X=4" est réalisé si les trois chiffres suivant le 2 sont les bons. Il ne contient qu'une issue :








Probabilités - Variables aléatoires
By Jean-Marc Kraëber
Probabilités - Variables aléatoires
Lycée Saint-Exupery
- 1,655