A Generative Model for Volume Rendering
Matthew Berger, Jixian Li, and Joshua A. Levine
Introduction
Similar to InSituNet
The general idea is to take a "view" and a discretized transfer function, and produce a volume rendered image.

Learns representation of volume
Introduction
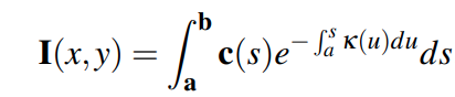
Volume Rendering



The General Idea
Generative Adversarial Networks (GANs) again

\(\displaystyle\min_G\displaystyle\max_DL_{adv}(G,D)\)
A Tale of Two GANs
Opacity GAN
Color GAN
Composing these gives the full generator

input:
output:




A Tale of Two GANs
Why two gans?
- The complex relationship between parameters makes it hard to stabilize training --- this is a common problem for GANs of this structure (largely 'fixed' by Progressive GANs)
- It is relatively easier to train a GAN to generate a low-resolution image (which is often stable)
- Image-to-image upscaling DCGANs are also quite stable
A Tale of Two GANs
Opacity GAN

A Tale of Two GANs
Color GAN

Training
Training Data


Acquiring data is relatively easy.
- Fix the model
- A view is randomly chosen
- A color image and opacity image are rendered
view: (azimuth sin, azimuth cos, elevation, in plane rotation, distance to camera)
200,000 samples generated per model
Training
Procedure
Not much interesting here
Opacity GAN:
- Learning rate = \(2\times10^{-4}\), halved every 5 epochs
- Typical Wasserstein loss
- Unsure about discriminator-generator ratio
Color GAN:
- Learning rate = \(8\times10^{-6}\), halved every 8 epochs
- Color transfer function represented in LAB space
- Typical DCGAN loss
- Unsure about discriminator-generator ratio
Results

Other Experiments
Transfer function sensitivity

Other Experiments
Transfer function sensitivity

Other Experiments
Transfer function sensitivity

Other Experiments
Latent space exploration


Other Experiments
Latent space exploration

High dimensional points, use tSNE to reduce dimensionality (to 2D)
Other Experiments
Latent space exploration

Other Experiments
Latent space exploration

Text
A Generative Model for Volume Rendering
By Joshua Horacsek
A Generative Model for Volume Rendering
- 969