Método Secante

Análisis Numerico

8 Sep, 2015

¿ Que es una secante ?

 

Método secante

  • Encontrar soluciones numéricas para f(x) = 0
  • Iterativo
  • Algoritmo

 

Método secante

El método de la secante requiere dos aproximaciones iniciales x0 y x1

Se continua haciendo iteraciones con cada uno de los puntos

Método secante gráficamente

Demo

Algoritmo

  1. Seleccionar 2 puntos iniciales
  2. Calcular recta que pasa por esos 2 puntos
  3. El corte con el eje de las abscisas sera el nuevo punto
  4. Volver a calcular la recta
  5. Detenerse hasta hallar mínimo error o aprox a 0.

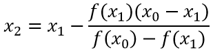
Calculo del nuevo punto

Método secante en MATLAB

Demo 2

% Metodo secante
clear, clc
cf = input('Funcion:');
f = inline(cf);
x0 = input('Valor x0:');
x1 = input('Valor x1:');
lim = 0.000;
e = 100;
n = 0;
fprintf('n    x0    x1       x2      Error\n');

while(e > lim)
    
    x2 = x1 - (x1-x0)*f(x1)/(f(x1)-f(x0));
    e = abs(f(x2));
    fprintf('%i  %4.4f  %4.4f  %4.4f  %4.4f\n',n, x0,x1,x2,e);
    x0 = x1;
    x1 = x2;
    n = n+1;
  
end

Demo 2

Preguntas ?

Método Secante

By Julio César

Método Secante

Implentación en MATLAB.

  • 1,607