Jovian weather

an overview for mathematicians

* images by NASA unless specified

Klas Modin

Basic facts about Jupiter

  • Largest gas giant (no solid surface)
     
  • Primarily hydrogen and helium
     
  • 79 known moons
     
  • Jovian year: 11.86 y
     
  • Jovian day: 9h 55m (average)

* Image by Kelvinsong - Own work, CC BY-SA 3.0, Link

dark bands = belts

bright bands = zones

Exploration of Jupiter

  • Earth-based observations (planet = from greek word "wanderer")
  • Great red spot: Hooke (1664), Cassini (1665)
  • Hubble Space Telescope (NASA), since 1990
  • Many modern earth-based telescopes (including infra-red)
  • Images from hobby astronomers (increasingly important source)

Most important spacecrafts

  • Voyager 1 and 2 (flyby 1979)
  • Cassini (flyby 2003)
  • Galileo (orbiting 1995-2003)
  • Juno (orbiting 2016-2021)

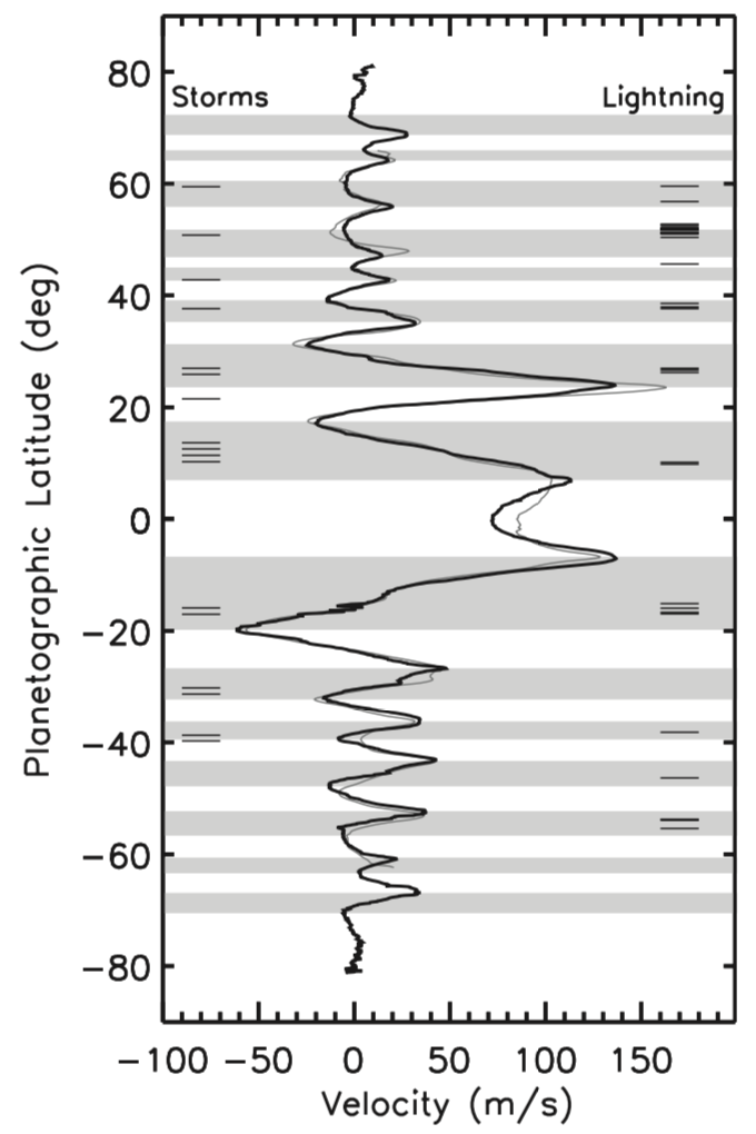
Jovian atmosphere

empirical observations

Time-lapse sequence from Voyager 1

"spots" are giant storms

Visible features occupy upper troposphere at ~1 bar

Reference: speed at equator ~12500 m/s  (~1% fluctuations)

How deep are the jet streams?

Two competing theories:

  • Shallow models: jet streams and vortices due to dynamics in shallow layer only
     
  • Deep models: observed dynamics due to deep jet streams

Galileo probe (1995)

clouds

~150 km

wind speed

pressure

Juno (2016-2018)

Kaspi et. al., Nature (2018):
Jet streams extend ~3000 km deep
(based on Juno's gravitational field measurements)

However: deep models cannot account for vortex dynamics!  =>  combined model needed

Great Red Spot (GRS)

  • Diameter ~1.3 of Earth
  • First observed 1665. How old is it?
  • What makes its colour?
  • Why is it stable?

2009

2010

On the Unexpected Longevity of the Great Red Spot, Oceanic Eddies, and other Baroclinic Vortices Hassanzadeh and Marcus, 2013

Merging of storms

The dramatic events of June-July 2008

Oval BA: formed March 2000 (from 3 storms traced back to 1939)

Baby red spot

Circumpolar polygonal cyclones

Voyager 1981 and Cassini 2009

  • What causes the hexagon shape?

Saturn's north pole

...but polygonally arranged cyclones do appear on Jupiter's poles!

Jovian atmosphere

mathematical models

Shallow models

Deep models

One or several layers of 2D Euler

\dot v + \nabla_v v = -\nabla p - 2\Omega\times v

Taylor-Proudman theorem

Valid for fast rotating fluids:
Interior organized into rotating "cylinders"

Juno reveals (Nature issue March 2018)
Something in between: 3000 km (~0.04 r) layered dynamics, then effectively solid

Fail to explain prograde equatorial jet

Fail to explain vortex formations

Basic question for mathematicians

  • Which features of Jovian atmosphere dynamics are captured by the quasi geostrophic flow? (2D Euler)
     
  • Reformulation: what is the "generic" behavior of 2D-Euler on rotating spheres?

North pole

South pole

Unstable Rossby-Haurwitz wave

(Viviani 2018)

Thanks!

Jovian weather

By Klas Modin

Jovian weather

An overview for mathematicians

  • 1,872