MAB6: Talousmatematiikka 3/4

LAINAT JA LUOTOT

Lainan hakeminen

  • Kilpailuta pankit!
    • lainasumma
    • lainaehdot
  • Saatko haluamasi lainan?
    • ​maksukyky
    • tulonlähteet
    • vakuudet

Korkokanta (%) = viitekorko (%) + korkomarginaali (%)

Korkomarginaali

  • pankkien kilpailuvaltti
  • asiakassuhde
  • luottotiedot
  • lainan käyttötarkoitus
  • mahdollinen vakuus
  • Millaisen sopimuksen haluat?
    • lainan määrä
    • laina-aika
    • maksuerän suuruus
    • korkokanta
      • ​kiinteäkorkoinen laina
      • vaihtuvakorkoinen laina

Korko

  • korkokanta kertoo aina vuosikoron
  • lainaa maksetaan takaisin kuukausittain, joten vuotuisesta korkokannasta pitää laskea maksuerän korko eli kuukausikorko

* pankkialan alustavissa laskelmissa lasketaan, että kuukaudessa on 30 päivää, jolloin vuodessa on 360 päivää

Maksuerä

  • se summa, jonka lainanottaja maksaa kuukausittain takaisin pankille
  • koostuu lainan lyhennyksestä ja korosta
    • lyhennys = pankin kanssa etukäteen sovittu summa, joka vähentää lainan määrää
  • suuruuteen vaikuttavat lainamäärä,  laina-aika ja lyhennystapa

Lainan lyhennystavat

Lainan lyhennystavan voi valita neljästä eri tavasta: 

  1. Bullet-lainassa koko laina maksetaan kerralla pois, mutta korkoja voidaan maksaa useammassa erässä.
  2. Tasalyhennyslainassa lainaa lyhennetään jokaisessa maksuerässä yhtä paljon. Maksettavan koron määrä euroina kuitenkin pienenee lainan lyhentyessä. Maksuerät ovat tässä lainanlyhennysmuodossa ensin suuria ja pienevät loppua kohti.
  3. Tasaerä- eli annuiteettilainassa maksuerät ovat korkokannan tarkistusvälin ajan yhtä suuria. Korkokannan muutos muuttaa maksuerän suuruutta.
  4. Kiinteässä tasaerälainassa jokainen maksuerä on yhtä suuri. Mahdollinen korkokannan muutos vaikuttaa laina-aikaan: Jos korkokanta nousee, lyhennyksen osuus tasaerässä pienenee, jolloin laina-aika kasvaa. Jos korkokanta laskee, lyhennyksen osuus tasaerässä suurenee, jolloin laina-aika lyhenee. 

Tasalyhennyslaina

Mitä koron osuudelle tapahtuu laina-ajan kuluessa?

Miten laina-ajan piteneminen vaikuttaa lyhennyksen suuruuteen?

Miten lyhennyksen suuruus vaikuttaa laina-ajan pituuteen?

Tasalyhennyslaina

  • lainan lyhennys on joka maksuerässä yhtä suuri
    • sovitaan lainaneuvotteluissa
    • suuruuteen vaikuttaa maksuerien määrä eli laina-ajan pituus
      • mitä pidempi laina-aika, sitä pienempi lyhennys
  • jokainen lyhennys on yhtä suuri, mutta maksuerät ovat erisuuruisia, koska koron määrä muuttuu laina-aikana
  • korot muodostavat aritmeettisen lukujonon

Lyhennys

Korko

Korkojen määrää laskiessasi voit hyödyntää taulukkolaskentaohjelmaa!

Kokonaiskoron määrä

S_n=\frac{n\cdot (a_1+a_n)}{2}
a_1=\text{ensimmäinen korko}
a_n=\text{viimeinen korko}

Tasaerälaina

Tasaerälaina

  • jokainen maksuerä on yhtä suuri
    • alussa laina lyhenee vähemmän kuin lopussa, koska isompi osa maksuerästä kuluu korkojen maksamiseen
  • Tasaerälainan tyypit:
    • Kiinteässä tasaerässä jokainen maksuerä on yhtä suuri. Korkojen muutos siis heijastuu laina-aikaan. Jos viitekorko nousee, laina-aika pitenee ja vastaavasti jos viitekorko laskee, laina-aika lyhenee.
    • Annuiteetissa kaikki maksuerät ovat lähtökohtaisesti yhtä suuria, mutta korkojen vaihtelu ei vaikuta sovittuun laina-aikaan. Tästä johtuen lainan maksuerä muuttuu, kun korko muuttuu.

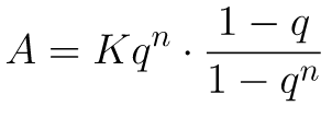
Tasaerän eli annuiteetin suuruus:

Jäljellä olevan lainan määrä eli lainajäännöksen suuruus:

A = annuiteetti eli tasaerä

K = lainapääoma

q = korkotekijä

n = korkokausien lukumäärä

Vk = lainan määrä k:nnen lyhennyksen jälkeen

k = tehtyjen lyhennysten lukumäärä

Kaavat löytyvät MAOLista!

Muut lainat ja luotot

ASP-laina

  • 15-39 -vuotiaille ensiasunnon ostajille
  • ehtona ASP-tili, jolla rahaa väh. 10 % asunnon hinnasta
    • Helsinki 180 000 €
    • Espoo, Vantaa, Kauniainen 145 000 €
    • Muu Suomi
  • valtio takaa lainan
  • korkokatto korkotukiaikana

Kulutusluotot

  • luottokortti
  • osamaksu
  • leasing
  • pikavippi

Bullet-laina

  • maksetaan kerralla takaisin

MAB6 Talousmatematiikka 3/5

By Opetus.tv

MAB6 Talousmatematiikka 3/5

  • 6,994