Understanding the
2025 Nobel Prize in Physics
Justin Dressel, Ph.D.
Public Talk, 2025/11/11
Title Text

Title Text

What is
Quantum Tunneling?
And why is "macroscopic quantum tunneling" such a big deal?


At "macroscopic" scales, objects bounce off barriers.
It would be surprising to see an object appear suddenly on the other side of a barrier.
What is
Quantum Tunneling?
Small objects behave differently.


For example, particles in the nucleus of an unstable atom remain bound together with an energy barrier.
But occasionally particles "tunnel through" this barrier and escape, creating nuclear radiation as alpha particles.
What is
Quantum Tunneling?
We often use quantum tunneling in technology, such as a "scanning tunneling microscope" (STM), which got the Nobel Prize in 1986.


Electrons tunnel across an air gap into a nearby STM tip to image microscopic structure.
Classical objects would need more energy to enter the STM,
but a small fraction of quantum electrons can!
What is
Quantum Tunneling?
The big question:
How big does an object have to get before it can't tunnel?

What is the difference between "macroscopic" and "microscopic"?
Is there a size limit to what quantum mechanics describes?
Do big objects behave fundamentally differently, or are they still quantum mechanical so can still do strange things (like tunnel) in the right circumstances?
Title Text

What is
Energy Quantization?
And why is "energy quantization in an electric circuit" such a big deal?


Classically "bound" systems, such as planetary orbits, have motion determined by a confining potential energy of a force like gravity.
Particular bound orbits have constant energy
and oscillate between energy barriers.
But they are allowed to have any energy.
What is
Energy Quantization?
Small bound objects behave differently.


Electrons in atoms, like the Hydrogen atom, are bound to the central nucleus by the electric force, similarly to planets orbiting the Sun.
But only particular energy levels are allowed!

Only specific amounts of energy can change the allowed bound states of the atom, known as "atomic shells" or "orbitals".
What is
Energy Quantization?
Photons are packets of light with specific amounts of energy indicated by their color.
Atoms emit and absorb individual photons with the correct energy to transition between the allowed energy levels.


We can use the specific colors emitted and absorbed by an atom as a "fingerprint" to identify which type of atom it is.
This is known as spectroscopy.
What is
Energy Quantization?
Electronic circuits can also have bound (oscillating) states, where electric charge oscillates back and forth through the circuit.


The potential energy of such a circuit looks similar to mechanical oscillators.
Macroscopic electronic circuits can have any amount of energy, like classical orbits.
What is
Energy Quantization?

If electronic circuits behaved quantum mechanically, however, they would have discrete quantized energies like atoms!
Why don't we see such these quantized energies normally in electronic circuits?

Normal Conductors
At normal temperatures, conductors have millions of charges moving around
randomly in a disordered manner, exchanging energy with each other.

This disorganized behavior of (fermionic) electrons:
- causes resistance that heats the wire and loses energy
- averages the charge energies to yield classical picture

To see any quantum behavior, we need to:
- cool to low temperature with smaller energy fluctuations
- make all the charges move together without fighting
Superconductors
Some conducting materials have zero resistance below a critical temperature.

Electrons pair up and start moving together, so no longer collide with each other and lose energy.
There are still a macroscopic number of these (bosonic) "Cooper pairs" of electrons flowing through the wire, but they now they behave in an organized way.

Superconductors
The Cooper pairs actually "condense" into a single cooperative entity called a "Bose-Einstein Condensate" that behaves as one macroscopic quantum object.
This raises the question whether superconducting circuits will allow us to see fundamentally quantum behavior of these macroscopic collections of charges!
Specifically, do they:
- Tunnel through barriers?
- Have quantized energy levels?


Thanks to the hard work of these scientists, we now know that macroscopic collections of charges in superconducting circuits indeed:
-
tunnel through barriers
- have quantized energies
Their important work has laid the foundation for an entire industry that uses the quantum features of superconducting circuits.

John Clarke
joined UC Berkeley in 1969
Between 1984-1985 he worked with a postdoc (Michel Devoret) and grad student (John Martinis) on three groundbreaking experiments that led to this Nobel Prize.
The experiments tested a new type of circuit element known as a superconducting tunnel junction, or Josephson junction.
PI
Postdoc
Grad Student
Josephson Junction
A Josephson junction is a thin insulating barrier placed between two superconducting wires.
Commonly the wires are Aluminum, while the barrier is Aluminum-Oxide.
Cooling near absolute zero makes the Aluminum superconducting, but keeps the two pieces of wire separated by the barrier.



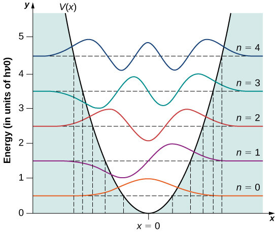
Its potential energy vs. magnetic flux looks like a cosine. Adding a bias tilts it to create a washboard potential.
Josephson Junction
Quantum collections of charges should show:
- quantized bound states inside the washboard wells
- tunneling through the barriers.
Lowering the temperature should descrease energy fluctuations that could cause jumps over the barriers.
Changing the bias tilts the washboard to make the tunneling rates controllable and place different energy levels near the top of the barrier.



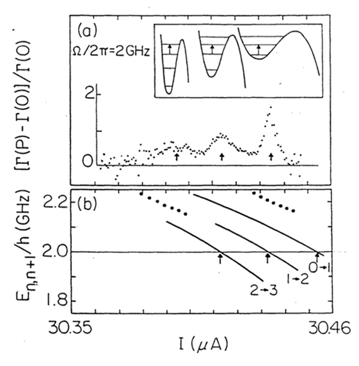
Evidence of Tunneling
Lowering the temperature and looking at the rate of charge flow through the barrier of a Josephson junction, they were able to show that the escape rate saturated at a higher value than one would expect for classical temperature fluctuations.
Quantum tunneling can explain this saturation!

M. H. Devoret, J. M. Martinis, J. Clarke, “Measurement of Macroscopic Quantum Tunneling out of a Zero-Voltage State of a Current-Biased Josephson Junction”, Phys. Rev. Lett. 55, 1908 (1985).
Evidence of
Energy Quantization
Fixing a low temperature and looking at the rate of charge flow through the barrier as a function of bias, they were able to see distinct transitions as different energy levels were brought close to the top of the barrier.
Energy quantization can explain these peaks!

J. M. Martinis, M. H. Devoret, J. Clarke, “Energy-Level Quantization in the Zero Voltage State of a Current-Biased Josephson Junction”,
Phys. Rev. Lett. 55, 1543 (1985).

What has happed since 1985?
Their breakthrough has enabled an entire industry of using superconducting circuits to
engineer custom quantum behavior at the macroscopic scale, allowing us to build artificial atoms.
In particular, these artificial atoms have enabled one of the most promising avenues for building a quantum computer.
Still at UCB
Recently Yale, now UCSB
NIST, then UCSB, then Google, now QoLab
Artificial Atoms
With superconducting circuits we can engineer artificial atoms in a variety of different ways, then control them electronically.



\(E_J\)
\(E_C\)


Quantum Computing : Media Hype
What is a "Quantum" Computer?

IBM, Superconducting quantum computer
Main Idea : Computation is Physics
-
Traditional computation uses classical physics
-
Turing Machines : data tape and a moving read/write head for bits
-
Turing Machines : data tape and a moving read/write head for bits
-
The physical world is better described by quantum physics
-
Atoms, Molecules : do not generally behave like Turing Machines
-
Atoms, Molecules : do not generally behave like Turing Machines
-
Does quantum physics change the possibilities of computation?
- Yes. The theory of computation must be extended

Anything "Turing Complete" can simulate a Turing Machine, and thus all classical computation.
Even Microsoft Excel
or Minecraft

A superconducting transmon artificial atom uses its lowest two energy levels as a "quantum bit"
Superconducting Quantum Computation


UC Berkeley : 8 qubit chip
Controlled with all electrical AC signals at microwave frequencies
Cooled to mK temperatures
Yale : Transmon SEM




Bristlecone Chip
72 qubits



IBM Q
50 qubits



Rigetti 19Q Processor
19 qubits

Example: Giant Dilution Refrigerator!
IBM 2022/09 : GoldenEye Project
Congratulations to Physics Nobel Prize Recipients, 2025!


Understanding the 2025 Nobel Prize in Physics
By Justin Dressel
Understanding the 2025 Nobel Prize in Physics
- 174