MODELADO CON ECUACIONES DIFERENCIALES DE ORDEN SUPERIOR

REINALDO LÓPEZ SOBRINO

PROBLEMA

La población de una comunidad crece a razón proporcional a la población en cualquier momento t. Su población inicial es de 500 y aumente 15% en 10 años,¿Cuál será la población en 30 años?

 PLANTEAMIENTO DEL PROBLEMA

Con                La población en el tiempo t

Con la ecuación diferencial                

se obtiene:

 PLANTEAMIENTO DEL PROBLEMA

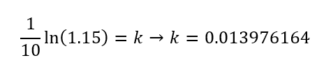
Si consideramos la condición inicial se tiene lo siguiente:

por lo tanto

Text

En base a lo anterior se puede calcular que la población en 30 años será:

MODELADO CON ECUACIONES DIFERENCIALES

By Rey Lopez Sobrino

MODELADO CON ECUACIONES DIFERENCIALES

Ecuaciones Diferenciales

  • 365