Sagnik-Luis Presnentation for Katarzyna • Sept 17, 2024

Avalanche
stability of the
Anderson
Model

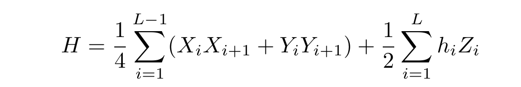
Hamiltonians

Dries I:

Dries II:

Luis:

H = \frac{1}{2} \sum_{i=1}^{L-1} \left( c_i^\dagger c_{i+1} + c_i c_{i+1}^\dagger \right)+\sum_{i=1}^{L}\frac{1}{2}(1-2 c_i^\dagger c_i)

Lindbladians

\frac{d}{dt}\rho(t) = \mathcal{L}[\rho] \\\mathcal{L}[\rho]=-i[H,\rho(t)] + \sum_{j} \left( J_{j}\rho(t)J_{j}^{\dagger} - \frac{1}{2}\{J_{j}^{\dagger}J_{j},\rho(t)\} \right)

Decay channels on first spin

J_i=(X_1,Y_1,Z_1)

Dries Sels:

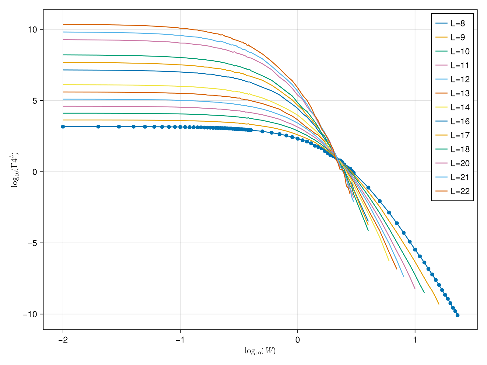
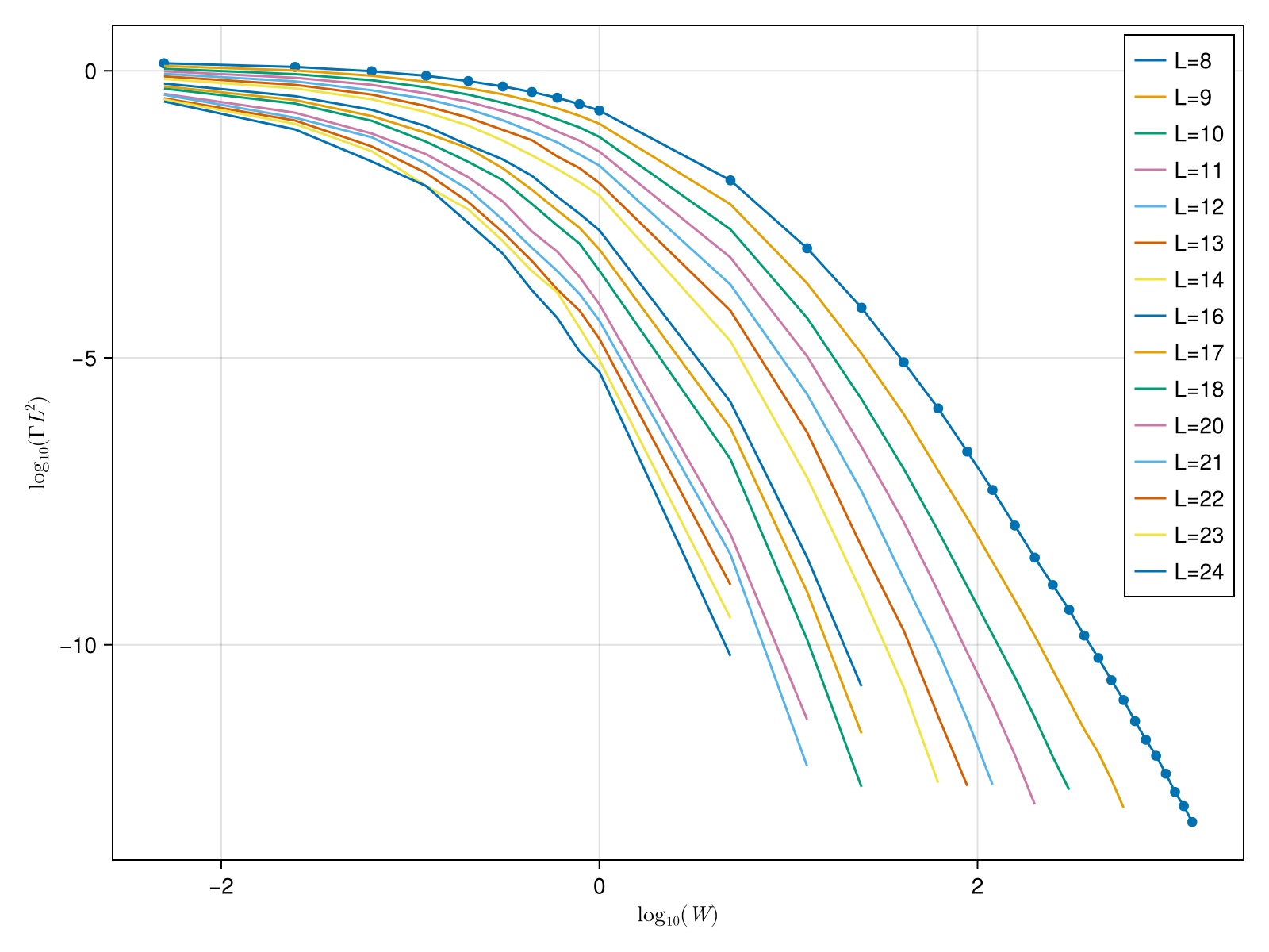
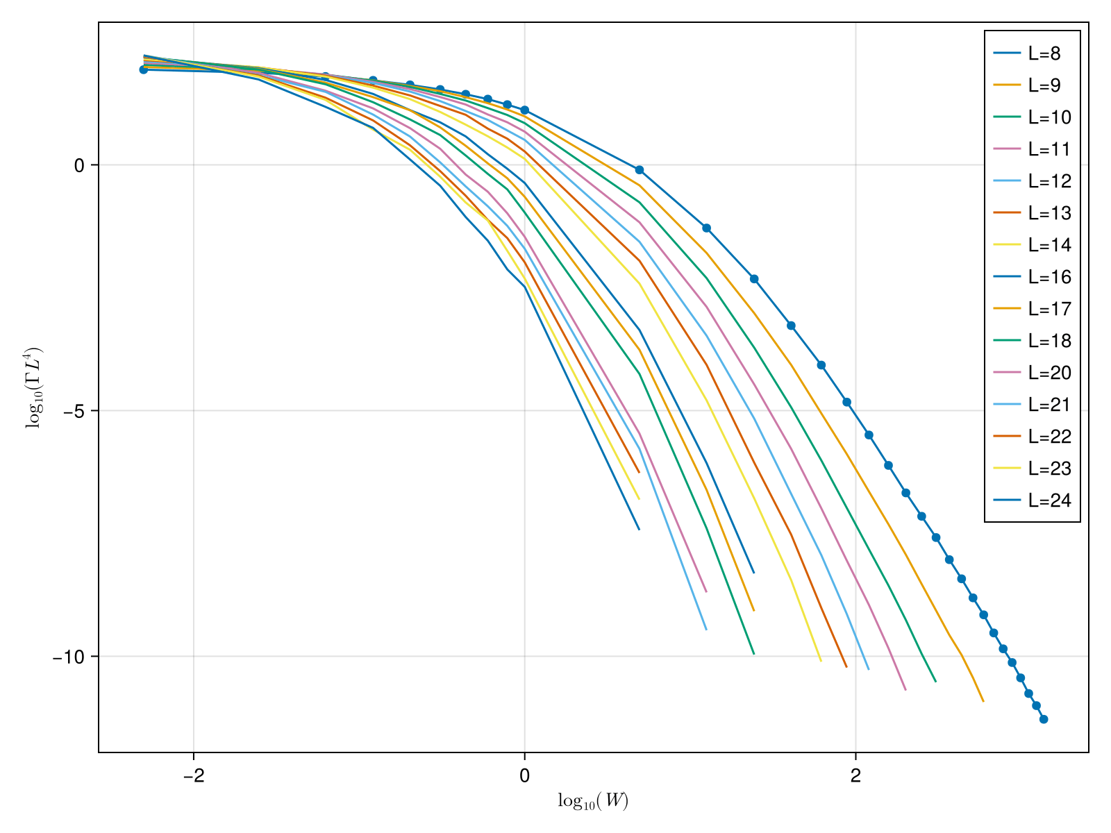
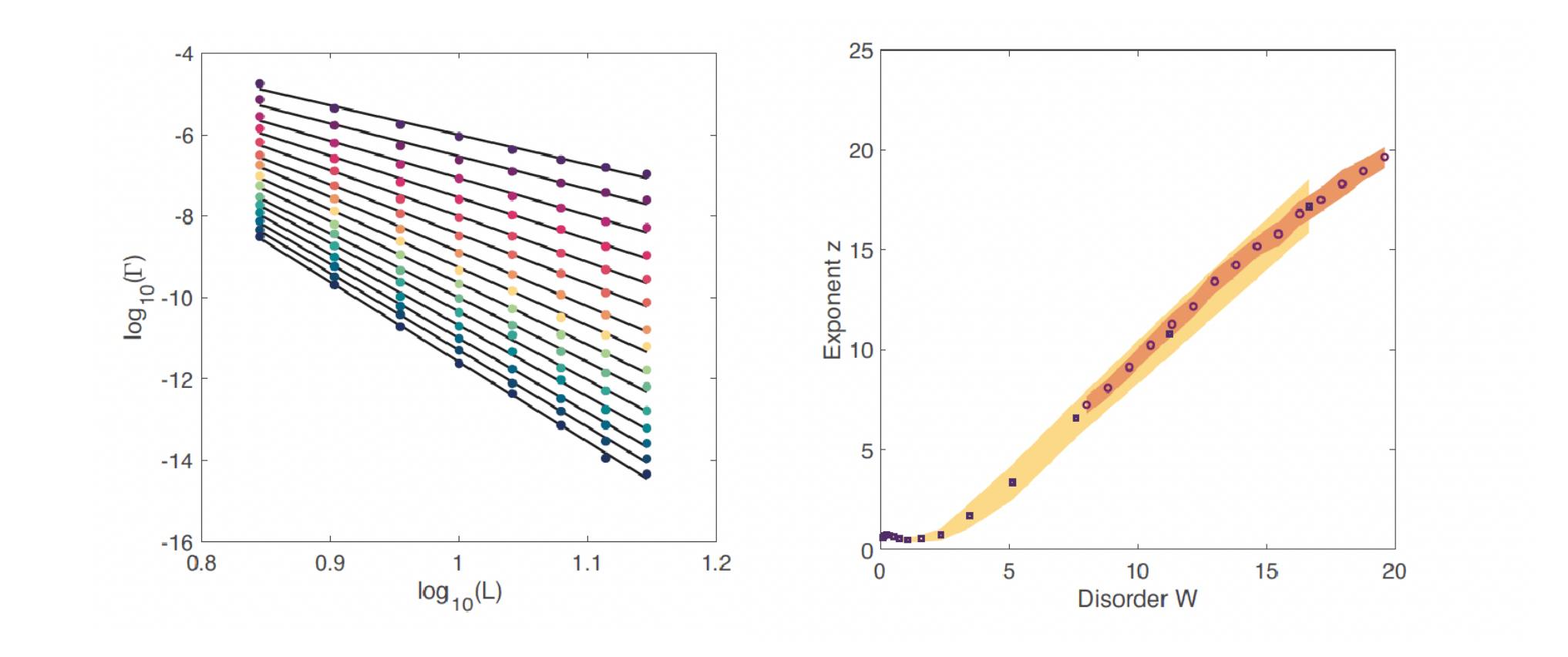
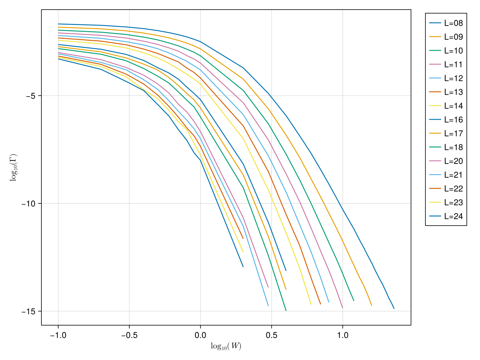
Scaling of decay rate; Jordan Wignered

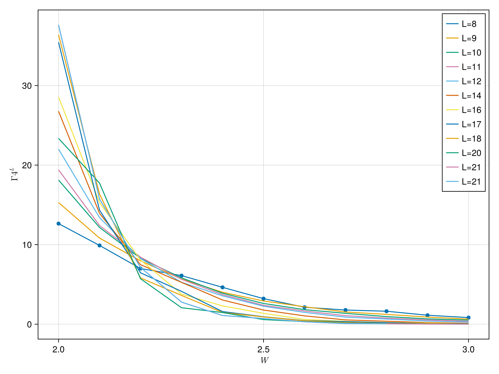
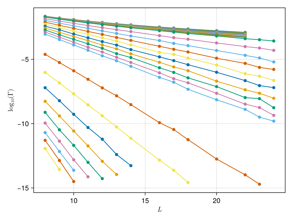
Scaling with system size, scaled decay rates

Eigenscatters

Avalanche-Kataryna

By Sagnik Ghosh