Fault Tolerant Quantum Computers are not near term.

Can we still use the NISQ devices to outperform the Classical Computation?

Transverse field Ising Model in 127 qubits.

Expected to be extremely hard to simulate in the highly entangled regime.

IBM: Geometry;

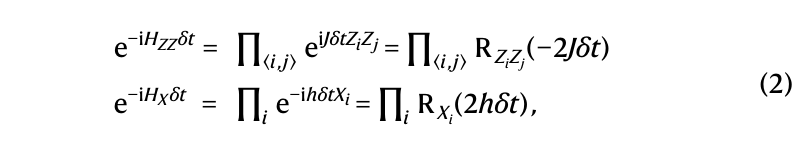
Hamiltonian: Trotterisation

First order Trotter

Cirquit and Characterisation

Zero Noise Estimation and Probabilistic Error Correction

Comparison at Low Entanglement Limit

Prediction beyond classical (?)

Questions:

Is this Quantum Supremacy?

 

That is, Is there really no ways to simulate (part of) this circuit efficiently, classically?

Can all parts of the circuit be simulated efficiently, classically?

Over to Martina

A rebutal

IBM Ising

By Sagnik Ghosh

IBM Ising

Explore the potential of NISQ devices in surpassing classical computation. Delve into the Transverse field Ising Model using 127 qubits, which is expected to be challenging to simulate due to high entanglement.

  • 13