Time Crystals without disorder
Sagnik Ghosh 05.06.2024
Recipe for Time Crystals
- Needs non-adiabatic driving (residual correlations)
2. Escape featureless infinite temperature states
Recipe for Time Crystals
Generic (interacting) systems heats up to infinite temp states
Recipe 1: Use disorder to escape ergodicity
Recipe 2: Systems with tilted potential also results in localisation.
Can we use it for creating Time Crystals?
For interacting systems it is a bit more involved as for any finite size system with reflection symmetry does not remain localised. But in thermodynamic limit it is not a problem and does show time crystalline signatures.
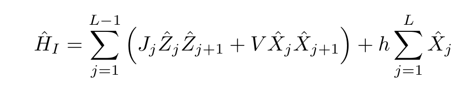
Model

J is sampled from a constant tilt:


For, V, h, theta zero the system is diagonal in computational basis. And ZZ correaltions are trivial.
System is periodically kicked by,


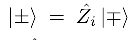
At this special point, Eigenstates of H is degenerate and a state and its parity flip has the same eigenvalue.
Z anti comutes with P, so one can cook up cat states


that has the property

One has to ensure that they remain degenerate under external perturbation.
For any finite L a local perturbation will couple them

This will result in exponential splitting between the states

For uniform J the condition of DTC is

For other potentials, the system remains quasi degenerate as long as there is a region

That grows with system size, which is guaranteed for linear potential
Localisation is in these potential is previously established
Signature of DTC

Fluctuations around final plateau

Time Crystal without Disorder
By Sagnik Ghosh
Time Crystal without Disorder
- 11