Phonon Electron Equilibriation:
A Keldysh Field Theoretic Approach
A Presentation in Defense as a Partial Requirement of the in the BS-MS degree
June 25, 2021

Sagnik Ghosh










Dr Rajdeep Sensarma Lab
Dr Bijay K Agarwalla
Dr Sreejith GJ
INSPIRE-SHE Scholarship
& Contingency Grant

- Consider any Material Lattice. It can be modelled as a collection of some electrons (fermions) acting in a cohesive way (Coulomb Interaction) and some vibrations (phonons).
- Suppose you excite the electronic degrees of freedom (some or all) to very high energy states by some external means.
- How does the whole system equilibrate?
Key points and Notes:

Physical Context:
Particle Detectors


Physical Context:
Pump-Probe Spectroscopy


Physical Context:
Pump-Probe Spectroscopy




Bibliography:
- Dal Forno, S. & Lischner, J. Electron-phonon coupling and hot electron thermalization in titanium nitride. Phys. Rev. Materials 3, 115203 (11 Nov. 2019)
- Elsayed-Ali, H. E., Norris, T. B., Pessot, M. A. & Mourou, G. A. Time-resolved observation of electron-phonon relaxation in copper. Phys. Rev. Lett. 58, 1212–1215. (12 Mar.1987)
- Habib, A., Florio, F. & Sundararaman, R. Hot carrier dynamics in plasmonic transition metal nitrides. Journal of Optics 20,064001. (May 2018)

Two Temp Model
(Anisimov, 1974; Allen, 1987)
Two Temp Model
Simplification: Assume Nano-material thin-films;
Two Temp Model
Solution (after simplification):
where,
Two Temp Model
Defn (Timescale) :
Predicted Behaviour
Two Temp Model: Key Approximations
- Electrons and Phonons Thermalize between themselves almost instantly (at all times).
- Further phonon-mediated relaxation just updates the temperatures. Dynamics is essentially Quassi-static.
Inherent to the assumption of two temperatures,
But Do They?
Bibliography:
- Anisimov, S., Kapeliovich, B., Perelman, T.,et al.Electron emission from metalsurfaces exposed to ultrashort laser pulses. Zh. Eksp. Teor. Fiz 66,375–377 (1974)
- Phillip. B. Allen, Theory of thermal relaxation of electrons in metals, Phys. Rev. Lett, 59,1460 (28 September, 1987)

A Change is in Order
Motivation: Power Law tails in OQS
Bibliography:
- Chakraborty, A. & Sensarma, R. Power-law tails and non-Markovian dynamics in open quantum systems: An exact solution from Keldysh field theory. Physical Review B97,104306 (2018).
- Chakraborty, A., Gorantla, P. & Sensarma, R. Non-equilibrium field theory for dynamics starting from arbitrary athermal initial conditions. Physical Review B99,054306 (2019)

Keldysh Field Theory
A Tautology
Time Evolution:

Resolution of Identity:
Bosonic Partition Function:
Structure of :
Continuum Limit (Keldysh Action) :
Gaussian Integral:
Wick's Theorem (for Bosons):
Coordinate Rotation:
Green's Function in Keldysh Field Theory:
Introducing Interaction
Dyson Equation
Causality Structure
Decomposition Theorem: (First Order)
Decomposition Theorem: (Second Order)
Bibliography:
- Keldysh, L. V. et al. Diagram technique for non-equilibrium processes. Sov. Phys. JETP20,1018–1026 (1965).
-
Kamenev, A. Field theory of non-equilibrium systems
(Cambridge University Press, 2011).
- Larkin, A. & Ovchinnikov, Y. Nonlinear conductivity of superconductors in the mixed state. Sov. Phys. JETP41,960–965 (1975).

The Idea
+
+
Form of Self Energies:
Evolution Equations:
+
+

The Phonons
(Coupled to a Bath)
The Phonons (coupled to a Bath)
Bare Green's Functions (time domain expressions):
The Phonons (coupled to a Bath)
Bath Spectral Function:
Self-Energies (frequency domain):
Causality Structure (Recall):
System Dispersion Relation:

What to expect?
- Energy spectrum will be re-normalised!
(Bigger the bath bandwidth, bigger should be the shift)
- Higher the Bath Temperature is, we can expect population in a given level to go up.
(Bose-Einstein Distribution, No number conservation for phonons.)
- With stronger coupling we should expect faster decay of transient phenomena.




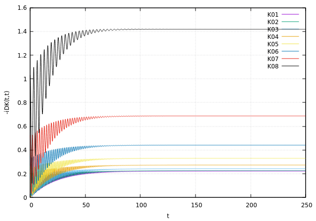
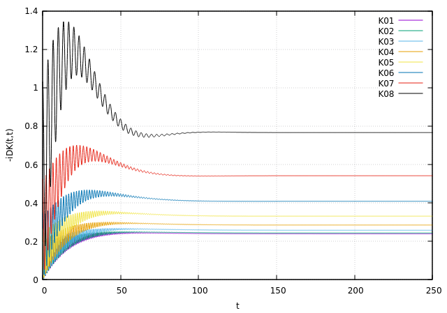
Phononic Plots: Dynamical Behaviour
Section Take Away
- Wider the Bath-Bandwidth is Further the system is driven away (initially) from the equilibrium value
- Stronger the coupling, faster is the decay of transient oscillation
- The transient oscillation is dictated by the level frequency
- Higher Bath Temperature tend to shift the population to a higher value (Bosons!) and vice-versa!

The Electrons
(Coupled to a Bath)
The Electrons (coupled to a Bath)
Bare Green's Functions (time domain expressions):
The Electrons (coupled to a Bath)
Bath Spectral Function:
Self-Energies (frequency domain):
Computing Thermal Value
Causality Structure (Recall):


Fermionic Plots: Establishing Notation

Thermalisation:

Thermal Distribution

Behaviour of Absolute Errors:

The Idea (Again)
+
+

The End

Q/A

All the best Sumi Kuli!

MS Thesis Presentation
By Sagnik Ghosh
MS Thesis Presentation
Presentation in Defense of the thesis work pursued as MS Project, June 25, 2021.
- 17