Retreat2024
By Sagnik Ghosh
Retreat2024
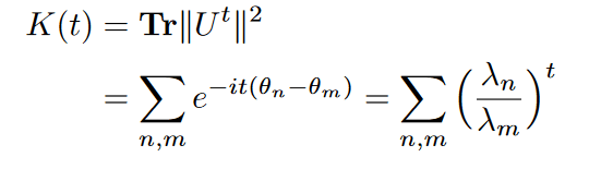
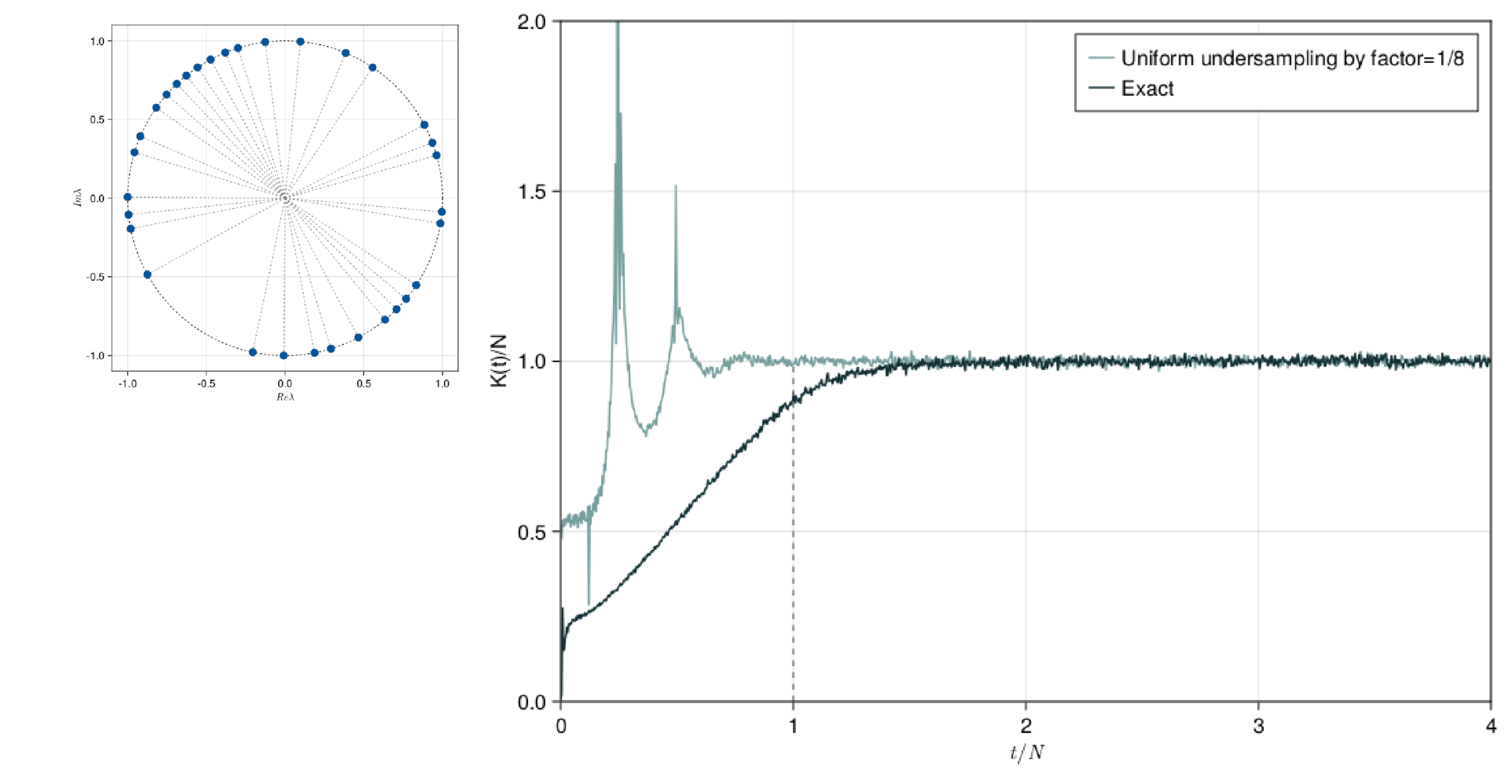
This presentation explores the Spectral Form Factors of an Unitary. It discusses the definition of SFF and how it can be reduced to a more familiar form using spectral decomposition. The presentation also mentions the connection between SFF and the two point correlator of the level density.






























