Santiago Casas, Dr. rer. nat.

Towards a robust exploration of the Dark Sector with Euclid and Stage-IV surveys in the next decade

CosmoStat @ DAp-AIM, CEA Paris-Saclay
May 29th 2024

Interview Presentation

  santiagocasas          www.santicasas.xyz         @sant87casas

Outline of the talk

  • Theoretical physicist and cosmologist, broad background, deep interests:
    • computational physics, numerical methods, statistics, data analysis.
       
  • Comprehensive and holistic understanding of the Euclid mission
    • 10 years at forefront of Inter-Science-Working-Groups
    • Competitive edge to exploit scientific content of the data and enable physical discoveries
    • Extensive experience in supervision of research projects
       
  • My skillset aligns, complements and potentiates fields of research of CosmoStat
    • Can help CosmoStat/DAp lead and be at forefront of analysis of next generation cosmological experiments

2006-2010

B.Sc. Physics

Universidad de Costa Rica

2011-2013

M.Sc. Physics

University of Heidelberg

2013-2017

PhD Physics, University of Heidelberg, Institute of Theoretical Physics

2018-2021

Postdoctoral Researcher,

CosmoStat, CEA Paris-Saclay

2021-2024

Postdoctoral Researcher, Theoretische Teilchenphysik und Kosmologie,

RWTH Aachen U.

2024-

Postdoctoral Researcher,

Institute of Cosmology and Gravitation, U. Portsmouth

3 Months Internship

Laboratorio Nacional de Luz Sincrotron,

Campinas, Brazil

3 Months stance:

University of Geneva, M. Kunz, 2015

Tonale Winter School of Cosmology Organizer 2016-2021

2006-2010

B.Sc. Physics

Universidad de Costa Rica

3 Months Internship

Laboratorio Nacional de Luz Sincrotron,

Campinas, Brazil

Sirius: Largest LATAM Synchrotron

Tosin, Basilio, Casas, Marcondes, PAC 09, (2010)

Assistant for the department of Theoretical Physics: Prof. Max Chaves.

Topics: Geometrical
Algebra

 

Assistant for the Planetarium of San José.

Astronomy

Solar Physics

B.Sc. Assistant Lecturer for General Physics II and Physics for Life Sciences

2006-2010

B.Sc. Physics

Universidad de Costa Rica

2011-2013

M.Sc. Physics

University of Heidelberg

2013-2017

PhD Physics, University of Heidelberg, Institute of Theoretical Physics

2018-2021

Postdoctoral Researcher,

CosmoStat, CEA Paris-Saclay

Postdoctoral Researcher, Theoretische Teilchenphysik und Kosmologie,

RWTH Aachen U.

2024-

Postdoctoral Researcher,

Institute of Cosmology and Gravitation, U. Portsmouth

3 Months Internship

Laboratorio Nacional de Luz Sincrotron,

Campinas, Brazil

3 Months stance:

University of Geneva, M. Kunz, 2015

Tonale Winter School of Cosmology Organizer 2016-2021

2021-2024

2011-2013

M.Sc. Physics

University of Heidelberg

Ministry of Science Scholarship, MICIT, CR

Oldest University in Germany (1386) Top 3 in Physics

Top 50 in the world

Focus Fields:

Theoretical Physics

QFT

GR

Cosmology

Inspiring professors:

Theoretical Astrophysics, Prof. Bartelmann

Computatonal Physics, Prof. Volker Springel

Neuroscience
Assistant job:

Max-Planck Institute of Medicine

Tutor of:

GR, Cosmo, Theoretische Mechanik, Elektrodynamik

github.com/knossos-project/knossos

Master thesis project. Supervisors Prof. Luca Amendola, Dr. Marco Baldi. Fitting and forecasting non-linear coupled Dark Energy

Casas, Amendola, Baldi, et al; JCAP (2016), 1508.07208.

2006-2010

B.Sc. Physics

Universidad de Costa Rica

2011-2013

M.Sc. Physics

University of Heidelberg

2013-2017

PhD Physics, University of Heidelberg, Institute of Theoretical Physics

2018-2021

Postdoctoral Researcher,

CosmoStat, CEA Paris-Saclay

Postdoctoral Researcher, Theoretische Teilchenphysik und Kosmologie,

RWTH Aachen U.

2024-

Postdoctoral Researcher,

Institute of Cosmology and Gravitation, U. Portsmouth

3 Months Internship

Laboratorio Nacional de Luz Sincrotron,

Campinas, Brazil

3 Months stance:

University of Geneva, M. Kunz, 2015

Tonale Winter School of Cosmology Organizer 2016-2021

2021-2024

2013-2017

Ph.D., U. Heidelberg Institute of Theoretical Physics

Joined Euclid Consortium

2014,

Theory Working Group

 

Joined

Euclid Interscience

Taskforce on Forecasting (IST:F), main contributor

Supervisor: Prof. Valeria Pettorino, Prof. Luca Amendola.

Second reader: Prof. Volker Springel.

Non-linear Structure formation in models of Modified Gravity and Dark Energy

Grade: Summa Cum Laude

Participant and organizer of Tonale Winter School on Cosmology 2012-2021

 

Stance in U. Geneva with Prof. M. Kunz.

Forecasts for Euclid, DESI, SKA in Modified Gravity. Casas et al,  (2017) 1703.01271

Project on relativistic N-bodys for Growing Neutrino Quintessence.  Casas, Pettorino, Wetterich (2016); 1608.02358

Speaker at the invitation-only workshop on Gravity @ Ringberg Castle, Germany.

Boltzmann Solver interface

Fisher Matrix Code:

2006-2010

B.Sc. Physics

Universidad de Costa Rica

2011-2013

M.Sc. Physics

University of Heidelberg

2013-2017

PhD Physics, University of Heidelberg, Institute of Theoretical Physics

2018-2021

Postdoctoral Researcher,

CosmoStat, CEA Paris-Saclay

Postdoctoral Researcher, Theoretische Teilchenphysik und Kosmologie,

RWTH Aachen U.

2024-

Postdoctoral Researcher,

Institute of Cosmology and Gravitation, U. Portsmouth

3 Months Internship

Laboratorio Nacional de Luz Sincrotron,

Campinas, Brazil

3 Months stance:

University of Geneva, M. Kunz, 2015

Tonale Winter School of Cosmology Organizer 2016-2021

2021-2024

Finalization of the IST:F effort. Blanchard et al (2019); A&A, 1910.09273

Euclid STAR prize Team co-winner.

STAR Prize PhD nomination.

EC Helsinki STAR prize plenary talk.

Co-organizer of Tonale Winter School on Cosmology 2018-2021

Start of the IST:Likelihood effort.

Joined as expert, reviewer and developer.

Python/SciPy/Numpy

Tutorials with Sam Farrens:

github.com/CosmoStat/Tutorials

Learning slots on variety of topics from ML to Einstein-Boltzmann-solvers

Start Development of

CosmicFishPie and Emulators

  • 2019-2024 Co-Lead of the Euclid Theory Working Group Work Package 6: Forecasts for Beyond-LCDM Models.
  • WP6: 4 Publications, first author 2306.11053, main contributor and co-lead: 2306.12368, + 2 under internal review

2018-2021

Postdoctoral Researcher
                AIM/DAp,  CEA Paris-Saclay

Supervision of two interns:

 

Raphael Baena

Senwen Deng

EC IST:F Paris meeting co-organizer

Selected as Theory Working Group WP6 (Forecasting) co-lead with V. Pettorino and I. Tutusaus

Jax Cosmo collaboration with F. Lanusse 

github.com/DifferentiableUniverseInitiative/jax_cosmo

Joined SKAO Cosmology Science Working Group

Founding member of alpha-CEN. Astrophysics org. for Central America.

Publications with AIM affiliation:

2018: 4 papers

2019: 4 papers, 2 Euclid papers

2020: 2 papers, 7 Euclid papers

2021: 7 Euclid papers

2006-2010

B.Sc. Physics

Universidad de Costa Rica

2011-2013

M.Sc. Physics

University of Heidelberg

2013-2017

PhD Physics, University of Heidelberg, Institute of Theoretical Physics

2018-2021

Postdoctoral Researcher,

CosmoStat, CEA Paris-Saclay

Postdoctoral Researcher, Theoretische Teilchenphysik und Kosmologie,

RWTH Aachen U.

2024-

Postdoctoral Researcher,

Institute of Cosmology and Gravitation, U. Portsmouth

3 Months Internship

Laboratorio Nacional de Luz Sincrotron,

Campinas, Brazil

3 Months stance:

University of Geneva, M. Kunz, 2015

Tonale Winter School of Cosmology Organizer 2016-2021

2021-2024

Work in the group of Prof. J. Lesgourgues, epicenter of neutrino cosmology

Submitted projects for the RWTH High Performance Computing Center.

More than 1 Mio CPU-hours granted.

Tutor of : General Relativity, Advanced Cosmology, Theoretische Mechanik

Development of CosmicFish/MontePython, CLASS/CAMB validation for Euclid photometric and spectroscopic probes. Casas et al., (2023), A&A,

2303.09451

Release of upgraded CosmicFishPie

  • 2019-2024 Co-Lead of the Euclid Theory Working Group Work Package 6: Forecasts for Beyond-LCDM Models.
  • WP6: 4 Publications, first author 2306.11053, main contributor and co-lead: 2306.12368, + 2 under internal review

Supervision of 5 Master students (12 months each) and 2 Bachelor students.

4 Euclid publications as Leader of TWG  Work Package 6. 1 as first author: Casas et al (2023), 2306.11053.

Release of updated MontePython Euclid likelihoods:

github.com/brinckmann/montepython_public

EC meeting Copenhagen:

Euclid Builder Status achieved

Start of IST:Nonlinear.

Key Paper co-lead in 3x2pt photometric.

Publications with TTK:

2021: 2 reviews,  3 EC papers

2022: 1 paper, 11 EC papers

2023: 1 paper, 20 EC papers

2024: 3 papers, 18 EC papers

Postdoctoral Researcher, Theoretische Teilchenphysik und Kosmologie,

RWTH Aachen U.

2021-2024

CLASS-1loop project. Accurate nonlinear modeling for spectroscopic Galaxy Clustering in redshift space

Linde et al (2024), JCAP, 2402.09778 

First accurate and validated Euclid primary probes MCMC forecasts for Neutrino Sensitivity:

Archidiacono, Lesgourgues, Casas, et al. 2405.06047

Euclidean Timeline

Joined Inter-SWG-Taskforce on Forecasting (IST:F)

2015

IST:F STAR prize co-winner, plenary talk

2019

2019

Member of IST:Likelihood core-team

2019

Core member of IST:Nonlinear develop team

2019

Selected coordinator of Key Project TH-1

2021

KP-JC6 and IST:NL Key-paper co-lead

2022

Become EC member, Theory Science Working Group (TH-SWG)

2014

Joined EC Internal COM group

2023

EC Copenhagen: Achieved Builder Status

2023

EC Rome: Plenary Speaker

2024

TH-SWG WP17 Likelihood co-lead

2024

Lead Data Release 1 Key project

Coordination or Committee lead

Selected as TH-SWG Work Package 6 Forecasting co-lead

nomination STAR prize PhD

2018

Euclid

ESA class M2, 6 years nominal mission

Credits: www.esa.int/Science_Exploration/Space_Science/Euclid, www.euclid-ec.org, ESA/NASA/SpaceX, Euclid Consortium, ThalesAlenia Space

Sun-Earth Lagrange point 2, 1.5 million km from Earth

EC scientist visits Cannes

The EC fingertip galaxy, credits: Lisa Pettibone

The instruments

Launched 1st July 2023 with a SpaceX Falcon9 rocket

More than ~2500 members

Euclid Instruments

NISP
Near-Infrared Spectrometer and Photometer

VIS Instrument
Visible Camera

https://www.esa.int/Science_Exploration/Space_Science/Euclid/Euclid_test_images_tease_of_riches_to_come

Theory

Observables

Simulations

The pillars of cosmology

What are the primary observables of Euclid?

Galaxy Clustering

Express the excess probabilty of finding another galaxy as a function of scale

Euclid: Fast two-point correlation function covariance through linear construction, Keihänen et al. (2022)

Weak Lensing

angular space power spectrum of the auto-correlation of galaxy ellipticities

Euclid. I. Overview of the Euclid mission, Euclid collaboration, Mellier et al., 2405.13491. Plot credit: N. Tessore.

Weak Lensing

tomography: multiple redshift bins and their cross-correlations

\(z\)

Euclid. I. Overview of the Euclid mission, Euclid collaboration, Mellier et al., 2405.13491. Plot credit: N. Tessore.

How does my work contribute to those observables?

The matter power spectrum

Galaxy Clustering and Weak Lensing ultimately probe the matter power spectrum

Gives us information on how matter species have clustered over the history of the Universe as a function of scale and time

The matter power spectrum

Expertise on all the different scales

The matter power spectrum

Expertise on all the different scales

  • Linear perturbations: Einstein-Boltzmann-Solvers: CAMB, CLASS, MGCAMB, EFTCAMB, HiCLASS
  • 21cm IM, CMB
  • Inflation, isocurvature

The matter power spectrum

Expertise on all the different scales

  • Spectroscopic Galaxy Clustering
  • 1-loop perturbation theory
  • BAO damping
  • Redshift-space-distortions
  • Neutrinos
  • Linear perturbations: Einstein-Boltzmann-Solvers: CAMB, CLASS, MGCAMB, EFTCAMB, HiCLASS
  • 21cm IM, CMB
  • Inflation, isocurvature

The matter power spectrum

  • Linear perturbations: Einstein-Boltzmann-Solvers: CAMB, CLASS, MGCAMB, EFTCAMB, HiCLASS
  • 21cm IM, CMB
  • Inflation, isocurvature
  • Weak Lensing and 3x2photo
  • Halofit, HMCode, Emulators
  • Baryonic feedback
  • N-body simulations

Expertise on all the different scales

  • Spectroscopic Galaxy Clustering
  • 1-loop perturbation theory
  • BAO damping
  • Redshift-space-distortions
  • Neutrinos

The matter power spectrum

  • Stage-IV Forecasts for non-linear DE: Casas+1703.01271
  • Relativistic N-body, GNQ: Casas+
    1608.02358 
  • Fitting functions from f(R) Nbody: Winther, Casas+1903.08798 

selected

publications:

Expertise on all the different scales

What is the main theoretical question driving my passion for research?

Ezquiaga, Zumalacárregui, Front. Astron. Space Sci., 2018

Is there something beyond

General Relativity that can explain cosmic acceleration?

68% Dark Energy
5% Baryons
27% Dark Matter
G_{\mu \nu} + \Lambda g_{\mu \nu} = 8\pi G T_{\mu \nu}
  • What is \(\Lambda\) ?
  • What is CDM ?

Ezquiaga, Zumalacárregui, Front. Astron. Space Sci., 2018

68% Dark Energy
5% Baryons
27% Dark Matter
G_{\mu \nu} + \Lambda g_{\mu \nu} = 8\pi G T_{\mu \nu}
  • What is \(\Lambda\) ?
  • What is CDM ?

Gregory Horndeski
https://www.horndeskicontemporary.com/works

Is there something beyond

General Relativity that can explain cosmic acceleration?

DESI cosmological results (2024)

What makes Stage-IV galaxy surveys particularly well-suited for testing Modified Gravity?

Modified Gravitational Potentials

We can describe general modifications of gravity (of the metric) at the linear perturbation level with 2 functions of scale (\(k\)) and time (\(a\))

\rm{d}s^2 = -(1+2\Psi) \rm{d}t^2 + a^2(t)(1-2\Phi) \rm{d}x^2

We can describe general modifications of gravity (of the metric) at the linear perturbation level with 2 functions of scale (\(k\)) and time (\(a\))

Modified Gravitational Potentials

\rm{d}s^2 = -(1+2\Psi) \rm{d}t^2 + a^2(t)(1-2\Phi) \rm{d}x^2

Euclid primary observables

We can describe general modifications of gravity (of the metric) at the linear perturbation level with 2 functions of scale (\(k\)) and time (\(a\))

Modified Gravitational Potentials

\rm{d}s^2 = -(1+2\Psi) \rm{d}t^2 + a^2(t)(1-2\Phi) \rm{d}x^2

Casas, Kunz, Martinelli, Pettorino (2017); Phys.Dark Univ. 18 1703.01271

Euclid primary observables

Lensing and Clustering

very complimentary probes

We can describe general modifications of gravity (of the metric) at the linear perturbation level with 2 functions of scale (\(k\)) and time (\(a\))

Euclid primary observables

Casas, Kunz, Martinelli, Pettorino (2017); Phys.Dark Univ. 18 1703.01271

Updated forecasts for SKAO, LSST(Rubin), DESI : 
Casas
, Carucci, Pettorino,  Camera, Martinelli (2023); Phys. Dark Univ.,  2210.05705;  

Modified Gravitational Potentials

\rm{d}s^2 = -(1+2\Psi) \rm{d}t^2 + a^2(t)(1-2\Phi) \rm{d}x^2

Lensing and Clustering

very complimentary probes

We can describe general modifications of gravity (of the metric) at the linear perturbation level with 2 functions of scale (\(k\)) and time (\(a\))

Lensing mass, sensitive to \(\Phi + \Psi\)

Pizzutti, Saltas, Casas et al., Future constraints on the gravitational slip with the mass profiles of galaxy clusters (2017); 1901.01961

Modified Gravitational Potentials

\rm{d}s^2 = -(1+2\Psi) \rm{d}t^2 + a^2(t)(1-2\Phi) \rm{d}x^2

Testing gravity with galaxy clusters

\eta(r) = \frac{\int^r \frac{ds}{s^2} [2\color{blue}{M_{\rm lens}}(s) - \color{red}{M_{\rm dyn}}(s)]}{\int^r \frac{ds}{s^2} \color{red}{M_{\rm dyn}}(s)}

Dynamical mass, sensitive to \(\Psi\)

Recurring Challenge: Modified Gravity in the nonlinear regime

Credit: CoDECS simulations

Simulations of MG are

expensive, need for fitting functions or Emulators.

Baldi (2011);
Casas+(2015) 1508.07208; Winther, Casas+ (2019)1903.08798

Recurring Challenge: Modified Gravity in the nonlinear regime

Credit: CoDECS simulations

Simulations of MG are

expensive, need for fitting functions or Emulators.

Baldi (2011);
Casas+(2015) 1508.07208; Winther, Casas+ (2019)1903.08798

Credits: Yun Ling

CONCEPT forecasts,

Ling, Casas, Dakin, in prep.

 

Are neutrino suppressions degenerate with MG enhancements?

Peel+(2018)

What about baryons??

Euclid standard project: f(R)+Mnu
Casas, Parimbelli in prep.

Recurring Challenge: Modified Gravity in the nonlinear regime

Credit: CoDECS simulations

Simulations of MG are

expensive, need for fitting functions or Emulators.

Baldi (2011);
Casas+(2015) 1508.07208; Winther, Casas+ (2019)1903.08798

Credits: Yun Ling

CONCEPT forecasts,

Ling, Casas, Dakin, in prep.

 

Are neutrino suppressions degenerate with MG enhancements?

Peel+(2018)

What about baryons??

Euclid standard project: f(R)+Mnu
Casas, Parimbelli in prep.

Is the fifth force screened at Halo, Clusters and galaxy level?

G_{\rm eff}=\left(1+ \frac{2\beta^2(\phi_0)}{Z(\phi_0)}e^{-m(\phi_0)r}\right) G_N

Different types of screening:

Chameleon, Damour-Polyakov, K-mouflage, Vainshtein

Review: Testing Screened Modified Gravity; Brax, Casas, Desmond, Elder (2021), 2201.10817.

Can we compute very nonlinear dynamics that backreacts into the Friedmann equation?

Growing Neutrino Quintessence,

Casas, Pettorino, Wetterich (2016), Phys. Rev. D 1608.02358

Theory

Observables

Simulations

The four pillars of cosmology

Theory

Observables

Simulations

The four pillars of cosmology

Statistics

Likelihoods: Or how to test a model against (synthetic) data

\color{green}{P(\theta|x)} = \frac{\color{darkblue}{L(x | \theta)} \color{orange}{p(\theta)}}{\color{black}{p(x)}}

Bayes Theorem:

\mathcal{L} \equiv -2 \ln L (\mathbf{x}|\theta) = (\mathbf{x} - \mathbf{\mu(\theta)})^{T} \mathbf{C}^{-1} (\mathbf{x} - \mathbf{\mu(\theta)})

Gaussian Likelihood:

F_{\alpha\beta} = \left\langle -\frac{\partial^2 \ln L}{\partial \theta_\alpha \partial \theta_\beta} \Big|_{\theta_{\rm ref}} \right\rangle

Fisher Matrix:

Forecasting the constraining power of Euclid and other Stage-IV surveys

Code: CosmicFishPie 

S. Casas, M. Martinelli and M. Raveri

S. Pamuk, Sabarish V.M. and friends

github.com/santiagocasas/cosmicfishpie

New pythonic version: I have been main developer on forecasts for:

SKAO (21cm IM), DESI (GCsp), Vera Rubin LSST (3x2photo), Euclid (GCsp+3x2photo), CMB (TT+TE+EE)

F_{\alpha \beta} = \frac{1}{2} f_{\text{sky}} \sum_{\ell} (2\ell + 1) \text{Tr} \left\{ \left[ \mathbf{C}^{\text{fid}}(\ell) \right]^{-1} \left[ \partial_\alpha \mathbf{C}^{\text{th}}(\ell) \big|_{\text{fid}} \right] \left[ \mathbf{C}^{\text{fid}}(\ell) \right]^{-1} \left[ \partial_\beta \mathbf{C}^{\text{th}}(\ell) \big|_{\text{fid}} \right] \right\}

Fisher matrix for the photometric 3x2pt observable in angular space

IST:Forecasting

  • Current bounds from CMB and LSS alone
  •  \(\mathcal{O}(1)\) for {\(w_0\), \(w_a\)} combining Planck+BAO+WL+SNIa
  • {\(\mathcal{O}(0.01)\), \(\mathcal{O}(0.1)\)} with Euclid

Awardees of the Euclid STAR Prize Team 2019

Euclid preparation: VII. Forecast validation for Euclid cosmological probes, Blanchard et al. arXiv:1910.09273

I had the honor to present the plenary STAR prize talk in Helsinki 2019.

IST:Forecasting

Recipe, comparison and final Fisher matrices.
One of the few validated Galaxy Clustering + Weak Lensing codes

My main contributions:

Euclid preparation: VII. Forecast validation for Euclid cosmological probes, Blanchard et al. arXiv:1910.09273

Figure of Correlation (FoC), based on:

Casas et al,  (2017) Phys. Dark Univ. 1703.01271

Maintainer of public repository.

Plotting scripts for all the figures.

submission to the arXiv

CosmicFish in the beyond-\(\Lambda\)CDM sea

Casas, Rubio, Pauly et al., 1712.04956 

Higgs-Dilaton inflation: early-late Universe connection

Constraints on Hu-Sawicki \( f(R)\)

Casas, Amendola, Baldi, Pettorino et al., 1508.07208

Coupled Quintessence: DM-DE

Surviving Horndeski EFT

Frusciante, Peirone, Casas, Lima, 1810.10521

Modified Gravity with SKA 21cm-IM

Casas, Cardone, Sapone, et al., 2306.11053 

Casas, Carucci, Pettorino et al 2210.05705 

Atayde, Frusciante, Bose, Casas, Li, 2404.11471 

Forecasts for generalized Cubic Galileons

Important: Take decisions, is it worth analyzing with data?

MCMC sampling with MontePython

Are Fishers a good approximation to the posterior?

in presence of neutrinos

  • TTK Aachen group: developed Euclid photometric and spectroscopic likelihoods for MontePython.
  • Validated likelihoods against CosmicFish Fishers, 4 different settings: CAMB/CLASS.

Euclid: Validation of the MontePython forecasting tools, Casas, Lesgourgues, Schöneberg, et al.; 2303.09451 

Euclid: Sensitivity to neutrino parameters , Archidiacono, Lesgourgues, Casas, et al.; 2405.06047

w0waCDM

MCMC sampling with MontePython

First up-to-date MCMC forecasts for Euclid+external probes in presence of neutrinos

  • TTK Aachen group:  developed Euclid photometric and spectroscopic likelihoods for MontePython.
  • Validated likelihoods against CosmicFish Fishers, 4 different settings: CAMB/CLASS.
  • MCMC Metropolis-Hastings forecasts to test neutrino sensitivity + CMB + clusters.
  • Careful consideration of neutrino effects in solvers.

Euclid: Validation of the MontePython forecasting tools, Casas, Lesgourgues, Schöneberg, et al.; 2303.09451 

Euclid: Sensitivity to neutrino parameters , Archidiacono, Lesgourgues, Casas, et al.; 2405.06047

Are we ready for Euclid's first Data Release (DR1)?

An example of the complexity in analyzing and constraining a cosmological model

Doing initial forecasts on \(f(R)\) theory with Fisher Matrix:

\newcommand{\sg}{\ensuremath{\sigma_{8}}} \newcommand{\de}{\mathrm{d}} S = \frac{c^4}{16\pi G} \int{\de^4 x \sqrt{-g} \left[R+f(R)\right]}
-k^2\Psi =\frac{4\pi\,G}{c^4} \,a^2\mu\bar\rho\Delta\,
-k^2\left(\Phi+\Psi\right) = \frac{8\pi\,G}{c^4}\,a^2 \Sigma \bar\rho\Delta

Induces changes in the gravitational potentials

Casas, Euclid: Constraints on f(R) cosmologies from the spectroscopic and photometric primary probes, 2306.11053 

Free parameter: \(f_{R0}\)

f(R) = - 6 \Omega_{\rm DE} H_0^2 + |f_{R0}| \frac{\bar R_0^2}{R}\,

\(\lambda_C =32 \rm{Mpc}\sqrt{|f_{R0}|/10^{-4}}\)

"Fifth-force" scale for cosmological densities

Hu, Sawicki (2007)

\(f_{R0}=(5.0^{+ 0.58}_{-0.52} \times 10^{-6})\)

Euclid constraints photometric 3x2pt + GC spectroscopic:

Use fitting formulas for non-linear matter power spectra:
Winther, Casas+1903.08798 

An example of the complexity in analyzing and constraining a cosmological model

Project led by K.Koyama, me and my student Sefa Pamuk

  • Fitting formulae not accurate enough against N-body simulations
  • Emulators / Halo-model strong differences among each other
  • Good agreement between Fisher Matrix (Casas+2023) and MCMCs with MontePython,  synthetic data == model
     
  • Synthetic data is FORGE (MG-Arepo) : observe parameter bias in the estimation.

Weak Lensing, 6years Euclid data,

IST:F validated MontePython likelihoods: github.com/Sefa76/photometric_fofR/ 

Weak Lensing, optimistic, with BCEmu as baryonic-feedback model

  • When baryonic feedback parameters are left free, the situation degrades!
     
  • When estimating lower bound on \(\log f_{R0}\) we quickly hit the prior. Contours are far from Gaussian.
  • Use Bayes ratios to compute prior-independent bounds.
     
  • Large degeneracy in parameter space between cosmology and baryonic parameters, causes projection-effects.
     
  • Used the PROSPECT (Holm+2023) profiling tool to find the profile likelihood: github.com/AarhusCosmology/prospect_public

We included theoretical errors (Audren+2012) to mitigate biases

github.com/Sefa76/photometric_fofR/

B(x_1, x_2) = \frac{b(x_1 \mid d, p)}{b(x_2 \mid d, p)} = \frac{\mathcal{L}(d \mid x_1)}{\mathcal{L}(d \mid x_2)}

Reproducible research!

  • Modified Gravity emulators not yet at precision level for Euclid's full statistical power.
  • Baryonic feedback -> large degeneracies in parameter space.
  • Is baryonic feedback really independent of cosmology (Boost formalism)?
     
  • Priors important but given by simulation ranges and Emulator trainings.
  • Need to take into account theoretical errors + Covariance.
     
  • MCMC chains and optimization for maximum likelihood estimation, months of running time.
  • Need of better samplers, more efficient, auto-differentiable techniques (JAX-cosmo, see later).

Lessons learnt:

Paper under internal review, on the arXiv soon

Reproducible research!

Supervision of students

  • 1 PhD student in Heidelberg:
    • Ana Marta Pinho, gravitational slip
  • 2 internship students at CEA :
    • Senwen Deng, inflation-dark-energy
    • Raphael Baena, GP, OT, PCA, emulators.
  • 5 Master students at RWTH Aachen (12 months projects each) :
    • Sabarish V.M. + Sefa Pamuk on MontePython.
    • Dennis Linde + Christian Rademacher: CLASS-1loop.
    • Johanna Schafmeister: accuracy-aware emulators
  • 2 Bachelor students
    • Jakob Kramp: JAX-Variational inference.
    • Yun Ling: Neutrino N-body forecasts.
      Image credits: Yun Ling, Jeppe Dakin,
      CONCEPT code.

Much of this work has been thanks to excellent collaborators and students over the years!

Students moved on to excellent PhDs

Preparations for Euclid's first Data Release (DR1)

Euclid: A complex project!

Euclid structure: Y. Mellier, with modifications by G. Cañas-Herrera

IST:Likelihood effort

  • IST:Likelihood aims at connecting the data products (OU-LE3, J.L. Starck) with the SWG modelling.
  • Development of a fully-fledged likelihood code (in Cobaya).
  • Joined IST:Likelihood in 2019 as expert/reviewer/developer. Also chain-runner!
  • CLOE v2 ready in 2023.
  • First MCMC forecasts ready for overview paper.

Euclid. I. Overview of the Euclid mission, Euclid collaboration, Mellier et al., 2405.13491

Image credits: Guadalupe Cañas-Herrera

Convergence for full probe combination achieved after a combined ~ 3 million CPU hours using nested sampling with Polychord

CLOE development

  • Complex management. Agile approach developed by V. Pettorino.
  • Gitlab boards, continuous integration, automatic testing, sphinx documentation, Docker (thanks S. Farrens)
  • After 5 years, more than 1073 completed tasks!

CLOE development

BNT: Half-vectorization technique. In collaboration with S. Camera. IST:Likelihood.

My main contributions:

  • Complex management. Agile approach developed by V. Pettorino.
  • Gitlab boards, continuous integration, automatic testing, sphinx documentation, Docker (thanks S. Farrens)
  • After 5 years, more than 1073 completed tasks!
  • Bernardeau-Nishimichi-Taruya transform, to perform scale cuts. Developer task.
  • Reviewer/expert in Theory.

CLOE development

  • Bernardeau-Nishimichi-Taruya transform, to perform scale cuts. Developer task.
  • Reviewer/expert in Theory.
  • Thanks to techniques learned at CosmoStat,
    coder of optimization and speed profiling tasks.
    Orders of magnitude improvement.
  • So-called "Santiago-Matrix" for observable correlations.
  • Plotting routines, "FoM polygons".
  • Theory WG WP17 (Co-led with G. Cañas-Herrera, I. Tutusaus and S. Ilic): CLOE extensions (rel-corrections, MG, ...)

Image credits: IST:Likelihood team

My main contributions:

  • Complex management. Agile approach developed by V. Pettorino.
  • Gitlab boards, continuous integration, automatic testing, sphinx documentation, Docker (thanks S. Farrens)
  • After 5 years, more than 1073 completed tasks!

Meeting at ESTEC tomorrow!

IST:Nonlinear

  • IST:Nonlinear goals:
    Developing a  robust modelling of non-linear scales.
  • Primary observables: photometric, spectroscopic
  • 2021 started main development.
  • I joined the core-development team with weekly hackathons.
  • Gitlab repository mirorring IST:L repo (thanks S. Farrens again)

photometric 3x2pt

  • Develop+test Dark Matter power spectrum emulators/fits.
    HMCode, Bacco, EuclidEmulator2,...

  • Study baryonic feedback with emulator boosts and baryonification:
    BCemu, Bacco, HMCode

  • I currently run MCMC chains.
  • Exploring scale cuts (BNT).
  • Parameter bias induced by modelling.
  • I am co-leading with P. Carrilho, the 3x2pt Key Paper.

Image credits: P. Carrilho, S. Casas

Euclidean Timeline

Joined Inter-SWG-Taskforce on Forecasting (IST:F)

2015

IST:F STAR prize co-winner, plenary talk

2019

2019

Member of IST:Likelihood core-team

2019

Core member of IST:Nonlinear develop team

2019

Selected coordinator of Key Project TH-1

2021

KP-JC6 and IST:NL Key-paper co-lead

2022

Become EC member, Theory Science Working Group (TH-SWG)

2014

Joined EC Internal COM group

2023

EC Copenhagen: Achieved Builder Status

2023

EC Rome: Plenary Speaker

2024

TH-SWG WP17 Likelihood co-lead

2024

Lead Data Release 1 Key project

Coordination or Committee lead

Selected as TH-SWG Work Package 6 Forecasting co-lead

nomination STAR prize PhD

2018

What are the next steps we need to test cosmology in the era of Big Data?

High-dimensionality problem

  • Bottlenecks in current analysis: MCMC sampling inefficiency, large (nuisance) parameter space, maximum likelihood estimation.

EUCLID PRELIMINARY

Weak Lensing

(Cosmic Shear)

+ Baryonic feedback

+ Intrinsic alignment

+ multiplicative bias

+ dnz uncertainties

 = 34 parameters

for LCDM flat

 

Using CLOE Metropolis-Hastings:

6x8 cores x 6 days

Differentiable Universe

Campagne, Lanusse, Zuntz, Boucaud, SC, et al, 2302.05163

  • Access to exact gradients: efficient samplers and fast optimization.
  • Automatic-Differentiation enabled by programming languages/libraries such as JAX, Julia, PyTorch, ...
  • Still under-explored in cosmology.
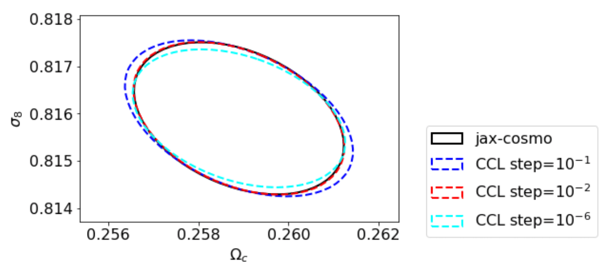
  • Jax-Cosmo package an attempt for a fully-differentiable pipeline. Started work 2020 at CosmoStat (F. Lanusse)
  • CosmoStat has auto-diff pipelines (see WaveDiff, T. Liaudat, J.L. Starck)
  • Great tool for continuous Science Performance Verification  (differentiable SPV3 in Euclid?)
  • Currently several ideas/projects
    in mind with:
    Cosmopower-Jax, EBS by Hahn+(2023)
    AD-CLASS  (RWTH Computer Science collab.)
  • June 2023: Invited to Munich Institute for Astro-, Particle and BioPhysics Workshop on Differentiable Programming

Automatic Fisher, Variational Inference, Hamilton-Monte-Carlo

Orders of magnitude faster

Future plans summary and integration at the AIM/DAp

  • Euclid:
    • Long term still ~10 years until all data is analyzed!
    • OU-LE3 integration with efficient likelihood pipelines, CLOE maintenance. (J.L. Starck)
    • SGS and continuous Science Performance Verification forecasts (H. Aussel)
    • Robustness of constraints needs simulations with baryons (F. Bournaud, C. Correa).
    • SGS Data management, code efficiency (S. Farrens)
    • Machine Learning and Auto-differentiable Bayesian end-to-end cosmological pipeline with (F. Lanusse) and collaborators. With higher-order Fishers!
    • Weak Lensing and intrinsic alignments in modified gravity (M. Kilbinger)
    • Non-Gaussian, Non-linear clustering. (S. Codis)
    • Cosmology from galaxy clusters (M. Pierre)

Euclid. I. Overview of the Euclid mission, Euclid collaboration, Mellier et al., 2405.13491. Credit: Cosmoplotlib.

An example of a dream project

Image credits: CEA IRFU/DAp research highlights

A differentiable stage-IV survey cosmo-pipeline

similar to CLOE/MontePython in ingredients

with beyond Gaussian statistics

fully accuracy-aware emulators

with baryonic-feedback

in Dark Energy with massive neutrinos!

Future plans summary and integration at the AIM/DAp

https://www.skao.int/

  • Other surveys:
    • Many opportunities with SKAO, LOFAR, synergies with Radio and Optical cosmology (J.L. Starck, S. Prunet, TOSCA project).
    • 21cm IM, Line intensity mapping
    • CMB-S4 (French involvement)
    • LiteBird, SPT/ACT cross Euclid (N. Aghanim)
    • Gravitational Waves, Bright and Dark Sirens cross Galaxy Clustering (Einstein Telescope, LISA).

First forecast for MG using Radio x Optical: Constraining gravity with synergies between radio and optical cosmological surveys, Casas et al (2022), Phys.Dark.Univ. 2210.05705

The power of combining Euclid + CMB-S4: Euclid preparation. Sensitivity to Neutrino parameters. Archidiacono, Lesgourgues, Casas, Pamuk, et al (2024) 2405.06047

CEA/DAp is involved in essentially all ESA missions!

Lots of opportunities for outreach!!

Outreach

  • Member of the Euclid Consortium Internal Communications team (ECICOM):
  • EC Education and Public Outreach member (ECEPO):
    • Social media team, manager of @euclidconsortium instagram's account.
  • Funding member of alpha-Cen :  First Central-American association of astrophysics. Webinars, Remote-internships, mentoring, (Virtual) Summer Schools for underrepresented students .
  • Podcasts :  Podcastination (with CosmoStat members)

     
  • Big Think, Starts with a Bang
  • TV-appearances : Teleantioquia y Telemedellin
  • CNRS 80-years anniversary: Euclid stand at Gif-Sur-Yvette.
  • Science Communication Summer School: Alexander von Humboldt Foundation, Berlin, 2021.
    Declaration handed in to German Bundestag, including chapters on inclusion and diversity.

Leverage opportunities at DAp and the mesmerising quality of its research (see D. Elbaz)

Take Home Message

Merci!

https://www.euclid-ec.org/public/press-releases/first-science-results-and-exclusive-ero-data/

  • Theoretical physicist and cosmologist, broad background, deep interests:
    • computational physics, numerical methods, statistics, data analysis.
       
  • Comprehensive and holistic understanding of the Euclid mission
    • 10 years at forefront of Inter-Science-Working-Groups
    • Competitive edge to exploit scientific content of the data and enable physical discoveries
    • Extensive experience in supervision of research projects
       
  • My skillset aligns, complements and potentiates fields of research of CosmoStat
    • Can help CosmoStat/DAp lead and be at forefront of analysis of next generation cosmological experiments

Backup slides

Vera Rubin LSST

Square kilometer array (SKAO)

  • Modelling is very analogous to GCsp, with brightness temperature on top and different biases
  • GCsp-IM Cross-correlation in overlapping bins
  • DESI : Two galaxy samples
  • SKAO: HI Galaxies and 21cm-IM

\(P^{\rm IM}(z,k) = \bar{T}_{IM}(z)^2 \rm{AP}(z) K_{\rm rsd}^2(z, \mu; b_{\rm HI}) \)
\(FoG(z,k,\mu_\theta) \\ \times P_{\delta\delta,dw}(z,k)  \)

\( K_{\rm rsd}(z, \mu; b_{\rm HI}) = [b_{\rm HI}(z)^2+f(z)\mu^2] \)

\( b_{\rm HI}(z) = 0.3(1+z) + 0.6 \)

\( \bar{T}_{\mathrm{IM}}(z)= 189h \frac{(1+z)^2 H_0}{H(z)}\Omega_{HI}(z) \,\,{\rm mK} \)

\(\Omega_{HI}  = 4(1+z)^{0.6} \times 10^{-4} \)

Carucci et al (2020) 2006.05996

Jolicoeur et al (2020) 2009.06197

\(P^{{\rm IM} \times \rm{g}}(z,k) = \bar{T}_{\rm IM}(z) {\rm AP} (z) r_{\rm IM,opt}  K_{\rm rsd}(z, \mu; b_{\rm HI}) \)
\( \times K_{\rm rsd}(z, \mu; b_{\rm g}) FoG(z,k,\mu_\theta) P_{\delta\delta,dw}(z,k) \)

\( \times \exp[-\frac{1}{2} k^2 \mu^2 (\sigma_{\rm IM}(z)^2+\sigma_{\rm sp}(z)^2)]  \)

SC, Carucci, Pettorino et al (2022) 2210.05705

Brightness temperature of 21cm emission line

Fraction of neutral hydrogen in the Universe

Vera Rubin LSST

Radio x Optical Cosmology

SC, Carucci, Pettorino et al (2022) 2210.05705

  • WL is better at measuring \(\Sigma\) (40% relative error)
  • GC is better at measuring \(\mu\) (20% relative error)
  • SKAO-all-probes constrains at 3-5% relative error
  • At Planck best fits
  • DESI(GCsp)xSKAO(IM) helps in \(h, \sigma_8\) but not in MG parameters
  • Combination of SKAO + one Stage-IV probe is as good as two Stage-IV
  • Different noise and systematics -> break degeneracies

Neutrinos

Neutrinos

Neutrinos

Neutrinos

Neutrinos

DESI

In a nutshell: Measure a geometric scale that was imprinted on LSS at recombination

https://data.desi.lbl.gov/doc/papers/

Another tension we need to explain?

spectroscopic probe: Full Shape

Linde, Moradinezhad, Rademacher, SC, Lesgourgues (2402.09778)

  • Trade-off: larger error bars, more accuracy, less biasing
  • Compared against IST:F model at different scales
  • Many free parameters, good fit to ABACUS simulations

Tensions

Tensions IN \(\Lambda\)CDM

\(H_0\) tension at 5\(\sigma\)

  • Tensions between local and sound-horizon-based measurements

Freedman et al

SH0ES, Riess et al

Planck 2018, VI

Tension with Planck in the
\(\sigma8\) - \(\Omega_m\) plane

Lange et al. arXiv: 2301.08692

  • \( S_8 = \sigma_8 \sqrt{\Omega_{m,0}/0.3} \)
  • So called "lensing is low" problem or S8 problem.
  • At the moment just a discrepancy (no tension) at 2-3 \(\sigma\)
  • Blind comparisons among surveys can rule out usual systematics below z<0.54 (A. Leauthaud et al.)
  • Beyond \(\Lambda\)CDM modelling does not help with current nonlinear analysis

Planck 2018, VI

DES DRY3 arxiv:2207.05766

Tensions IN \(\Lambda\)CDM

Beyond Gaussian, non-Gaussianities

voids, filaments, walls, knots

 

Minkowski functionals

Bispectrum

Approximate Bayesian Compuation

Euclid's 3x2pt data vector:

~12200 entries long

30 ell-bins

13 n_z bins

GG, GL, LL

 

DELFI: Denisty estimation likelihood-free inference

Bayesian NN with Schafmeister

https://github.com/schafmeister/bayesian_nn

Stage V:

Backup slides

CEA-Interview

By Santiago Casas

CEA-Interview

Santiago Casas, Cosmologist

  • 348