Next-generation forecasts for screened and unscreened models of modified gravity

 

Santiago Casas, TTK, RWTH Aachen University

With collaboration from Euclid TWG WPs 1-6-7 and more...

 

 

Cosmic Microwave Background

Planck 2018 CMB Temperature map (Commander) .  wiki.cosmos.esa.int/planck-legacy-archive/index.php/CMB_maps

Large Scale Structure

Illustris Simulation: www.nature.com/articles/nature13316

Text

  • LCDM is still best fit to observations.
  • Concordance Cosmology:
  • Combination of different observables.
  • Lensing
  • CMB
  • Clustering
  • Supernovae
  • Clusters
G_{\mu \nu} + \Lambda g_{\mu \nu} = 8\pi G T_{\mu \nu}

The Standard \(\Lambda\)CDM model

Text

  • LCDM is still best fit to observations.
  • Some questions remain:
  • \(\Lambda\) and CDM.
  • Cosmological Constant Problem:

O(100) orders of magnitude wrong
(Zeldovich 1967, Weinberg 1989, Martin 2012).
 Composed of naturalness and coincidence
sub-problems, among others.

Quantum Gravity?

G_{\mu \nu} + \Lambda g_{\mu \nu} = 8\pi G T_{\mu \nu}

The Standard \(\Lambda\)CDM model

Text

The Standard \(\Lambda\)CDM model

  • \(\Lambda\)CDM is still best fit to observations.
  • Some questions remain:
  • H0 tension, now ~5\(\sigma\)
  • \(\sigma_8\) - \(\Omega_m\)  discrepancy at ~\(2\sigma\)

Text

Alternatives to \(\Lambda\)CDM

Ezquiaga, Zumalacárregui, Front. Astron. Space Sci., 2018

Text

Constraints on Theories

  • Background is well constrained to be around \(w=-1\)
  • Gravitational Wave speed = c
  • Galaxy morphology and solar system
  • Black holes
  • Coupling to baryons
  • Non-linear regime still pretty much unconstrained
  • Fifth forces
  • Neutrinos?

Text

Scalar field models

At lowest order in the perturbation of the scalar field \( \varphi \equiv \phi-\phi_0\)

 

  • Matter is coupled to the perturbed Jordan metric
  • In the case of a cosmological-stress energy tensor and a non-negligible scalar field mass :

 

\mathcal{L}_2=\frac{ Z(\phi_0)}{2} (\partial_\mu\varphi)^2 +\frac{ m^2_\phi(\phi_0)}{2} \varphi^2 - \delta g_{\mu\nu} \delta T^{\mu\nu}

Review: Brax, Casas, Desmond, Elder, arXiv:2201.10817

G_{\rm eff}=\left(1+ \frac{2\beta^2(\phi_0)}{Z(\phi_0)}e^{-m(\phi_0)r}\right) G_N

Yukawa term: Short range forces

Text

Screened Scalar fields

Different types of screening:

  • Chameleon: The mass \(m(\phi_0)\) increases sharply inside matter
  • Damour-Polyakov: The coupling \(\beta(\phi_0)\) vanishes inside matter
  • K-mouflage and Vainshtein: \(Z(\phi_0) \gg 1\)

 

G_{\rm eff}=\left(1+ \frac{2\beta^2(\phi_0)}{Z(\phi_0)}e^{-m(\phi_0)r}\right) G_N

Review: Brax, Casas, Desmond, Elder, arXiv:2201.10817

Text

Screened models

Z(\phi_0)= 1 + a(\phi_0) r_c^2 \frac{\Box\varphi}{m_{\rm Pl}} + b(\phi_0) \frac{(\partial \varphi)^2}{\Lambda^4}+ c(\phi)\frac{\Box^2 \varphi}{\Lambda^5}+\dots

As an effective field theory, the normalization factor can be expanded in a power series:

K-mouflage:  first derivative term \( \partial \varphi / \Lambda^2 \) dominates, which implies:

\vert \vec \nabla \Phi_N \vert \ge \frac{\Lambda^2}{2\beta(\phi_0) m_{\rm Pl}}

Screening where Newtonian acceleration \( a= - \vec \nabla \Phi_N \) large enough

Vainshtein:  second derivative term \( \Box \varphi \) dominates, which implies:

\nabla^2 \Phi_N \ge \frac{1}{2\beta(\phi_0) r_c^2}

Screening where spatial curvature is large

When the \( \Box^2 \varphi \) dominates → massive gravity

Review: Brax, Casas, Desmond, Elder, arXiv:2201.10817

Text

Screened models

\nabla^k \Phi_N \gtrsim C
  • Chameleon: \(k=0\) (surface N. potential is large)
  • K-mouflage: \(k=1\) (N. acceleration is large)
  • Vainshtein: \(k=2\) (curvature is large)

 

To summarize, screening mechanisms can be characterized by the inequality:

For DE applications and under some assumptions:

  • Chameleon screens everything above a certain potential threshold
  • K-mouflage does not screen galaxy clusters
  • Vainshtein screens all structures that turn non-linear

Review: Brax, Casas, Desmond, Elder, arXiv:2201.10817

Text

Examples of screened models

  • Chameleon: \( f(R) \) Hu-Sawicki
  • K-mouflage: \(k\)-essence + universal coupling
  • Vainshtein:  nDGP (3+1)d brane embedded in 5d

 

  • Solar system and other local constraints and instabilities forbid self-acceleration in these models
  • \(\Lambda\)CDM-like background
  • Just one free parameter each
  • Universal couplings

Review: Brax, Casas, Desmond, Elder, arXiv:2201.10817

Text

f(R) Hu-Sawicki model

Modification of the Einstein-Hilbert action

\newcommand{\sg}{\ensuremath{\sigma_{8}}} \newcommand{\de}{\mathrm{d}} S = \frac{c^4}{16\pi G} \int{\de^4 x \sqrt{-g} \left[R+f(R)\right]}

Induces changes in the gravitational potentials *

*for negligible matter anisotropic stress

-k^2\Psi =\frac{4\pi\,G}{c^4} \,a^2\mu\bar\rho\Delta\,
-k^2\left(\Phi+\Psi\right) = \frac{8\pi\,G}{c^4}\,a^2 \Sigma \bar\rho\Delta

Scale-dependent growth of matter perturbations

Small changes in lensing potential

\mu(a,k) = \frac{1}{1+f_R(a)}\frac {1+4k^2a^{-2}m_{f_R}^{-2}(a) }{1+3k^2a^{-2}m_{f_R}^{-2}(a)}
\Sigma(a)=\frac{1}{1+f_{R}(a)}\,

Free parameter: \(f_{R0}\)

f(R) = - 6 \Omega_{\rm DE} H_0^2 + |f_{R0}| \frac{\bar R_0^2}{R}\,

Hu, Sawicki (2007)

"Fifth-force" scale for cosmological densities

\(\lambda_C =32 \rm{Mpc}\sqrt{|f_{R0}|/10^{-4}}\)

Euclid: Casas et al (2022) in preparation

Text

f(R) as a scalar field theory

V_{\rm eff}(\phi)= V(\phi) +(A(\phi)-1) \rho
\tilde{g}_{\mu \nu} = A^2(\phi,X) g_{\mu \nu} + B^2(\phi,X) \partial_\mu \phi \partial_\mu \phi
A(\phi)= e^{\beta \phi/m_{\rm Pl}}
\frac{df}{dR}= e^{-2\beta \phi/_{\rm m_{Pl}}}
V(\phi)= \frac{m^2_{\rm Pl}}{2} \frac{ R \frac{df}{dR}-R}{(\frac{df}{dR})^2}

Universal coupling through a conformal transformation between Einstein and Jordan metrics

General Chameleon scalar models are given by specifying \(V\) and \(A\)

  • With a coupling function:
  • Map to a scalar field by:
  • Carefully chosen potential can realize chameleon mechanism:
     
  • Objects screened when:
\textcolor{green}{\Phi_N\gtrsim \frac{3}{2}\vert f_{R_0} \vert}

Review: Brax, Casas, Desmond, Elder, arXiv:2201.10817

Text

f(R) Hu-Sawicki predicitons

Codes used: for linear perturbations: MGCAMB and EFTCAMB

Scale-dependent growth

Fitting formula for non-linear power spectrum:

Winther, Casas, Baldi, Koyama, Li  (2019)

*Forge Emulator not available at time of first review

Euclid: Casas et al (2022) in preparation

Text

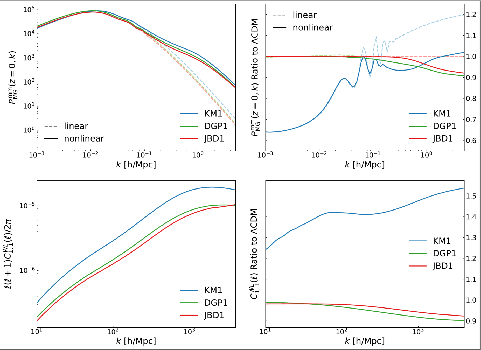
Scale-independent models

Euclid: WP1-WP6 et al (2022) in preparation

nDGP, K-mouflage and Jordan-Brans-Dicke have scale-independent growth

"Extreme cases" far away from LCDM and close to current upper bounds

Preliminary

Preliminary

nDGP: free parameter \(\Omega_{rc}\)  (related to the transition scale)

KM: free parameter \(\epsilon_2\)  (related to the conformal coupling amplitude)

JBD: free parameter \(\omega_{BD}\)  (related to the scalar coupling)

ReACT

HMCode

Halo+PT

Text

Scale-independent models

  • K-Mouflage presents a large enhancement of the lensing potential
  • Definitely detectable with next-generation WL observations

Preliminary

Euclid: WP1-WP6 et al (2022) in preparation

Text

Text

Next-generation Galaxy Surveys

Text

Text

DESI telescope

  • 14 000 square degrees in the sky
  • 30 million accurate galaxy spectra
  • Redshifts: 0 < z < 2
  • Quasars up to z~3.5
  • 5 years of observation

Text

Text

Text

Vera Rubin Observatory

  • Located in Chile, 8.4m telescope
  • 20 billion galaxies
  • Redshifts: 0 < z ~< 3
  • 18,000 square degrees
  • 11 years of observation

Santiago Casas, Oslo, 23.10.2020

Euclid Space Satellite

  • Two instruments:
  •  VIS (visible photometer): shape and orientation of 1.5 billion galaxies!
  •  NISP (near infrared spectrograph): 30 million galaxy spectra!
  • 15 000 square degrees in the sky
  •  16 countries, ~1500 members
  •  ~170 Petabyte of data!

Text

Photometric cross-correlations

Euclid preparation: VII. Forecast validation for Euclid cosmological probes.  arXiv:1910.09273

Also known as 3x2pt analysys

Text

Weak Lensing

C_{ij}^{\gamma\gamma}(\ell) = \frac{c}{H_0} \int{\frac{{\hat{W}}_i^\gamma(z) {\hat{W}}_{j}^\gamma(z)}{E(z) r^2(z)} P_{\Phi+\Psi}\left ( k_{\ell}, z \right ) dz}
P_{\Phi+\Psi} = \left[3\left(\frac{H_0}{c}\right)^2\Omega_\mathrm{M}^{0} (1 + z) \Sigma(k,z) \right ]^2 P_\mathrm{\delta \delta}

The cosmic shear angular power spectrum depends on the Weyl spectrum (of gravitational potentials \(\Phi+\Psi \))

Which is related to the matter power spectrum (of density contrast \(\delta \)) through

Information about background geometry, matter content and clustering

Text

Spectroscopic Galaxy Clustering

BAO

Clustering

RSD

Spec-z

Euclid preparation: VII. Forecast validation for Euclid cosmological probes.  arXiv:1910.09273

Slides by Dennis Linde, RWTH

Spectroscopic Galaxy Clustering

For mildly non-linear scales we need to use perturbation theory

  • SPT is not enough
  • EFT smoothing over terms ->  UV counterterms
    (see previous talk by Filippo)
  • Already being implemented into MCMC and Fisher pipelines like CosmicFish and CLOE

Text

The Matter Power Spectrum

Current data:

Image: https://www.cosmos.esa.int/web/planck/picture-gallery

Text

The Matter Power Spectrum

Euclid:

Scales from: ~ \(10^{-3}\) to \(10\) hMpc\(^{-1}\)

Text

Euclid: IST:Forecasts

  • Here: Flat \(w_0 w_a\mathrm{CDM}\)
  • GCsp+WL+GCph+XC
     
  • Figure of Merit:
    1257
  • Non-flat FoM:
    500
     
  • Optimistic:
    \(\sigma_{w_0}=0.025\)
    \(\sigma_{w_a}=0.092\)

Euclid preparation: VII. Forecast validation for Euclid cosmological probes.  arXiv:1910.09273

Text

Text

Forecasts for f(R) from Euclid probes

Euclid: Casas et al (2022) in review

  • Combined constraints from GCsp and Photo probes

Preliminary

Text

Text

Forecasts for f(R) from Euclid probes

Euclid: Casas et al (2022) in review

  • Combined constraints from GCsp and Photo probes

Preliminary

Text

Text

Forecasts for f(R) from Euclid probes

Euclid: Casas et al (2022) in review

  • Transform into original space
  • Current LSS data: "just" upper bounds of the order of \(< 10^{-4}\)

Preliminary

Text

Text

Forecasts for nDGP

Preliminary

  • GCsp does not constrain the free parameter very well
  • Most gain is at NL-scales for Photo probes

Euclid: WP1-WP6 et al (2022) in preparation

Text

Text

Forecasts for K-Mouflage

Preliminary

  • For KM1:
    GCsp can constrain the free parameter at ~10%
  • Photo at ~1% (remember \(\Sigma_{WL}\) )
  • KM2 is basically \(\Lambda\)CDM, non detectable

Euclid: WP1-WP6 et al (2022) in preparation

Text

Text

Bonus: Forecasts on parameterized MG

Casas, Pettorino, Camera, Martinelli, Carucci (in preparation)

Preliminary

  • DESI+Rubin have similar power than Euclid alone (under many assumptions)
  • Optical + Radio is also competitive and can remove systematics / degeneracies
  • Constraints on \(\mu, \, \Sigma \) of the order of ~5-10% under optimistic assumptions
  • PPN-approach screening assumed

Santiago Casas, ADE Marseille, May 2022

Text

Conclusions

  • Screening mechanisms can save scalar field models
  • Current constraints don't allow for self-acceleration
  • Screening mechanisms can be classified by the derivative order
  • Euclid and next-generation surveys will be powerful probes for Cosmology.
  • Primary LSS probes: Galaxy Clustering and Weak Lensing
  • Many challenges ahead in non-linear modelling
  • Next-generation surveys can constrain free parameters with percent precision accuracy

Thanks!
Merci!

Marseille-Seminar

By Santiago Casas

Marseille-Seminar

On the quest for Dark Energy with nonlinear observables in the era of Euclid

  • 282