On the quest for Dark Energy with nonlinear observables in the era of Euclid

 

Santiago Casas

 

CEA Paris-Saclay, DAp, CosmoStat

Cosmic Microwave Background

Planck 2018 CMB Temperature map (Commander) .  wiki.cosmos.esa.int/planck-legacy-archive/index.php/CMB_maps

Large Scale Structure

Illustris Simulation: www.nature.com/articles/nature13316

Santiago Casas, Oslo, 23.10.2020

The Standard LCDM model

  • The Universe is expanding in an accelerated way.
  • Expansion kicked in only recently.
  • Universe is consistent with a flat geometry.
  • Supernovae 1998. Perlmutter, Schmidt and Riess, Nobel Prize 2011.
  • Observations can be explained with a cosmological constant and 30% matter.
G_{\mu \nu} + \Lambda g_{\mu \nu} = 8\pi G T_{\mu \nu}

Santiago Casas, Oslo, 23.10.2020

The Standard LCDM model

  • LCDM is still best fit to observations.
  • Concordance Cosmology:
  • Combination of different observables.
  • Lensing
  • CMB
  • Clustering
  • Supernovae
  • Clusters
G_{\mu \nu} + \Lambda g_{\mu \nu} = 8\pi G T_{\mu \nu}

Santiago Casas, Oslo, 23.10.2020

The Standard LCDM model

  • LCDM is still best fit to observations.
  • Some questions remain:
  • \(\Lambda\) and CDM.
  • Cosmological Constant Problem:

O(100) orders of magnitude wrong
(Zeldovich 1967, Weinberg 1989, Martin 2012).
 Composed of naturalness and coincidence
sub-problems, among others.

Quantum Gravity?

G_{\mu \nu} + \Lambda g_{\mu \nu} = 8\pi G T_{\mu \nu}

Santiago Casas, Oslo, 23.10.2020

The Standard \(\Lambda\)CDM model

  • \(\Lambda\)CDM is still best fit to observations.
  • Some questions remain:
  • H0 tension, now ~5\(\sigma\)

Tension between local, and strong-lensing measurements of the Hubble parameter vs. CMB measurements

Santiago Casas, Oslo, 23.10.2020

The Standard \(\Lambda\)CDM model

  • LCDM is still best fit to observations.
  • Some questions remain:
  • \(\sigma_8\) - \(\Omega_m\) tension

Planck, Clusters and Lensing discrepancy

 DES 1yr results, Clusters and WL. arXiv: 2002.11124

Planck 2018 results: arxiv:1807.06209

Santiago Casas, Oslo, 23.10.2020

Alternatives to \(\Lambda\)CDM

Ezquiaga, Zumalacárregui, Front. Astron. Space Sci., 2018

Santiago Casas, Oslo, 23.10.2020

Alternatives to \(\Lambda\)CDM

  • Background is well constrained to be around \(w=-1\) (cosmological constant)
  • Gravitational Wave speed = c
  • Constraints from Galaxy morphology and solar system
  • Black holes
  • Coupling to baryons
  • Non-linear regime pretty much unconstrained
  • Fifth forces, couplings

Santiago Casas, Oslo, 23.10.2020

Euclid Space Satellite

Santiago Casas, Oslo, 23.10.2020

Euclid Space Satellite

Santiago Casas, Oslo, 23.10.2020

Euclid Space Satellite

  • Two instruments:
  •  VIS (visible photometer): shape and orientation of 1.5 billion galaxies!
  •  NISP (near infrared spectrograph): 30 million galaxy spectra!
  • 15 000 square degrees in the sky
  •  16 countries, ~1500 members
  •  ~170 Petabyte of data!

Santiago Casas, Oslo, 23.10.2020

Weak Lensing

  •  Influence of matter-energy: galaxies align and get distorted
  •  Correlation function
    of cosmic shear: information about matter content
    and expansion.

Santiago Casas, Oslo, 23.10.2020

GC: Baryon Acoustic Oscillations

  • Radiation and pressure vs. gravity created a particular scale at the time of recombination.

Hu, Sugiyama (1996)

 The precise shape of oscillations depends on DM content, baryon content, geometry of the Universe and the evolution of Dark Energy.

Santiago Casas, Oslo, 23.10.2020

GC: Baryon Acoustic Oscillations

What we actually measure

The two-point correlation function

Santiago Casas, Oslo, 23.10.2020

GC: Baryon Acoustic Oscillations

Non-linear structure formation is important!

FT

Santiago Casas, Oslo, 23.10.2020

GC: Redshift Space Distortions

 Galaxy clustering in redshift space: distorted by peculiar velocities. Effect depends on: observation angle, bias and growth rate of structure.

Anisotropic two-point correlation function of eBOSS.

Perp. and parall. to the line of sight.

Santiago Casas, Oslo, 23.10.2020

Galaxy Clustering Recipe

BAO

Clustering

RSD

Spec-z

Euclid Collaboration, IST:Forecasts, arXiv: 1910.09273

Santiago Casas, Oslo, 23.10.2020

The Matter Power Spectrum

Current data:

Image: https://www.cosmos.esa.int/web/planck/picture-gallery

Santiago Casas, Oslo, 23.10.2020

The Matter Power Spectrum

Euclid:

Scales from: ~ \(10^{-3}\) to \(10\) hMpc\(^{-1}\)

Santiago Casas, Oslo, 23.10.2020

Information content in the power spectrum

  \(I=N/2\)

Rimes & Hamilton (2006), arXiv:0511418

Text

 For Gaussian fluctuations

Total number of modes

Santiago Casas, Oslo, 23.10.2020

Constraining power of Euclid

  • Current bounds from CMB and LSS alone
  •  \(\mathcal{O}(1)\) for \(w_0\) combining Planck+GC+WL+SNIa
  • \(\mathcal{O}(0.01)\) with Euclid

Euclid

Santiago Casas, Oslo, 23.10.2020

Euclid: A Dark Energy probe

  • Dark Energy: Any dynamical cause for the accelerated expansion.

 Euclid was commissioned to test with observations the most common parametrization:

And possible deviations of the growth of structures

 Cosmology and Fundamental Physics with the Euclid Satellite (Amendola et al , Living Reviews in Relativity, 2018)

Santiago Casas, Oslo, 23.10.2020

Euclid: IST:Forecasts

  • Mission of the IST:F, forecast constraints on \(w_0 w_a /\Lambda \mathrm{CDM}\)
  • Joint effort between Science Working Groups: GC, WL, Theory.
  • 3 years of work.
  • Recently published in A&A.

Awardees of the Euclid STAR Prize Team 2019

Euclid preparation: VII. Forecast validation for Euclid cosmological probes.  arXiv:1910.09273

Santiago Casas, Oslo, 23.10.2020

Euclid: IST:Forecasts

  • Here: Flat \(w_0 w_a\mathrm{CDM}\)
  • GCsp+WL+GCph+XC
     
  • Figure of Merit:
    1257
  • Non-flat FoM:
    500
     
  • Optimistic:
    \(\sigma_{w_0}=0.025\)
    \(\sigma_{w_a}=0.092\)

Euclid preparation: VII. Forecast validation for Euclid cosmological probes.  arXiv:1910.09273

Santiago Casas, Oslo, 23.10.2020

Euclid: IST:Forecasts

  • Parameter decorrelation thanks to photometric XC (cross-correlation):

Euclid preparation: VII. Forecast validation for Euclid cosmological probes.  arXiv:1910.09273

  • FoM  goes from 130 -> 325
  • Figure of Correlation: 1900 -> 820

Santiago Casas, Oslo, 23.10.2020

Euclid: XC cross-correlations

Euclid preparation: VII. Forecast validation for Euclid cosmological probes.  arXiv:1910.09273

Also known as 3x2pt analysys

Santiago Casas, Oslo, 23.10.2020

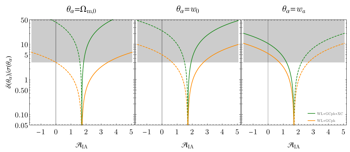
Euclid: Importance of XC

 Tutusaus et al, Euclid: The importance of cross-correlations..., arXiv:2005.00055

  • IST:F spin-off paper
  • Looked into details on effect of XC
  • Important effect on nuisance parameters

Santiago Casas, Oslo, 23.10.2020

Euclid: Importance of XC

 Tutusaus et al, Euclid: The importance of cross-correlations..., arXiv:2005.00055

  • IST:F spin-off paper
  • Looked into details on effect of XC
  • Important effect on nuisance parameters

Induced parameter bias from wrong assumptions on IA:

Santiago Casas, Oslo, 23.10.2020

Euclid: Importance of XC

 Tutusaus et al, Euclid: The importance of cross-correlations..., arXiv:2005.00055

  • IST:F spin-off paper
  • Looked into details on effect of XC
  • Important effect on nuisance parameters
     
  • Revised some assumptions about bias

Santiago Casas, Oslo, 23.10.2020

Euclid: Importance of XC

 Tutusaus et al, Euclid: The importance of cross-correlations..., arXiv:2005.00055

  • IST:F spin-off paper
  • Looked into details on effect of XC
  • Important effect on nuisance parameters
     
  • Included some new terms in the non-linear modelling of GC

Santiago Casas, Oslo, 23.10.2020

Text

The Problem of Non-linearities

Personal list of favorite non-linear problems
(in no particular order)

  •  Problem #1: The deeply non-linear power spectrum (Pk_nl)
  •  Problem #2: Baryonic effects
  •  Problem #3: Galaxy bias
  •  Problem #4: Intrinsic Alignments
  •  Problem #5: Redshift space distortions for Modified Gravity
  •  Problem #6: Inconsistent treatment of Pk_nl for observables
  •  Problem #7: Relativistic and "exotic" N-body simulations

Santiago Casas, Oslo, 23.10.2020

Text

  •  Problem #1: The deeply non-linear power spectrum
  • Non-linear prescriptions, currently used in the community differ by up to 10%.
  • Situation aggravates in extensions of \(\Lambda\mathrm{CDM}\).
  • Emulators
  • Fast approx methods: COLA...
  • Fast-PM, Flow-PM

Euclid: M.Martinelli et al., Impact of nonlinear prescriptions... (in internal review)

Preliminary

Santiago Casas, Oslo, 23.10.2020

Text

  •  Problem #1: The deeply non-linear power spectrum
  • Parameter estimation biases, when exploring small scales:

Euclid: M.Martinelli et al., Impact of nonlinear prescriptions... (in internal review)

Preliminary

Santiago Casas, Oslo, 23.10.2020

Text

  •  Problem #2: Baryonic effects
  • We tested also the impact of including baryonic effects

Euclid: M.Martinelli et al., Impact of nonlinear prescriptions... (in internal review)

Preliminary

Santiago Casas, Oslo, 23.10.2020

Text

  •  Problem #2: Baryonic effects
  • Prefactor fitted and calibrated using hydrodynamical N-body simulations:

van Daalen et al, Mon.Not.Roy.Astron.Soc. 415 (2011) 3649-3665

Santiago Casas, Oslo, 23.10.2020

Text

  •  Problem #2: Baryonic effects
  • Baryonic effects can have an important impact on WL studies with extended cosmologies.
  • f(R) cosmology + fitting formula + baryonic corrections

Schneider et al., Baryonic effects for weak lensing. Part II..., arXiv:1911.08494

Santiago Casas, Oslo, 23.10.2020

Text

  •  Problem #1

  • For extended cosmologies, few simulations available
  • Fitting formula/emulators calibrated form simulations.
  • N-body (DUSTGRAIN, ELEPHANT) and COLA

Emulators for the non-linear matter power spectrum beyond ΛCDM, Winther, Casas, Baldi, et al, arXiv:1903.08798

Santiago Casas, Oslo, 23.10.2020

Text

Forecasts for f(R) from Euclid primary probes

  • Using Winther et al fitting formula and an extension on the
    GC RSD+BAO recipe for scale-dependent growth.

Euclid: Casas et al, Constraints on f(R) cosmologies ..., (under internal review)

Preliminary

Santiago Casas, Oslo, 23.10.2020

Text

Forecasts for f(R) from Euclid primary probes

  • Using Winther et al fitting formula and an extension on the
    non-linear GC RSD+BAO recipe and codes.
  • \(f(R)\) induces an extra fifth force. Scale dependent growth.

Euclid: Casas et al, Constraints on f(R) cosmologies ..., (under internal review)

Santiago Casas, Oslo, 23.10.2020

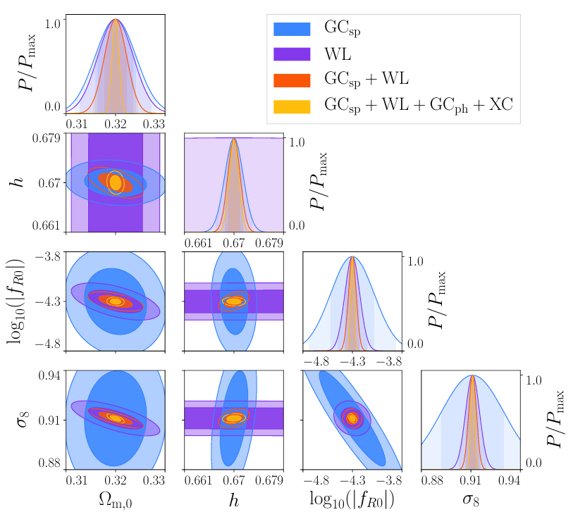
Text

Forecasts for f(R) from Euclid primary probes

  • Using Winther et al fitting formula and an extension on the
    non-linear GC RSD+BAO recipe and codes.
  • Tested \(f_{R0}=5\times10^{-5}\) and \(f_{R0}=5\times 10^{-6}\)

Euclid: Casas et al, Constraints on f(R) cosmologies ..., (under internal review)

Preliminary

Santiago Casas, Oslo, 23.10.2020

Text

 Problem #5: Redshift space distortions for Modified Gravity

  • Consistent treatment of RSD for clustering under scale-dependence and massive neutrinos, still under investigation.
  • In WP6 implemented the minimal extension to IST:F.
  • 1-loop Perturbation theory and EFToLSS is needed, removing Einstein-de Sitter assumption and including scale-dependent terms. Ongoing effort in TWG-WP7.

Euclid: Casas et al, Constraints on f(R) cosmologies ..., (under internal review)

Santiago Casas, Oslo, 23.10.2020

Text

 Problem #6: Inconsistent treatment between observables

  • Usually: Lensing and Clustering observables use different underlying dark matter power spectrum.
    (e.g. Linear, 1-loop, Halofit)
  • Hybrid-Pk method unifies these approaches.
  • Uses Gaussian Streaming Model for RSD.
  • REACT for extensions to LCDM.
  • Calibrated using COLA.

Hybrid P(k), general, unified, non-linear...., Bose, Winther, Pourtsidou, Casas, et al. arXiv: 1911.04391

Santiago Casas, Oslo, 23.10.2020

Text

 Problem #6: Relativistic and "exotic" N-body simulations

  • Models with backreaction and clustering Dark Energy.
  • Non-linearizable couplings. Varying Masses.
  • Connects  mass of neutrino to energy scale of DE.
  • Oscillating Neutrino Structures.
  • Semi-relativistic N-body simulations.

Casas, Pettorino, Wetterich,  arXiv: 1608.02358, PRD94, 103518

Santiago Casas, Oslo, 23.10.2020

Text

Machine Learning for Emulation

  • Few simulations available in Modified Gravity.
  • Represent the complicated structures in a simpler space.
  • Representation Learning.

Methods:

  • Principal Component
    Analysis (PCA)
  • PCA+Gaussian Proceses
  • Dictionary Learning (DL)
  • Optimal Transport
  • Wasserstein DL

Santiago Casas, Oslo, 23.10.2020

Text

Machine Learning for Emulation

  • Few simulations available in Modified Gravity.
  • Represent the complicated structures in a simpler space.
  • Representation Learning.

Methods:

  • Principal Component
    Analysis (PCA)
  • PCA+Gaussian Proceses
  • Dictionary Learning (DL)
  • Optimal Transport
  • Wasserstein DL

Santiago Casas, Oslo, 23.10.2020

Text

Machine Learning for Emulation

Method:

  • PCA+Gaussian Proceses.
  • In new space, representation and therefore, interpolation is simpler.

Preliminary

Santiago Casas, Oslo, 23.10.2020

Text

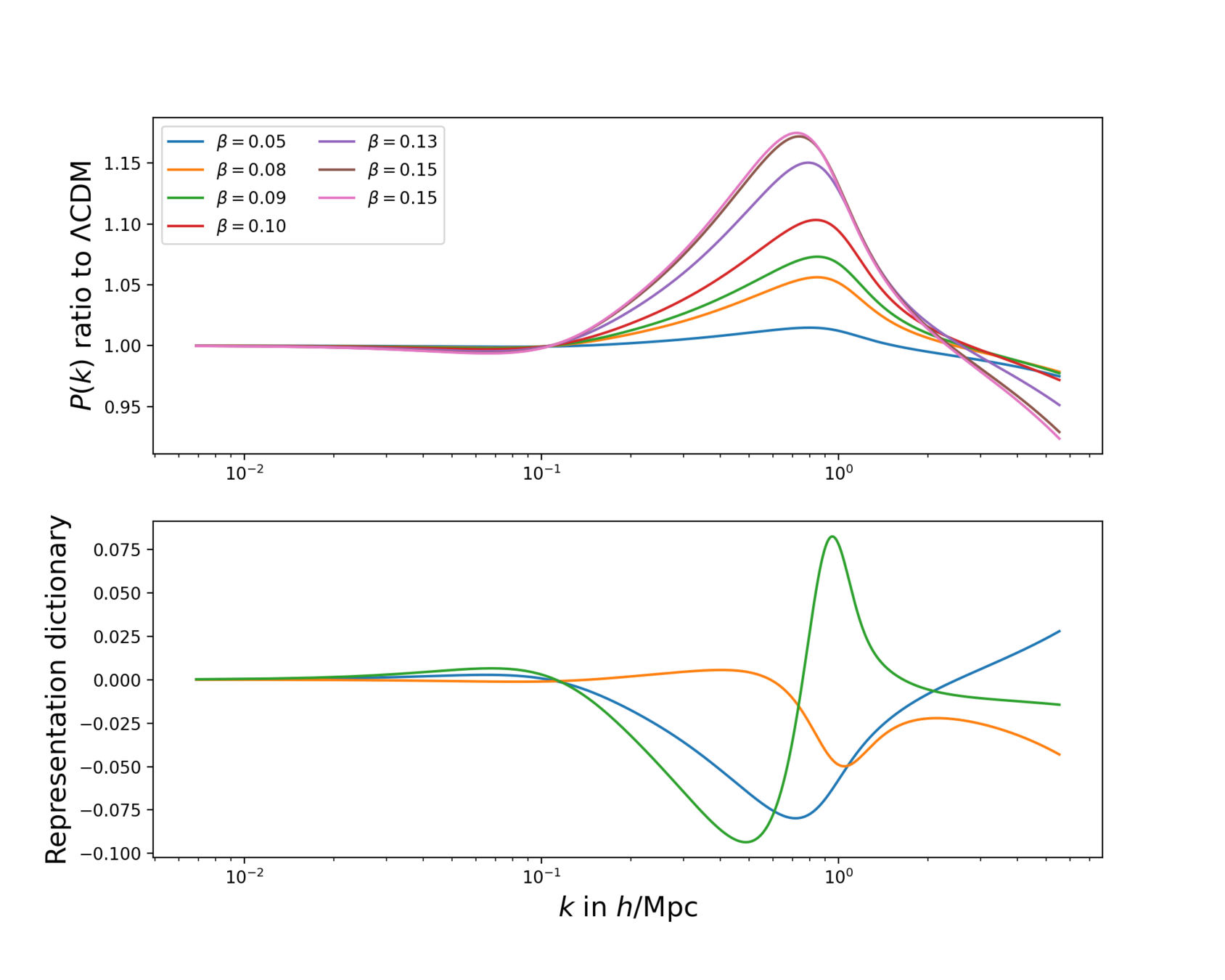
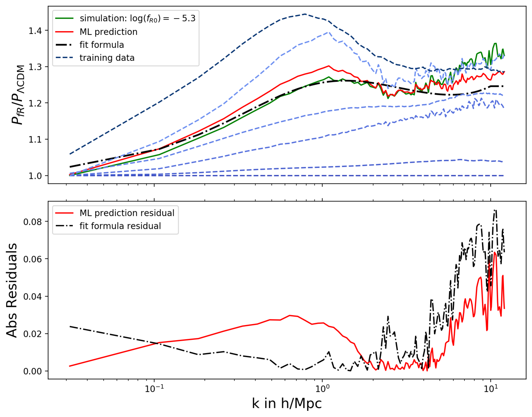
Machine Learning for Emulation

  • f(R) test on N-body
  • Performs similar to fitting formulae, without the need for fine-tuned functions.
  • Performance is dependent on the amount of data.
  • Very preliminary results.

Preliminary

Santiago Casas, Oslo, 23.10.2020

Text

Machine Learning for Emulation

  • Performance is dependent on the amount of data and the noise.

Preliminary

Santiago Casas, Oslo, 23.10.2020

Text

Machine Learning for Emulation

  • User-friendly, general code, to be released this year.
  • Great work by Raphaël Baena on the code implementation and tensor-flow.

Santiago Casas, Oslo, 23.10.2020

Text

Conclusions

  • Euclid and next-generation surveys will be powerful probes for Cosmology.
  • Primary probes: Galaxy Clustering and Weak Lensing
  • The underlying non-linear power spectrum contains most of the information.
  • Great advances in non-linear modelling recently.
  • Many challenges ahead.
  • Especially in models beyond standard \(\Lambda\mathrm{CDM}\).
  • Machine Learning algorithms and hybrid methods could be the way to overcome some of these challenges.

Dark Energy Seminar

By Santiago Casas

Dark Energy Seminar

On the quest for Dark Energy with nonlinear observables in the era of Euclid

  • 284