Santiago Casas, Dr. rer. nat.

Large Scale Structure and the Hubble Parameter

RedH0T Project - IDL WPs

Interview

  santiagocasas                               www.santicasas.xyz        

2006-2010

B.Sc. Physics

Universidad de Costa Rica

2011-2013

M.Sc. Physics

University of Heidelberg

2013-2017

PhD Physics, University of Heidelberg, Institute of Theoretical Physics

2018-2021

Postdoctoral Researcher,

CosmoStat, CEA Paris-Saclay

2024

Postdoctoral Researcher,

Institute of Cosmology and Gravitation, U. Portsmouth

3 Months Internship

Laboratorio Nacional de Luz Sincrotron,

Campinas, Brazil

Tonale Winter School of Cosmology Organizer 2016-2021

Postdoctoral Researcher, Theoretische Teilchenphysik und Kosmologie,

RWTH Aachen U.

2021-2024


RWTH Aachen,

University of Heidelberg

2025
Jan-Jul

My trajectory

  • MICIT scholarship, Universidad de Costa Rica
  • LNLS Brazil scholarship, U. Campinas
  • STAR prize winner 2019
  • Summa cum laude
  • More than 40 seminar talks
  • 5 invited speakers and plenary talks in last 2 years
  • 91 peer-reviewed articles with the Euclid Collaboration, 2 as first author, 25 papers as lead author.
  • 26 papers outside of collaboration
  • Referee for 5 different journals
  • 2 published reviews in cosmology

2025
Jul-

Ontologist

German Aerospace Center (DLR), Scientific Information

Euclid

Credits: www.esa.int/Science_Exploration/Space_Science/Euclid, www.euclid-ec.org, ESA/NASA/SpaceX, Euclid Consortium, ThalesAlenia Space

EC scientist visits Cannes

EC Internal Communication Management

EC Copenhagen 2023:  Builder Status

EC Rome: Plenary Speaker

2 STAR Prizes

Theory-Likelihood package co-lead

2025

CLOE-org Official Maintainer

Theory

Observables

Simulations

The four pillars of cosmology

Statistics

Broad expertise in all pillars

The matter power spectrum

  • Stage-IV Forecasts for non-linear DE: Casas+1703.01271
  • Relativistic N-body, GNQ: Casas+
    1608.02358 
  • Fitting functions from f(R) Nbody: Winther, Casas+1903.08798 

I have expertise on all the different scales!

Likelihoods

Euclid: lnterscience Taskforce on Non-linearities, Key Paper, Carrilho, Casas, in prep.

simulation

wrong theory

CLASS-Oneloop+Montepython

Test of prior-dependence through Analytical Marginalization - DESI settings

  • I am an expert in Fisher Matrices and Bayesian parameter estimation

  • As the go-to person for Fisher matrices: They are nothing else than error propagation!!

  • Still important to test assumptions,  systematics (nuisance) and pipeline robustness!

My pipeline: CosmicJellyFish

Using symbolic-regression emulators + Nautilus IS+NN. Achieve results in ~O(3hr) vs. days

Public Codes

Euclid: Validation of the MontePython forecasting tools, Casas, Lesgourgues, Schöneberg, et al.; 2303.09451 

Authored or contributed

Model-independent constraints

Model-independent determination of gravitational anisotropic stress using: BAO+Cosmic Chronometers+RSD and Lensing and Gaussian Processes

 

Pinho, Casas, Amendola; Model-independent reconstruction of the linear anisotropic stress, ηarXiv:1805.00027 

Amendola, Bettoni, Pinho, Casas; Model-independent measures of gravity at large scales, ηarXiv:1902.06978

Sakr, Zheng, Casas;  Model-independent forecasts for the cosmological anisotropic stress from a combination of Euclid and DESI like surveys: DOI: 10.1093/mnras/staf1111

Model-independent variables, free of assumptions about initial conditions, DM properties:

further reduce dependence on shape of primordial power spectrum:

TOPO-Cobaya

  • Uses hash-functions and merkle-trees
  • Useful for blinding, reducing human-biases, reproducible and mathematically provable verification of output
  • Similar techniques are important if we want to ensure a systematic replication of cosmological analysis

github.com/santiagocasas/topo-cobaya

Casas, Fidler; Time Ordered Provable Outputs arXiv:2411.00072

Reproducible research!

WP3: Sound Horizon angular and comoving scales from galaxy redshift surveys

WP4: Broadband, additional compressed information from LSS surveys

WP5: Full-modeling of LSS statistics

RedH0T Project:

Inverse Distance Ladder

 

RedH0T Project:

Inverse Distance Ladder

 

WP3: Sound Horizon angular and comoving scales from galaxy redshift surveys

WP4: Broadband, additional compressed information from LSS surveys

WP5: Full-modeling of LSS statistics

gain statistical constraining power

activate more model assumptions

increased epistemic risks

systematics could dominate error budget

more nuisance parameters

WP3: Sound Horizon angular and comoving scales from galaxy redshift surveys

WP4: Broadband, additional compressed information from LSS surveys

WP5: Full-modeling of LSS statistics

Ensuring firm footing on assumptions, error propagation, and robustness before increasing model/method complexity

RedH0T Project:

Inverse Distance Ladder

 

WP3: Sound Horizon angular and comoving scales from galaxy redshift surveys

  • Understanding how robust BAO observables are to reconstruction (nonlinear) choices
  • Choice of fiducial cosmology templates
  • Poorly understood effects: relativistic corrections, velocity biases
  • How these choices impact constraints downstream

Main previous experience: Co-leading the full-shape vs. model-independent (BAO+RSD -> projection) approaches of the GCsp probe in the Euclid IST:Forecasting, understanding of h-units

 

Euclid preparation: VII. Forecast validation for Euclid cosmological probes, Blanchard et al. arXiv:1910.09273

RedH0T Project:

Inverse Distance Ladder

 

  • Defining and validating compressed summaries
  • Broadband, RSD, BAO, ShapeFit
  • Define model-independent quantities and project them (including errors) into parameters
  • Explore model-agnostic approaches, Machine-Learning approaches (Gaussian Processes)
  • Understand sensitivity of constraints
  • Create DESI-Euclid likelihoods for compressed obs.

Main previous experience: Model-independent constraints, Linear-point observable, Euclid GC Working Group, Theory extensions of CLOE

 

WP4: Broadband, additional compressed information from LSS surveys

Sakr, Zheng, Casas;  Model-independent forecasts for the cosmological anisotropic stress from a combination of Euclid and DESI like surveys: DOI: 10.1093/mnras/staf1111

RedH0T Project:

Inverse Distance Ladder

 

Euclid: CLOE paper 5: Extensions beyond the standard modelling of theoretical probes and systematic effects; Goh, (incl. Casas), et al.; 2510.09147 

  • Careful study of EFT prior-dependence
  • Unify approaches: non-linear bias treatment, redshift-space implementation
  • Kernel structure beyond LCDM assumptions
  • Unify codes and pipelines: less is more!
  • Mock-challenges but focused on H0
  • Make use of auto-differentiability to properly study nuisances and propagation of errors

Main previous experience: Working on EFTofLSS, TRG, Class-Oneloop, PBJ, IST:Nonlinear, several cosmological inference pipelines, DESI, Euclid forecasts for GCsp, jax-cosmo

 

WP5: Full-modeling of LSS statistics

CLASS-OneLoop: accurate and unbiased inference from spectroscopic galaxy surveys; Linde, Moradinezhad, Rademacher, Casas, Lesgourgues; arXiv:2402.09778 

JAX-COSMO: An End-to-End Differentiable and GPU Accelerated Cosmology Library, Campagne, Lanusse (incl Casas) et al., arXiv:2302.05163

RedH0T Project:

Inverse Distance Ladder

 

Research Data Management ideas

for RedH0T project

  • Always had strong interest for Open and Reproducible Science
    • Open Science Foundation
    • Proper use of Github repos
    • Maintainer of code and documentation
  • At DLR: Road to FAIR (https://www.nature.com/articles/sdata201618)
    • Findable, Accessible, Interoperable, Reproducible
    • https://www.go-fair.org
  • RedH0T project: Red, Blue teams
    • White team needs special care of these aspects. Useful to have a professional documentation and management strategy from the start.
       
  • Topo-Cobaya example of strong reproducibility.
  • Good databases, linkable, clear definitions (almost Ontological)

RedH0T project

 

based on: A tale of many H0; Verde et al.; arXiv:2311.13305v1

idea for a linked database>

Conclusions

Merci!

Profile

  • Senior cosmologist with a strong background in large-scale structure inference and theory. Strong experience in large-collaboration work and leadership roles.

  • Expertise spanning all scales of LSS modeling - from BAO to Full-Shape

  • Focus on robustness, speed, error propagation, and model dependence in Bayesian cosmological inference

Contribution to RedH0T (IDL WP3–WP5)

  • Holistic view of H0 inference across LSS observables

  • Ability to interface between theory, data analysis, and numerical pipelines (community)

  • Primary role: testing assumptions, understanding sensitivity to modeling choices, and quantifying robustness - based on pipeline experience

  • Contributing to consistency and interoperability of IDL deliverables

  • Experience mentoring junior researchers within collaborative projects (3 Bachelors, 6 Master and 1 PhD between RWTH, Saclay, and Heidelberg) -> Synergy team

Further ideas for open discussion

  • Bayesian hierarchical models and likelihood "free" inference: a compromise between likelihood modeling (especially covariance) and forward-modeling all observational effects
  • Prior-sensitivity and assumption-sensitivity map for H0 based on WP3-WP5 probes. What is the possible space?
  • Meta-analysis of error budget for Inverse Distance Ladder
  • Reproducibility studies: Which BAO+RSD+LSS (and other) constraints can be replicated systematically End2End?
  • Variational inference for SNIa+LSS likelihoods
  • Linked interoperable database of all current results
  • Are there possible relationships between DE and H0 tension?
  • More exploration with Dark Sirens and other future probes (cross-WPs) arXiv:2510.08699 
  • Can AI accelerate progress? github.com/santiagocasas/clapp

Backup slides

Future plans and support for future missions

https://www.skao.int/

  • Other surveys:
    • Many opportunities with SKAO, LOFAR, synergies with Radio and Optical cosmology (CEA, OCA, ENS).
    • 21cm IM, Line intensity mapping
    • CMB-S4 (French involvement)
    • LiteBird, SPT/ACT cross Euclid (k. Benabed, S. Galli at IAP)
    • Gravitational Waves, Bright and Dark Sirens cross Galaxy Clustering (Einstein Telescope, LISA).

First forecast for MG using Radio x Optical: Constraining gravity with synergies between radio and optical cosmological surveys, Casas et al (2022), Phys.Dark.Univ. 2210.05705

The power of combining Euclid + CMB-S4: Euclid preparation. Sensitivity to Neutrino parameters. Archidiacono, Lesgourgues, Casas, Pamuk, et al (2024) 2405.06047

Supervision of students

  • 1 PhD student in Heidelberg:
    • Ana Marta Pinho, gravitational slip
  • 2 internship students at CEA :
    • Senwen Deng, inflation-dark-energy
    • Raphael Baena, GP, OT, PCA, emulators.
  • 5 Master students at RWTH Aachen (12 months projects each) :
    • Sabarish V.M. + Sefa Pamuk on MontePython.
    • Dennis Linde + Christian Rademacher: CLASS-1loop.
    • Johanna Schafmeister: accuracy-aware emulators
  • 2 Bachelor students
    • Jakob Kramp: JAX-Variational inference.
    • Yun Ling: Neutrino N-body forecasts.
      Image credits: Yun Ling, Jeppe Dakin,
      CONCEPT code.

Much of this work has been thanks to excellent collaborators and students over the years!

Students moved on to excellent PhDs

Outreach

  • Member of the Euclid Consortium Internal Communications team (ECICOM):
  • EC Education and Public Outreach member (ECEPO):
    • Social media team, manager of @euclidconsortium instagram's account.
  • Funding member of alpha-Cen :  First Central-American association of astrophysics. Webinars, Remote-internships, mentoring, (Virtual) Summer Schools for underrepresented students .
  • Podcasts :  Podcastination (with CosmoStat members)

     
  • Big Think, Starts with a Bang
  • TV-appearances : Teleantioquia y Telemedellin
  • CNRS 80-years anniversary: Euclid stand at Gif-Sur-Yvette.
  • Science Communication Summer School: Alexander von Humboldt Foundation, Berlin, 2021.
    Declaration handed in to German Bundestag, including chapters on inclusion and diversity.

An example of the complexity in analyzing and constraining a cosmological model

Project led by K.Koyama, me and my student Sefa Pamuk

  • Fitting formulae not accurate enough against N-body simulations
  • Emulators / Halo-model strong differences among each other

We can describe general modifications of gravity (of the metric) at the linear perturbation level with 2 functions of scale (\(k\)) and time (\(a\))

Euclid primary observables

Casas, Kunz, Martinelli, Pettorino (2017); Phys.Dark Univ. 18 1703.01271

Updated forecasts for SKAO, LSST(Rubin), DESI : 
Casas
, Carucci, Pettorino,  Camera, Martinelli (2023); Phys. Dark Univ.,  2210.05705;  

\rm{d}s^2 = -(1+2\Psi) \rm{d}t^2 + a^2(t)(1-2\Phi) \rm{d}x^2

Lensing and Clustering

very complimentary probes

What makes Stage-IV galaxy surveys particularly well-suited for testing Modified Gravity?

The power spectrum: summary statistics

  • Fourier transform of 2-point correlation function
  • Linear scales predicted by Einstein-Boltzmann codes
  • Intermediate scales predicted by perturbation theory

Archidiacono, Lesgourgues, Casas et al., Euclid preparation - LIV. Sensitivity to neutrino parameters, 2405.06047

 

  • Dark energy and modify gravity can enhance growth
  • Neutrino suppresses growth
  • Baryonic feedback complicates small scales
  • The power spectrum can be obtained through Galaxy Clustering and Weak Lensing (Euclid probes)
  • Non-linear scales -> expensive simulations, Machine Learning emulators
  • Good agreement between Fisher Matrix (Casas+2023) and MCMCs with MontePython,  synthetic data == model
     
  • Synthetic data is FORGE (MG-Arepo) : observe parameter bias in the estimation.

Weak Lensing, 6years Euclid data,

IST:F validated MontePython likelihoods: github.com/Sefa76/photometric_fofR/ 

G_{\mu \nu} + \Lambda g_{\mu \nu} = 8\pi G T_{\mu \nu}
  • What is \(\Lambda\) ?
  • What is CDM ?

Projet de Recherche: Disentangle neutrinos, modified gravity and nonlinearities using Euclid and cross-correlations with other surveys

DESI cosmological results (2024, 2025) -> Not a cosmological constant?

Casas et al., Euclid: Constraints on f(R) cosmologies from the spectroscopic and photometric primary probes, 2306.11053 

Archidiacono, Lesgourgues, Casas et al., Euclid preparation - LIV. Sensitivity to neutrino parameters, 2405.06047

  • Modified gravity -> increases growth, enhances power spectrum
  • Neutrinos -> suppress growth and power
  • Baryonic feedback -> dissipate clustering
  • Strong degeneracy

Weak Lensing, optimistic, with BCEmu as baryonic-feedback model

  • When baryonic feedback parameters are left free, the situation degrades!
     
  • When estimating lower bound on \(\log f_{R0}\) we quickly hit the prior. Contours are far from Gaussian.
  • Use Bayes ratios to compute prior-independent bounds.
     
  • Large degeneracy in parameter space between cosmology and baryonic parameters, causes projection-effects.
     
  • Used the PROSPECT (Holm+2023) profiling tool to find the profile likelihood: github.com/AarhusCosmology/prospect_public

We included theoretical errors (Audren+2012) to mitigate biases

github.com/Sefa76/photometric_fofR/

B(x_1, x_2) = \frac{b(x_1 \mid d, p)}{b(x_2 \mid d, p)} = \frac{\mathcal{L}(d \mid x_1)}{\mathcal{L}(d \mid x_2)}

Reproducible research!

Forecasting the constraining power of Euclid and other Stage-IV surveys

Code: CosmicFishPie 

S. Casas, M. Martinelli and M. Raveri

S. Pamuk, Sabarish V.M. and friends

github.com/santiagocasas/cosmicfishpie

New pythonic version: I have been main developer on forecasts for:

SKAO (21cm IM), DESI (GCsp), Vera Rubin LSST (3x2photo), Euclid (GCsp+3x2photo), CMB (TT+TE+EE)

F_{\alpha \beta} = \frac{1}{2} f_{\text{sky}} \sum_{\ell} (2\ell + 1) \text{Tr} \left\{ \left[ \mathbf{C}^{\text{fid}}(\ell) \right]^{-1} \left[ \partial_\alpha \mathbf{C}^{\text{th}}(\ell) \big|_{\text{fid}} \right] \left[ \mathbf{C}^{\text{fid}}(\ell) \right]^{-1} \left[ \partial_\beta \mathbf{C}^{\text{th}}(\ell) \big|_{\text{fid}} \right] \right\}

Fisher matrix for the photometric 3x2pt observable in angular space

Recurring Challenge: Modified Gravity in the nonlinear regime

Credit: CoDECS simulations

Simulations of MG are

expensive, need for fitting functions or Emulators.

Baldi (2011);
Casas+(2015) 1508.07208; Winther, Casas+ (2019)1903.08798

Credits: Yun Ling

CONCEPT forecasts,

Ling, Casas, Dakin, in prep.

 

Are neutrino suppressions degenerate with MG enhancements?

Peel+(2018)

What about baryons??

Euclid standard project: f(R)+Mnu
Casas, Parimbelli in prep.

Is the fifth force screened at Halo, Clusters and galaxy level?

G_{\rm eff}=\left(1+ \frac{2\beta^2(\phi_0)}{Z(\phi_0)}e^{-m(\phi_0)r}\right) G_N

Different types of screening:

Chameleon, Damour-Polyakov, K-mouflage, Vainshtein

Review: Testing Screened Modified Gravity; Brax, Casas, Desmond, Elder (2021), 2201.10817.

Can we compute very nonlinear dynamics that backreacts into the Friedmann equation?

Growing Neutrino Quintessence,

Casas, Pettorino, Wetterich (2016), Phys. Rev. D 1608.02358

Ongoing research

\newcommand{\sg}{\ensuremath{\sigma_{8}}} \newcommand{\de}{\mathrm{d}} S = \frac{c^4}{16\pi G} \int{\de^4 x \sqrt{-g} \left[R+f(R)\right]}

Induces changes in the gravitational potentials -> fifth force

Casas et al., Euclid: Constraints on f(R) cosmologies from the spectroscopic and photometric primary probes, 2306.11053 

"Fifth-force" scale for cosmological densities

\(f_{R0}=(5.0^{+ 0.58}_{-0.52} \times 10^{-6})\)

Emulator differences sometimes larger than Euclid error bars

f(R) Hu-Sawicki model

Koyama, Pamuk, Casas et al., Euclid preparation. Simulations and nonlinearities beyond ΛΛCDM. 4. Constraints on f(R)f(R) models from the photometric primary probes, 2409.03524

Archidiacono, Lesgourgues, Casas et al., Euclid preparation - LIV. Sensitivity to neutrino parameters, 2405.06047

Effect of neutrino mass on matter clustering

IST:Forecasting

Recipe, comparison and final Fisher matrices.
One of the few validated Galaxy Clustering + Weak Lensing codes

My main contributions:

Euclid preparation: VII. Forecast validation for Euclid cosmological probes, Blanchard et al. arXiv:1910.09273

Figure of Correlation (FoC), based on:

Casas et al,  (2017) Phys. Dark Univ. 1703.01271

Maintainer of public repository.

Plotting scripts for all the figures.

submission to the arXiv

Future avenues of research

Reproducible research!

Short Term

  • Develop a modern likelihood pipeline that contains emulators for modified gravity, neutrinos and baryonic physics
  • Lead one of the Euclid Data Release 1 Key Project papers on modified gravity and dark energy
  • Thereby helping to understand current cosmological tensions

Medium term

  • Develop cross-correlation likelihoods for N-point statistics with different surveys such as SPT and CMB-Stage-IV (S. Galli, K. Benabed at IAP), 21cm Intensity Mapping with SKAO and Dark/Standard Sirens with Gravitational Waves using Einstein Telescope and LISA (French involvement also at IAP)
  • Make the likelihood pipeline fully automatically-differentiable
  • Investigate the interaction of baryonic physics with modified gravity and neutrinos
  • Go beyond 2-point statistics -> field level with Euclid, DESI and LSST (G. Lavaux, F. Leclerq at IAP)

Longer term

First forecast for MG using Radio x Optical: Constraining gravity with synergies between radio and optical cosmological surveys, Casas et al (2022), Phys.Dark.Univ. 2210.05705

Vera Rubin LSST

Square kilometer array (SKAO)

  • Modelling is very analogous to GCsp, with brightness temperature on top and different biases
  • GCsp-IM Cross-correlation in overlapping bins
  • DESI : Two galaxy samples
  • SKAO: HI Galaxies and 21cm-IM

\(P^{\rm IM}(z,k) = \bar{T}_{IM}(z)^2 \rm{AP}(z) K_{\rm rsd}^2(z, \mu; b_{\rm HI}) \)
\(FoG(z,k,\mu_\theta) \\ \times P_{\delta\delta,dw}(z,k)  \)

\( K_{\rm rsd}(z, \mu; b_{\rm HI}) = [b_{\rm HI}(z)^2+f(z)\mu^2] \)

\( b_{\rm HI}(z) = 0.3(1+z) + 0.6 \)

\( \bar{T}_{\mathrm{IM}}(z)= 189h \frac{(1+z)^2 H_0}{H(z)}\Omega_{HI}(z) \,\,{\rm mK} \)

\(\Omega_{HI}  = 4(1+z)^{0.6} \times 10^{-4} \)

Carucci et al (2020) 2006.05996

Jolicoeur et al (2020) 2009.06197

\(P^{{\rm IM} \times \rm{g}}(z,k) = \bar{T}_{\rm IM}(z) {\rm AP} (z) r_{\rm IM,opt}  K_{\rm rsd}(z, \mu; b_{\rm HI}) \)
\( \times K_{\rm rsd}(z, \mu; b_{\rm g}) FoG(z,k,\mu_\theta) P_{\delta\delta,dw}(z,k) \)

\( \times \exp[-\frac{1}{2} k^2 \mu^2 (\sigma_{\rm IM}(z)^2+\sigma_{\rm sp}(z)^2)]  \)

SC, Carucci, Pettorino et al (2022) 2210.05705

Brightness temperature of 21cm emission line

Fraction of neutral hydrogen in the Universe

CosmicFish in the beyond-\(\Lambda\)CDM sea

Casas, Rubio, Pauly et al., 1712.04956 

Higgs-Dilaton inflation: early-late Universe connection

Constraints on Hu-Sawicki \( f(R)\)

Casas, Amendola, Baldi, Pettorino et al., 1508.07208

Coupled Quintessence: DM-DE

Surviving Horndeski EFT

Frusciante, Peirone, Casas, Lima, 1810.10521

Modified Gravity with SKA 21cm-IM

Casas, Cardone, Sapone, et al., 2306.11053 

Casas, Carucci, Pettorino et al 2210.05705 

Atayde, Frusciante, Bose, Casas, Li, 2404.11471 

Forecasts for generalized Cubic Galileons

Important: Take decisions, is it worth analyzing with data?

MCMC sampling with MontePython

Are Fishers a good approximation to the posterior?

in presence of neutrinos

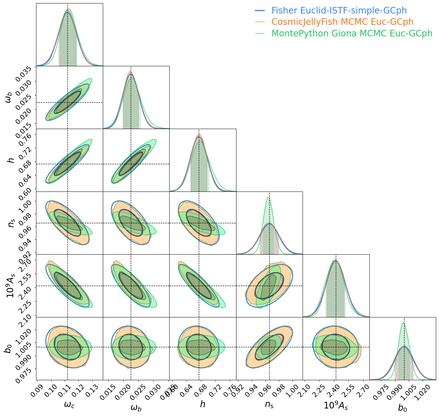
  • TTK Aachen group: developed Euclid photometric and spectroscopic likelihoods for MontePython.
  • Validated likelihoods against CosmicFish Fishers, 4 different settings: CAMB/CLASS.

Euclid: Validation of the MontePython forecasting tools, Casas, Lesgourgues, Schöneberg, et al.; 2303.09451 

Euclid: Sensitivity to neutrino parameters , Archidiacono, Lesgourgues, Casas, et al.; 2405.06047

w0waCDM

MCMC sampling with MontePython

First up-to-date MCMC forecasts for Euclid+external probes in presence of neutrinos

  • TTK Aachen group:  developed Euclid photometric and spectroscopic likelihoods for MontePython.
  • Validated likelihoods against CosmicFish Fishers, 4 different settings: CAMB/CLASS.
  • MCMC Metropolis-Hastings forecasts to test neutrino sensitivity + CMB + clusters.
  • Careful consideration of neutrino effects in solvers.

Euclid: Validation of the MontePython forecasting tools, Casas, Lesgourgues, Schöneberg, et al.; 2303.09451 

Euclid: Sensitivity to neutrino parameters , Archidiacono, Lesgourgues, Casas, et al.; 2405.06047

Vera Rubin LSST

Radio x Optical Cosmology

SC, Carucci, Pettorino et al (2022) 2210.05705

  • WL is better at measuring \(\Sigma\) (40% relative error)
  • GC is better at measuring \(\mu\) (20% relative error)
  • SKAO-all-probes constrains at 3-5% relative error
  • At Planck best fits
  • DESI(GCsp)xSKAO(IM) helps in \(h, \sigma_8\) but not in MG parameters
  • Combination of SKAO + one Stage-IV probe is as good as two Stage-IV
  • Different noise and systematics -> break degeneracies

Euclidean Timeline

Joined Interscience Taskforce on Forecasting

2015

STAR prize co-winner, plenary talk

2019

2019

2019

Core member, developer and reviewer of Interscience Taskforce on Nonlinearities and Likelihood

2019

Coordinator of pre-launch Key-Project on beyond standard models

2021

2 Key-papers co-lead

2022

Become Euclid Consortium (EC) member, Theory Science Working Group

2014

Joined EC Internal Communication Management

2023

EC Copenhagen: Achieved Builder Status

2023

EC Rome: Plenary Speaker

STAR prize for EC-Communication

2024

Theory-Likelihood package co-lead

2024

Theory Work Package Forecasting co-lead

nomination STAR prize PhD

2018

EC
social media manager

2025

CLOE-org Maintainer

Galaxy Clustering

Express the excess probabilty of finding another galaxy as a function of scale

Euclid: Fast two-point correlation function covariance through linear construction, Keihänen et al. (2022)

Measured galaxy power spectrum multipoles from mocks. Pezzotta et al. 2024. Compared to a EFToLSS model.

Neutrinos

Weak Lensing

tomography: multiple redshift bins and their cross-correlations

\(z\)

Euclid. I. Overview of the Euclid mission, Euclid collaboration, Mellier et al., 2405.13491

Neutrinos

Neutrinos

Neutrinos

Neutrinos

DESI

In a nutshell: Measure a geometric scale that was imprinted on LSS at recombination

https://data.desi.lbl.gov/doc/papers/

Another tension we need to explain?

spectroscopic probe: Full Shape

Linde, Moradinezhad, Rademacher, SC, Lesgourgues (2402.09778)

  • Trade-off: larger error bars, more accuracy, less biasing
  • Compared against IST:F model at different scales
  • Many free parameters, good fit to ABACUS simulations

Tensions

Tensions IN \(\Lambda\)CDM

\(H_0\) tension at 5\(\sigma\)

  • Tensions between local and sound-horizon-based measurements

Freedman et al

SH0ES, Riess et al

Planck 2018, VI

Credits: Yun Ling

CONCEPT N-body simulation, in red Dark Matter, in green-blue neutrinos. Ling, Casas, Dakin, in prep.

The Large Scale Structure of the Universe

  • Cosmic web, filaments, halos
  • Dark matter 
    clusters strongly, backbone of galaxy formation
  • Neutrinos 
    free stream below certain scales
  • Theory of gravity and physics predict this cosmic web
  • Need very expensive N-body simulations
  • Cannot compare 
    theory vs. observations point
    by point ->
    need
    summary!

Tension with Planck in the
\(\sigma8\) - \(\Omega_m\) plane

Lange et al. arXiv: 2301.08692

  • \( S_8 = \sigma_8 \sqrt{\Omega_{m,0}/0.3} \)
  • So called "lensing is low" problem or S8 problem.
  • At the moment just a discrepancy (no tension) at 2-3 \(\sigma\)
  • Blind comparisons among surveys can rule out usual systematics below z<0.54 (A. Leauthaud et al.)
  • Beyond \(\Lambda\)CDM modelling does not help with current nonlinear analysis

Planck 2018, VI

DES DRY3 arxiv:2207.05766

Tensions IN \(\Lambda\)CDM

Beyond Gaussian, non-Gaussianities

voids, filaments, walls, knots

 

Minkowski functionals

Bispectrum

Approximate Bayesian Compuation

Euclid's 3x2pt data vector:

~12200 entries long

30 ell-bins

13 n_z bins

GG, GL, LL

 

DELFI: Denisty estimation likelihood-free inference

Projet de Recherche

Bayesian NN with Schafmeister

https://github.com/schafmeister/bayesian_nn

Stage V:

Backup slides

RedH0t interview

By Santiago Casas

RedH0t interview

Santiago Casas, Cosmologist

  • 116