Pre-start


Announcements
- Assignment philosophy...I was told by my superiors "Shay can do things however he feels most comfortable"
- Mistakes + corrections = learning
- Mistakes + no incentive to make corrections = punishment?
- Not sure how this promotes learning or trying new things?
- Slide below!
- Homework 2...
- Comments! Here for questions & CONCERNS! :)
- Homework 3: https://elec548.github.io/Assignments/hw3.html
- Final Project comments!
Example!
- Problem 2c of homework 2
- Multiple ways to do it as long as it's justified and clearly explained; however, a given and expected answer that's most commonly done which is what people would look for MAY NOT be the only one!
- Homework 2 plotting tuning curves & fano factors (idk about vals)


Neural Signal Processing & Machine Learning
ELEC/BIOE 548 | ELEC 483
Fall 2022
Episode 14: Finish Classifying! Perhaps begin clustering things?

1
Introduction. Class & brains
2
Fundamental neurobiology. How do neurons fire? How/what do we record?
3
Modeling spike trains. First bit of analysis work and understanding firing properties of neurons.
5
Classification. Making machines learn. Which direction is a monkey trying to reach? Bayesian decoding.
4
Point processes. Continued modeling work of neurons.
6
Clustering/Mixture models. Making machines learn some more. Spike sorting.
Bi-weekly Schedule
7
Continuous decoding. Kalman filters. Machines continue to learn.
8
Spectral analysis? LFP interpretation in spectral domain. But also kinda in clustering.
Brain Signals!
-
How can we measure neural activity?
-
What info do neurons encode in trains of action potentials (“spike trains”)?
-
How can we model “statically” encoded information?
-
Estimation/”decoding”
-
Signal conditioning – “spike sorting” (PCA, Expectation-Maximization)
-
How can we model/decode “dynamic” information? (filtering, Kalman, HMM)
-
Beyond spike trains (LFP, EEG, imaging)
The Journey
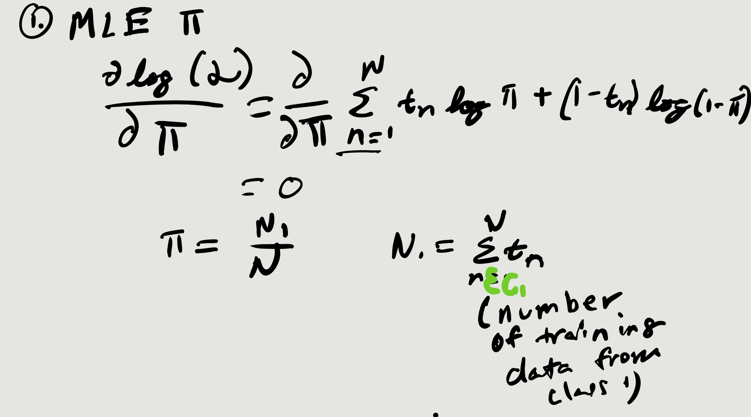
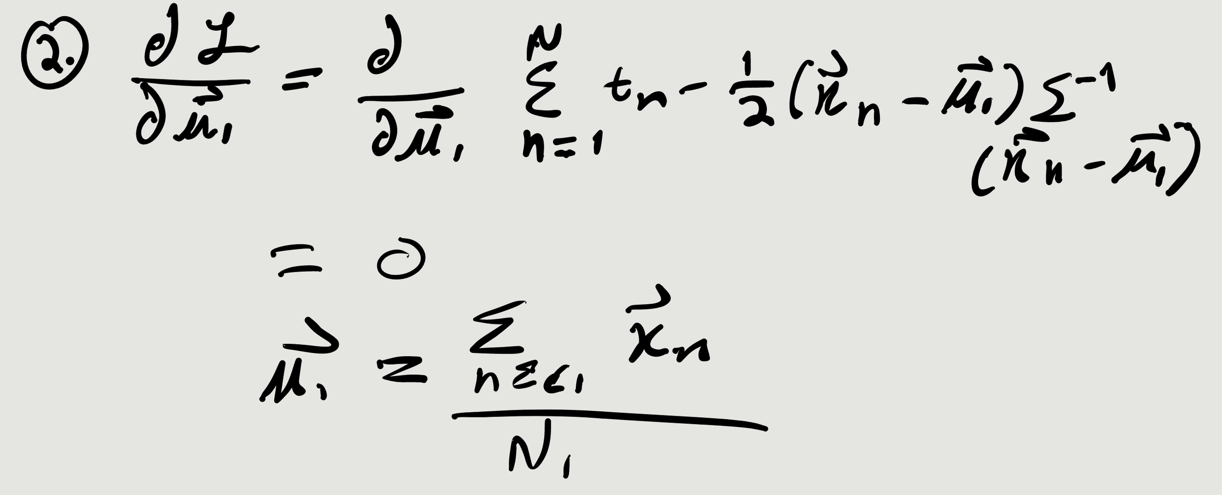
- Recognizing patterns and making machines learn!
- Chapter 4. Classification!

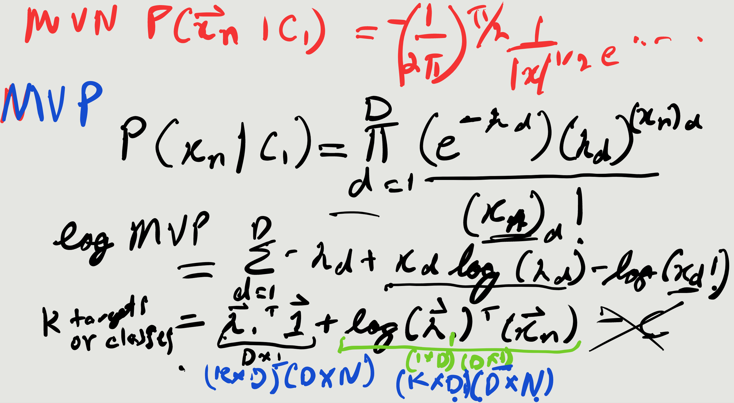
Monkey Reach Task















K = num targets/classes
N = num trials
D = num neurons
\((x_n)_d!\)
ELEC548 Lec14
By Shayok Dutta
ELEC548 Lec14
- 256