Quasi-resonant collisions:
a kinetic setting for bi-temperature modeling
WASCOM
June 12, 2025
\(\phantom{x}^*\)CERMICS, École des Ponts, France

a peculiar polyatomic Boltzmann model
\(f \equiv f_{t,x}(v, I)\) density of molecules
the polyatomic Boltzmann equation
with internal energy levels description
Boltzmann equation:

Conservation laws

Collision operator:
(momentum)
(total energy)
\(\textcolor{green}{B \equiv B(v,v_*, \sigma,I,I_*, I',I'_*)} > 0 \iff \) the collision is possible \(\iff \Delta \geq 0\)
Collision kernel:
total energy

\(f \equiv f_{t}(v, I)\) density of molecules
the space-homogeneous
polyatomic Boltzmann equation
Boltzmann equation:

Equilibrium distribution :
(momentum)
(total energy)

total energy
Conservation laws
















quasi-resonant collisions
\(\bullet\) What and why
\(\bullet\) How
\(\bullet\) Characteristics

Conservation laws
(momentum)
(internal energy)
(kinetic energy)
(total energy)
separately
kinetic + internal
exactly
resonant
collision
approximately
quasi-resonant
collision
Observed experimentally, e.g. \(\mathrm{CO}_2\)
Polyatomic Boltzmann model with a collision kernel with restricted support
to select only quasi-resonant collisions
- Boltzmann model where at "all times'' the solution is close to a two-temperature Maxwellian
- Derivation of an ODE system on the two temperatures: Landau-Teller relaxation system
explicit computations
unique feature of quasi-resonant
resonant
possible collisions
The model of resonant collisions as singular restriction of the support of the collision kernel \(B\)
Equilibrium:
two distinct temperatures

(separation kinetic/internal)
kinetic
temperature
internal
temperature
\(\equiv\) support of the collision kernel \(B\)
Our model for quasi-resonant collisions as tight restriction of the support OF THE COLLISION KERNEL \(B\)

Equilibrium:
two distinct temperatures
same
temperature
one single temperature
quasi-resonant
possible collisions
\(\equiv\) support of the collision kernel \(B\)
Expected behaviour of the quasi-resonant dynamics
time
short time
long time
relaxation towards a
two-temperature
Maxwellian
- the solution (almost) remains of two-temperature Mawellian shape
- the kinetic (\(\textcolor{blue}{T_k}\)) and internal (\(\textcolor{blue}{T_i}\)) temperatures relax towards each other, (almost) following Landau-Teller ODE system \((LT)\)
(1)
(2)
(2)
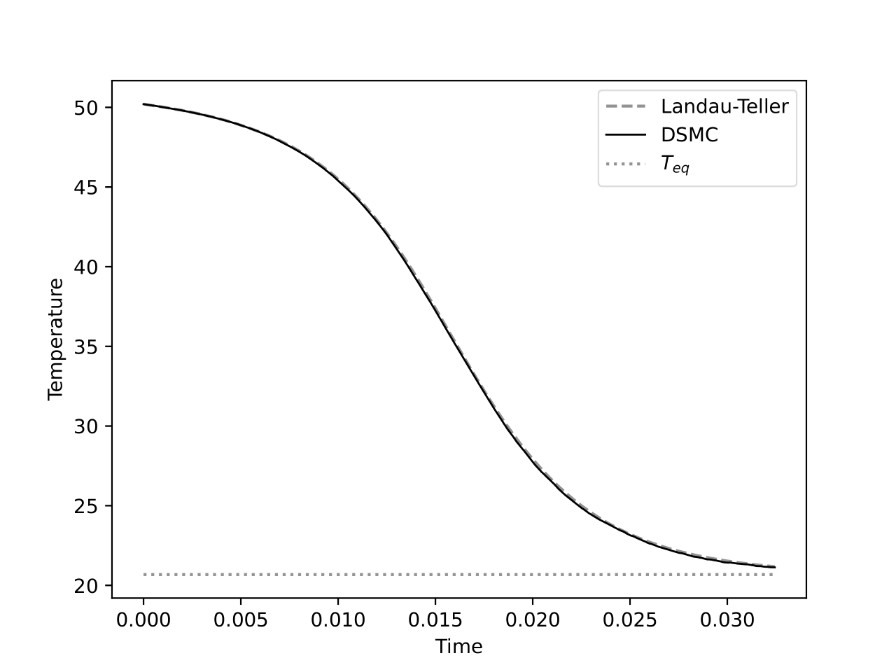
Long-time behaviour: Landau-Teller relaxation of (\(\textcolor{blue}{T_k}\)) and (\(\textcolor{blue}{T_i}\)) towards each other

Numerical experiment
- Simulation of quasi-resonant Boltzmann with DSMC
- Solving of Landau-Teller ODE system
- Comparison of \(T_i\) and \(\overline{T}_i\) to check if indeed
get \(T_k\) and \(T_i\)
Parameters
Thank you for your attention!


TB, Boudin, Mathiaud, Salvarani: A kinetic model for polyatomic gas with quasi-resonant collisions leading to bi-temperature relaxation processes, preprint (2025).
- Rigorous proof that \(f_t\) close to two-temperature maxwellian at all times
- Obtention of Landau-Teller-type equation for general kernels
Perspectives
Presentation Wascom
By Thomas Borsoni
Presentation Wascom
- 96