Le produit scalaire

Un cours présenté par Antoine AUER et Vincent MONARD

Définition

Le produit scalaire est une opération algébrique s'appliquant aux vecteurs. Il permet de calculer un angle, une distance entre deux vecteurs.

Étant donnés des points O, A et B, on considère les vecteurs OA et OB.

Lorsque ces vecteurs sont non nuls le produit scalaire est le nombre réel

OA.OB = OA x OB x cos(α)

où α représente une mesure de l'angle géométrique AÔB.

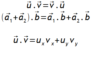
Propriétés

Norme d'un vecteur

Si A et B  sont deux points du plan ou de l'espace usuel, la norme du vecteur AB est la distance AB c'est-à-dire la longueur du segment [AB].

On écrit :

Vecteur unitaire

Un vecteur unitaire est un  vecteur dont la norme est égale à 1.

Démonstration

Utilisation

Comment prouver qu'un point P1 ou P2 est devant ou derrière une droite (d) ?

Utilisation

Est ce qu'un point P appartient à (d) ?

Utilisation

En connaissant les coordonnées du point P appartenant à (d), retrouver l'équation de (d) sous la forme : ax + bx + c = 0

Fin de la présentation

Franchement, c'était stylé !

Le produit scalaire

By Vincent Darmon

Le produit scalaire

Présentation rapide du produit scalaire

  • 585