Paths and Circuits

yennnn

歐拉路徑與歐拉迴路

歐拉路徑

Eulerian path

恰經過圖的每一邊一次的路徑

歐拉迴路

Eulerian circuits

起點和終點相同的歐拉路徑

存在條件

無向圖

  1. 必須是連通圖
  2. 點度:
    • 所有點的度數是偶數
      • 此時的歐拉路徑為歐拉迴路
    • 或恰存在兩個點度數為奇數
      • 此時只存在歐拉路徑不存在歐拉迴路
      • 歐拉路徑的起終點為兩個奇度點

存在條件

有向圖

  1. 必須是連通圖
  2. 點度:
    • 所有點的入度==出度
      • 此時的歐拉路徑為歐拉迴路
    • 或恰存在一點的入度 == 出度 + 1          且另一點的出度 == 入度 + 1                  且其他點的入度==出度
      • 此時只存在歐拉路徑不存在歐拉迴路
      • 歐拉路徑的起點在出度較大的點,且終點在入度較大的點。

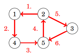
Hierholzer's Algorithm

以dfs找歐拉路徑

Paths_and_Circuits

By yennnn

Paths_and_Circuits

  • 409