Ingénieur R&D dans le domaine maritime
+
SYROCO
Baptiste LABAT







Prise de conscience écologique





1986 : catastrophe de Tchernobyl
1988 : création du GIEC
1989/1991 : chute du mur de Berlin/de l'URSS et fin de la guerre froide
1992 : sommet de Rio (biodiversité, changement climatique, désertification)
1995 : preuves du lien entre réchauffement climatique et activités humaines. 1ère COP
1997 : protocole de Kyoto (gaz à effet de serre)
1999 : marée noire Erika
2002 : développement durable (eau, énergie, productivité agricole)
2003 : guerre en Irak
2006 : pic du pétrole conventionnel
2011 : guerre en Libye
2012 : accident nucléaire de Fukushima
2012 : économie verte
2015 : COP21
Anthropocène
SIREHNA
Dynamic positioning
Dynamic simulation
Heading keeping autopilot
Track keeping autopilot
Roll stabilization
Helicopter landing





Devenir zadiste ?

Nautilabs : congé création entreprise



Renewable energy ressources

Mean wind speed at 100m
8m/s for 4.4kWh/m2 (Betz's law)
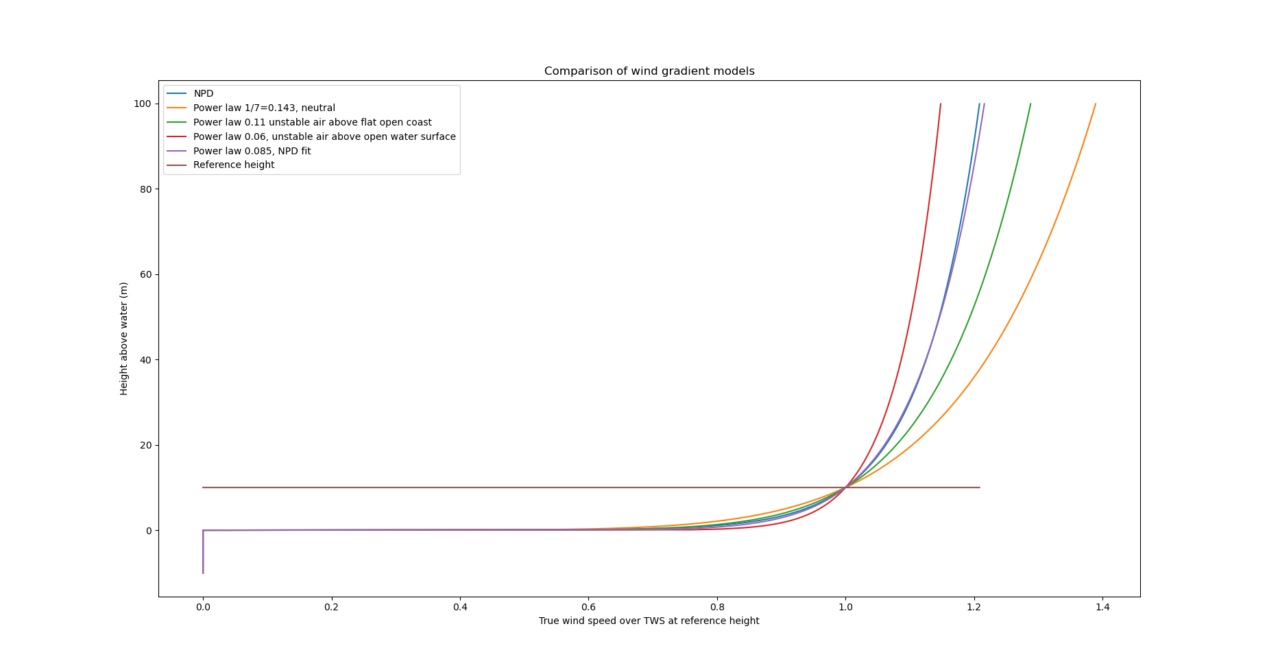
Wind gradient
Subtitle


Robokite
SIREHNA II




Airseas


Outils











Plane
Train
Wind turbine
Airborne Wind Energy
Boat
Offshore wind turbine
Sailboat
Foiling boat
Aile d'eau
Dual Aircraft Platform
Dynamic soaring












Energy
production
Energy
consumption

Doubts
- Setting our limits
- Greenwashing
- Insider/Outsider
About me
By Baptiste LABAT
About me
- 97



