Модальные типы для увеселения
и профита
Александр Грызлов
Statebox
Scaλa Russia 2019
Москва, 28/09/2019
план
1
инженерия доказательств
модальная логика
3
системы модальных типов
эффекты и линейные типы
продвинутые системы:
Granule и Blott
2
теория доказательств
лямбда-исчисление
финал
инженерия доказательств
- пересечение software engineering и прикладной логики
- хотим иметь доказанно "работающие" программы
- условно 3 основные ветви:
- верификация существующих программ или их моделей
- написание корректных по построению программ
- формализация математики/процессов/..
модели и верификация
- проверка моделей (model checking)
- автоматизируемо, "легковесно" но плохо масштабируется
- SAT/SMT, темпоральная логика, методы оптимизации
- программные логики а-ля Флойд-Хоар
- сепарационная логика, динамическая логика
- аннотирование переходов у фон Неймановского автомата

Карри-Говард
- выше логика - некий отдельный от верифицируемой программы язык спецификаций
- можем ли мы сделать логику частью программы?
- да, используя соответствие Карри-Говарда:
- типы ~ теоремы/высказывания в конструктивной логике
- программы ~ доказательства в этой логике
корректность по построению
- "продвинутое" ФП
- зависимые и refinement типы
- в частности, верифицированные языки (т.е. интерпретаторы и компиляторы)
- мы можем "погрузить" систему типов (т.е. логику) в индексы на типах зависимого хост-языка
- компилятор следит за корректностью термов, т.е. соответствие типовой спецификации

"доменная" ИД
использование корректных/логических инструментов для моделирования и формализации чего-то кроме программ:
- математические доказательства
- бизнес-процессы
- ...

модальные логики
- модальность выражает "режим истинности"
- происходит из философии и лингвистики (ср. модальные глаголы)
- в современном виде придумана Льюисом (1920e, необходимость) и Гёделем (1930е, доказуемость)
- ФП, как и логику, критикуют за разрыв с "реальным миром", модальности кодируют DSL внутри логики
- модальные логики налагают дополнительные ограничения на использование переменных и формы контекстов
разновидности
- алетическая (необходимо/возможно)
- темпоральная (потом/всегда)
- эпистемическая (известно)
- деонтическая (обязательно/разрешено)
- доксастическая (верим в)
- динамическая (A обязательно после B)
- доказательств
- аксиологическая (хорошо/плохо)
- пространственная
- стрелочная
алетическая логика
две модальности:
◻ (необходимо) и ◊ (возможно)
- грубо говоря, комонада и монада
- аналоги кванторов ∀ и ∃
- часто рассматривают только "необходимость"
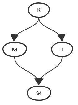
предпорядок систем (от аппликатива до комонады):

темпоральная логика
набор модальностей в зависимости от формулировки:
- ◯ - (будет верно) в следующий момент
- ◻ - всегда
- ◊ - (станет верным) в некоторый момент
- A▹B - сначала будет верно А, затем B
применения модальной логики
- благодаря разрешимости сильнее всего развита для модел чекеров (в основном темпоральная) и программных логик
- TLA+, SPIN, NuSMV, CADP,...
- Facebook Infer (сепарационная)
- полезна для математики, будучи реализованной внутри пруф-ассистента
- но как реализовать её конструктивно, т.е. в качестве системы типов?
конец 1 части
3 ветви инженерии доказательств:
- модели и программная логика
- корректность по построению
- "доменные" доказательства
модальная логика:
- алетическая
- темпоральная
теория доказательств
- ветвь математической логики
- берет начало в 1920х, часть программы Гильберта:
- закодировать математическое мышление как конечную механизированную систему
- доказать непротиворечивость этой системы
- ПРОФИТ

теория доказательств
- мечтам не было суждено сбыться из-за теорем о неполноте Гёделя:
- любая подобная система будет либо противоречивой, либо неполной
- изучение формальных систем всё еще важно для программирования:
- нормализация/устранение сечений (cut) как вычисление
- соответствует FP - поиск доказательства как вычисление
- соответствует LP

структурная теория доказательств
3 вида систем:
- аксиоматические системы Гильберта (комбинаторы)
- натуральная дедукция (лямбды)
- исчисления секвенций (абстрактные машины)
(2 и 3 были изобретены Герхардом Генценом в 1930х)

секвенции & правила
доказательства строятся из применений правил
строительный блок правила называется секвенцией:

- позволяет записывать классические логики
- нас интересует только интуиционистское подмножество, т.е. секвенции с единственной формулой в правой части:

секвенции & правила
- правила указывают как превратить набор секвенций в новую секвенцию:

- когда мы рассматриваем правила как шаги вычислений, они читаются снизу вверх
- списки формул в левой части (так называемые контексты) обычно обозначают большими греческими буквами:

естественная дедукция
- запишем правила минимальной логики высказываний:
- у нас есть только набор примитивных формул (или даже только одна), переменные А, B, .. и импликация =>

аксиома интродукция элиминация
Idris
практически Scala:
- строгость
- имплициты
- отсутствие когерентности у интерфейсов (аналог тайпклассов)
но:
- хаскелеобразный синтаксис
- есть полноценные завтипы
унарные числа & списки
data List : Type -> Type where
Nil : List a -- aka `[]`
(::) : a -> List a -> List a -- aka `Cons`data Nat : Type where
Z : Nat
S : Nat -> Natвхождение в список
стерев индексы, получим снова унарные числа
data Elem : a -> List a -> Type where
Here : Elem x (x::xs)
There : Elem x xs -> Elem x (y::xs)--elem2Nat : {a : t} -> {g : List t} -> Elem a g -> Nat
elem2Nat : Elem a g -> Nat
elem2Nat Here = Z
elem2Nat (There el) = S (elem2Nat el)
конструктивное доказательство вхождения это номер элемента
минимальная логика это типизированная лямбда
открыто Вильямом Говардом в 1969

Var :
Elem a g ->
Term g aLam :
Term (a::g) b ->
Term g (a~>b)App :
Term g (a~>b) ->
Term g a ->
Term g b
индексы деБрёйна
aka "глобально безымянное" представление
λx.x ~ λ 0
λx.λy.y ~ λ λ 0
λx.λy.x ~ λ λ 1
λx.λy.(x y) ~ λ λ (1 0)
λx.λy.λz.x ~ λ λ λ 2

типизированная лямбда
infixr 5 ~>
data Ty = A | (~>) Ty Ty
data Term : List Ty -> Ty -> Type where
Var : Elem a g -> Term g a
Lam : Term (a::g) b -> Term g (a~>b)
App : Term g (a~>b) -> Term g a -> Term g b
IdTy : Ty
IdTy = A ~> A
-- ((λx.x) (λx.x)) (λx.x)
Term1 : Term [] IdTy
Term1 = App (App (Lam $ Var Here) (Lam $ Var Here)) (Lam $ Var Here)
-- (λx.x) ((λx.x) (λx.x))
Term2 : Term [] IdTy
Term2 = App (Lam $ Var Here) (App (Lam $ Var Here) (Lam $ Var Here))
-- λx.x
Result : Term [] IdTy
Result = Lam $ Var Here конец 2 части
- теория доказательств
- естественная дедукция
- списки и индексы
- (просто типизированное) лямбда-исчисление
модальная теория доказательств
начнем с фрагмента алетической логики, т.е., единственной модальности ◻
диадические модальные типы
- двухконтекстная интерпретация
- разделим наши контексты/предпосылки на истинные и валидные:
- A валидно, если ⋅⊢A
- если A валидно, то Γ⊢A
- отсюда мы можем вывести правила интродукции и элиминации для ◻-модальности (для системы К):

диадические модальные типы
infixr 5 ~>
data Ty = A | (~>) Ty Ty | Box Ty
data Term : List Ty -> List Ty -> Ty -> Type where
Var : Elem a g -> Term d g a
Lam : Term d (a::g) b -> Term d g (a~>b)
App : Term d g (a~>b) -> Term d g a -> Term d g b
Shut : Term [] d a -> Term d g (Box a)
Letbox : Term d g (Box a) -> Term (a::d) g b -> Term d g b
axiomK : Term d g (Box (a ~> b) ~> Box a ~> Box b)
axiomK = Lam $ Lam $ Letbox (Var $ There Here)
(Letbox (Var Here)
(Shut $ App (Var $ There Here) (Var Here)))диадические модальные типы (S4)
data Term : List Ty -> List Ty -> Ty -> Type where
Var : Elem a g -> Term d g a
MVar : Elem a d -> Term d g a
Lam : Term d (a::g) b -> Term d g (a~>b)
App : Term d g (a~>b) -> Term d g a -> Term d g b
Shut : Term d [] a -> Term d g (Box a)
Letbox : Term d g (Box a) -> Term (a::d) g b -> Term d g b
axiomK : Term d g (Box (a ~> b) ~> Box a ~> Box b)
axiomK = Lam $ Lam $ Letbox (Var $ There Here)
(Letbox (Var Here)
(Shut $ App (MVar $ There Here) (MVar Here)))
-- aka `eval`
axiomT : Term d g (Box a ~> a)
axiomT = Lam $ Letbox (Var Here) (MVar Here)
axiom4 : Term d g (Box a ~> Box (Box a))
axiom4 = Lam $ Letbox (Var Here) (Shut $ Shut $ MVar Here)модальные типы Фитча-Крипке
- соответствует семантике возможных миров Крипке
- мир это контекст
- у нас есть текущий контекст и стек возможных
- интродукция ◻ это выбор верхнего мира из стека
- элиминация ◻ это сохранение текущего мира на стек

модальные типы Фитча-Крипке
в интерпретации Фитча вместо стека контекстов используется контекст с замка́ми:

- несложно показать что эта структура изоморфна непустому списку контекстов
- замок соответствует границе соседних контекстов
- формальное доказательство в репозитории
модальные типы Фитча-Крипке
data Term : List (List Ty) -> List Ty -> Ty -> Type where
Var : Elem a g -> Term ph g a
Lam : Term ph (a::g) b -> Term ph g (a~>b)
App : Term ph g (a~>b) -> Term ph g a -> Term ph g b
Shut : Term (g::ph) [] a -> Term ph g (Box a) -- ~quasiquote
Open : Term ph g (Box a) -> Term (g::ph) d a -- ~unquote0
axiomK : Term ph g (Box (a ~> b) ~> Box a ~> Box b)
axiomK = Lam $ Lam $ Shut $ App (Open $ Var $ There Here)
(Open $ Var Here)модальные типы Фитча-Крипке (S4)
data Pref : a -> List a -> a -> List a -> Type where
HereP : Pref x xs x xs
ThereP : Pref x xs y ys -> Pref x xs z (y::ys)
data Term : List (List Ty) -> List Ty -> Ty -> Type where
Var : Elem a g -> Term ph g a
Lam : Term ph (a::g) b -> Term ph g (a~>b)
App : Term ph g (a~>b) -> Term ph g a -> Term ph g b
Shut : Term (g::ph) [] a -> Term ph g (Box a) -- ~quasiquote
Open : Pref g ph d ps -> Term ph g (Box a) -> Term ps d a -- ~unquoteN
axiomK : Term ph g (Box (a ~> b) ~> Box a ~> Box b)
axiomK = Lam $ Lam $ Shut $ App (Open (ThereP HereP) (Var $ There Here))
(Open (ThereP HereP) (Var Here))
axiomT : Term ph g (Box a ~> a)
axiomT = Lam $ Open HereP (Var Here)
axiom4 : Term ph g (Box a ~> Box (Box a))
axiom4 = Lam $ Shut $ Shut $ Open (ThereP $ ThereP HereP) (Var Here)полярные модальности
- можно пойти дальше и заметить, что обе интерпретации взаимосвязаны
- возможно построить обобщенное исчисление
- работает только для "алетикообразных" логик
- классический пример полярных структур - положительные A⊕B и отрицательные A&B произведения (туплы)
- одинаковая интродукция, но различная элиминация:
-- элиминация паттерн-матчингом
let (a, b) = a⊕b in foo a b
-- элиминация проекциями
let a = fst a&b in foo a
let b = snd a&b in bar bполярные модальности
...
Letbox : Term d g (Box a) -> Term (a::d) g b -> Term d g b
axiomK : Term d g (Box (a ~> b) ~> Box a ~> Box b)
axiomK = Lam $ Lam $ Letbox (Var $ There Here)
(Letbox (Var Here)
(Shut $ App (MVar $ There Here) (MVar Here)))в диадической интерпретации мы "паттерн-матчим" содержимое коробки:
...
Open : Pref g ph d ps -> Term ph g (Box a) -> Term ps d a
axiomK : Term ph g (Box (a ~> b) ~> Box a ~> Box b)
axiomK = Lam $ Lam $ Shut $ App (Open (ThereP HereP) (Var $ There Here))
(Open (ThereP HereP) (Var Here))в Крипке-Фитча мы "проецируем" нужный контекст:
применения модальных типов
- стейджинг/метапрограммирование
- экспоненциал линейной логики
- (ко)эффекты
- темпоральная логика ~ FRP
- распределенные вычисления (shared code)
- ресурсный анализ
- information-flow, гомоморфное шифрование
линейная лямбда
- линейность ~ переменные можно использовать ровно 1 раз
- диадическая интерпретация (линейный и интуиционистский контексты)
- интуиционизм как модальность
- исторически появилась до модальных
линейная лямбда
infixr 5 ~*
data Ty = A
| (~*) Ty Ty
| Bang Ty -- !
data Split : List a -> List a -> List a -> Type where
Nil : Split [] [] []
ConsR : Split xs ls rs -> Split (x::xs) ls (x::rs)
ConsL : Split xs ls rs -> Split (x::xs) (x::ls) rs
data Term : List Ty -> List Ty -> Ty -> Type where
Var : Term [a] g a
IVar : Elem a g -> Term [] g a
Lam : Term (a::l) g b -> Term l g (a~*b)
App : Split l l1 l2 -> Term l1 g (a~*b) -> Term l2 g a -> Term l g b
Lift : Term [] g a -> Term [] g (Bang a)
Letbang : Split l l1 l2 -> Term l1 g (Bang a) -> Term l2 (a::g) b -> Term l g b
ok : Term [] g (a ~* a)
ok = Lam Var
ok2 : Term [] g (a ~* Bang b ~* a)
ok2 = Lam $ Lam $ Letbang (ConsL $ ConsR Nil) Var Var
-- bad : Term [] [] (a ~* b ~* a)
метаязык Моджи и монады
- хотим добавить в чистый язык эффекты
- пометим их модальностью (примерно соответствует ◊, хотя полноценно кодируется обоими модальностями)
- расщепляем сами суждения, а не контексты
- для вычисления добавляем в язык примитивы соответствующих эффектов
метаязык Моджи и монады
infixr 5 ~>
data Ty = A
| (~>) Ty Ty
| M Ty -- effect
mutual
data Term : List Ty -> Ty -> Type where
Var : Elem a g -> Term g a
Lam : Term (a::g) b -> Term g (a~>b)
App : Term g (a~>b) -> Term g a -> Term g b
Val : PTerm g a -> Term g (M a)
data PTerm : List Ty -> Ty -> Type where
Wrap : Term g a -> PTerm g a
Letval : Term g (M a) -> PTerm (a::g) b -> PTerm g bметаязык Моджи и монады
map : Term g ((a ~> b) ~> M a ~> M b)
map = Lam $ Lam $ Val $ Letval (Var Here)
(Wrap $ App (Var $ There $ There Here)
(Var Here))
pure : Term g (a ~> M a)
pure = Lam $ Val $ Wrap $ Var Here
flatten : Term g (M (M a) ~> M a)
flatten = Lam $ Val $ Letval (Var Here)
(Letval (Var Here)
(Wrap $ Var Here))
flatMap : Term g ((a ~> M b) ~> M a ~> M b)
flatMap = Lam $ Lam $ Val $ Letval (Var Here)
(Letval (App (Var $ There $ There Here)
(Var Here))
(Wrap $ Var Here))градуированные модальности
- экспериментальный язык Granule
- позволяет аннотировать линейность арифметическими выражениями
- более тонкое управление ресурсами
-- You cannot have your cake and eat it...
-- impossible : Cake → (Happy, Cake)
-- impossible cake = (eat cake, have cake)
-- ...unless you have infinite cake
possible : Cake [∞] → (Happy, Cake [∞])
possible lotsOfCake =
let [cake] = lotsOfCake in (eat cake, [have cake])
-- ...or to there is a more precise way
accurate : ∀ {n : Nat} . Cake [n+1] → (Happy, Cake [n])
accurate lotsOfCake =
let [cake] = lotsOfCake in (eat cake, [have cake])
зависимые модальные типы
- guarded рекурсия (семантический чекер тотальности)
- модальность как расширенное метапрограммирование (Beluga/Cocon)
- модальность как стирание (Bauer)
- модальность как математические свойства (напр., дифференцируемость)
конец 3 части
- диадические модальные типы
- модальные типы Фитча-Крипке
- поляризованные модальности
- линейная лямбда
- метаязык Моджи
- градуированные модальности
- зависимые модальные типы
ссылки (1)
ссылки (2)
ссылки (3)
финал
Modal types for fun and profit
By Alex Gryzlov
Modal types for fun and profit
- 1,743