DETECTEUR D'ECLAIRAGE

Effacer ce texte et saisir :
- l'initiale du nom et le prénom des 2 élèves
- la classe
Serge.WACKER - http:/techno11.neowp.fr

Question 1 : quelle est la fonction principale d'un détecteur de présence associé à une lampe ?
Question 2 : une personne passe à 13 m du détecteur. L'éclairage est-il déclenché ? Justifier.

Question 3 en page suivante




Question 3
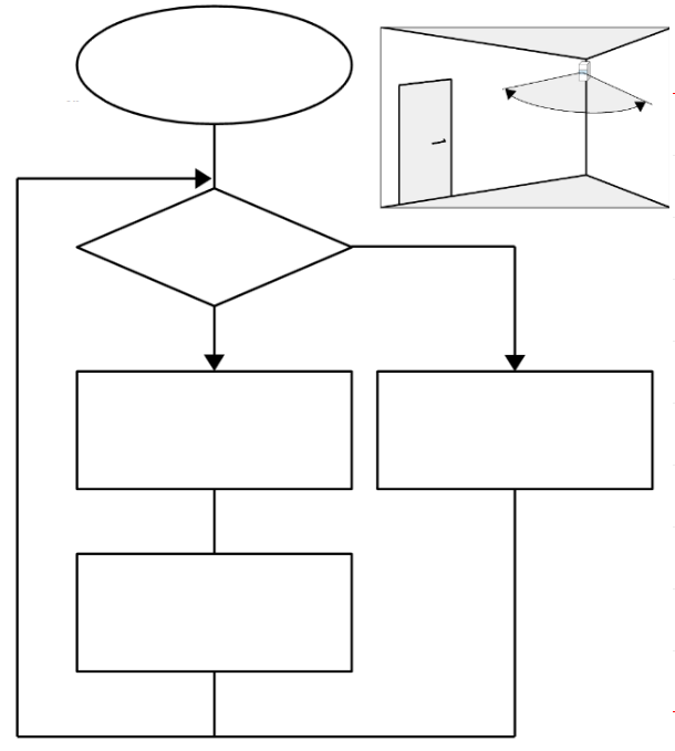
À partir des informations de la page précédente, remplir l'organigramme d'allumage ou d'extinction de l'éclairage à l'aide d'un détecteur de présence
dont la minuterie est
réglée à 30 secondes.
Question 4
Voici le programme pilotant le détecteur réalisé avec le logiciel Scratch. Les temps sont indiqués en secondes.
Répondre aux questions ci-dessous en indiquant le numéro de la ligne du programme correspondant à la réponse.
1. À combien de temps la minuterie est-elle réglée ?
Ligne N°.......... réponse ..........
2.De combien en combien s'effectue le décompte des secondes ?
Ligne N°........ réponse ...........
3.À quelle condition l'éclairage s'éteint-il ?
Ligne N°........ réponse .................

Mettre minuterie à 0
Attendre 1 s
Question 5 :
Quelles modifications faut-il apporter au programme pour que le temps soit compté de seconde en seconde en partant de 0 et en se terminant à 30.

Si minuterie = 30
Ajouter à minuterie la valeur 1
Répéter jusqu'à minuterie = 30
SUJET DETECTEUR ECLAIRAGE
By TECHNO11
SUJET DETECTEUR ECLAIRAGE
- 949