



FREE
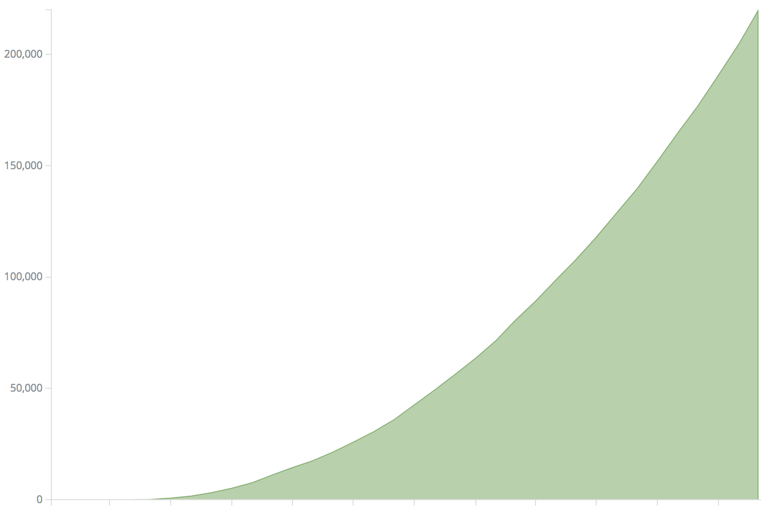
> 3.000 installs / week
> 250.000 servers
> 10.000.000 users
2015
2018




Perfil indicado
Empresas de maturidade iniciante, que estejam em busca de novas tendências de mercado para desenvolver e implementar estratégias inovadoras no âmbito de seus negócios.
A empresa pode ou não ter experiência prévia em negócios internacionais, mas é
importante que o produto ou serviço tenha foco no mercado internacional.

Apex-Brasil
- Credencial do SXSW de categoria Platinum.
- Espaço individual para exposição no pavilhão brasileiro.
- Serviço de mentoria online individual (2 reuniões de 30 minutos cada).
- Reunião de capacitação presencial - Bootcamp
- Participação em evento oficia do SXSW - Meet-up
- Divulgação da empresa em todos os nossos meios de comunicação.
Contrapartida
- Entrega de relatório técnico e financeiro (expectativa de negócios) .
- Participação online em todas as reuniões.
- Participação presencial em evento de capacitação.
- Preparação de elevator pitch a ser apresentado durante o evento.
- Cumprir agenda na cidade de Austin.
- Assinar Termo de Compromisso e pagar a taxa de inscrição ( USD 690)
- Arcar com todas as despesas pessoais do representante da empresa.




















gabriel.engel@rocket.chat https://rocket.chat
Obrigado
SXSW 2018
By Gabriel Engel
SXSW 2018
- 1,213