Suites arithmétiques et géométriques





Act2 p 14
Au bout de 20 ans, Mathilde aura doublé son capital.
Avec une calculatrice Numworks




(choisir explicite)



Automatismes
17 c'est 2 points au dessus de la moyenne.
La deuxième note se situe à 2 points sous la moyenne :


Cette évolution peut être modélisée par une suite arithmétique de premier terme \(u_0=750\) et de raison \(r = -40\).




On calcule le dernier terme de la somme :
cette somme contient 8 termes :
Suites géométriques
Act 3 p 15 : Un roi qui "riz"

Tant que U < 450
N N+1
U \(1,054 \times U\)
A la calculatrice, on obtient n = 8 :


Donc après l'exécutionde cet algorithme
N = 2017 + 8 = 2025 et \( U\approx 456,93 \).
Automatismes : Suites


Les trois nombres proposés sont les trois premiers termes d'une suite géométrique de raison 2.

Les trois nombres proposés sont les trois premiers termes d'une suite géométrique de raison \(-0,5\).


L'évolution proposée est modélisée par une suite géométrique de premier terme \(u_0=450 000\) et de raison \(q=0,94\).

L'évolution proposée est modélisée par une suite géométrique de premier terme \(u_0=50 000\) et de raison \(q=1,15\).



57 p 26 - 27


Selon ce modèle 4632 mégots seront jetés en 2028.
En 10 ans, 107 083 mégots auront été ramassés.
A la calculatrice on obtient :
Corrigé des automatismes n°2
- 21
- 44
- 6
- 40
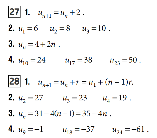
- \(u_n=2+5n\)
- \(u_5=27\)
- \(u_n=8+3(n-1)=5+3n\)
- \(u_7=26\)
- 8
- \(u_7=3+4\times 7=31\) et \(\dfrac{(3+31)\times 8}{2}=136\)
11) 10
12) \(u_{10}=7+9\times (-2) =-11 \)
13) \(u_n=3\times 2^n\)
14) \(u_5=3\times 2^5=96\)
15) \(u_n=-2\times 3^{n-1}\)
16) \(u_3=-2\times 3^2=-18\)
17) 8
18) \(\dfrac{1-2^8}{1-2}=255\)
19) 6
20) \(4\times \dfrac{1-(-2)^6}{1-(-2)}=-84\)
Suites arithmétiques et géométriques
By Jean-Marc Kraëber
Suites arithmétiques et géométriques
Lycée Saint-Exupéry
- 2,083