Suites Numériques
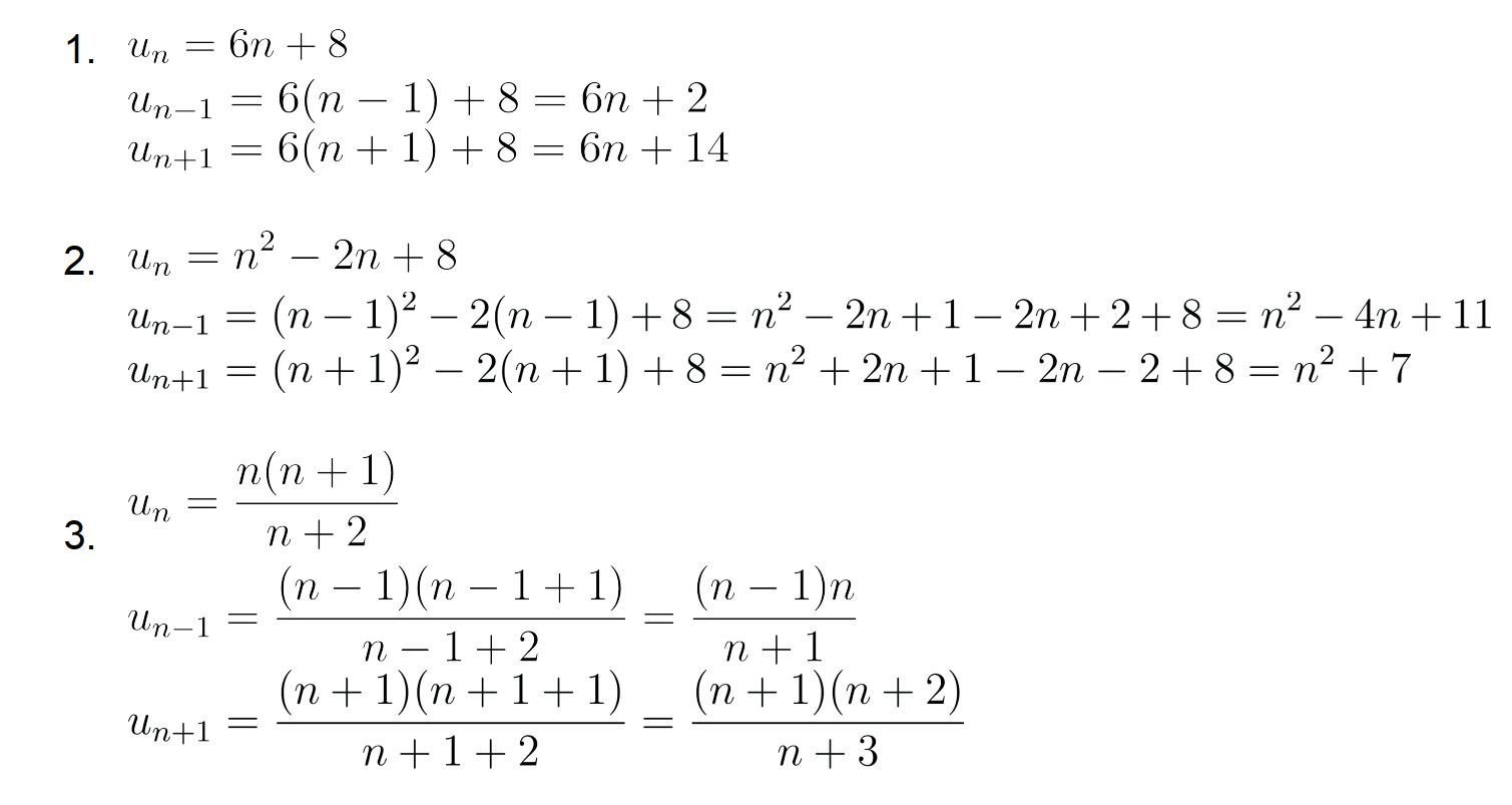
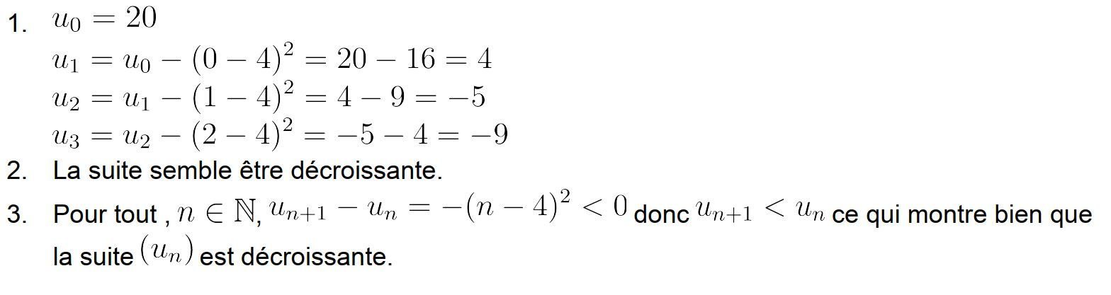
1 p 14
2 p 14
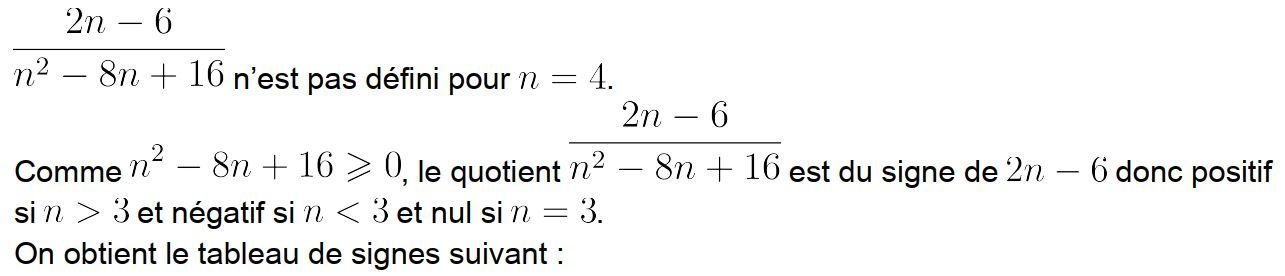
donc le taux global est égal \(-5,85\)%.
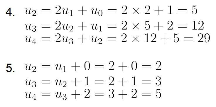
3 p 14

4 p 14




On retrouve que la suite de nombres est décroissante car
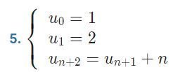
5 p 14
Le nombre affiché dans la cellule B2 sera donc 7,5.
2) La cellule B20 contiendra la formule = B19 + 0,5*A20

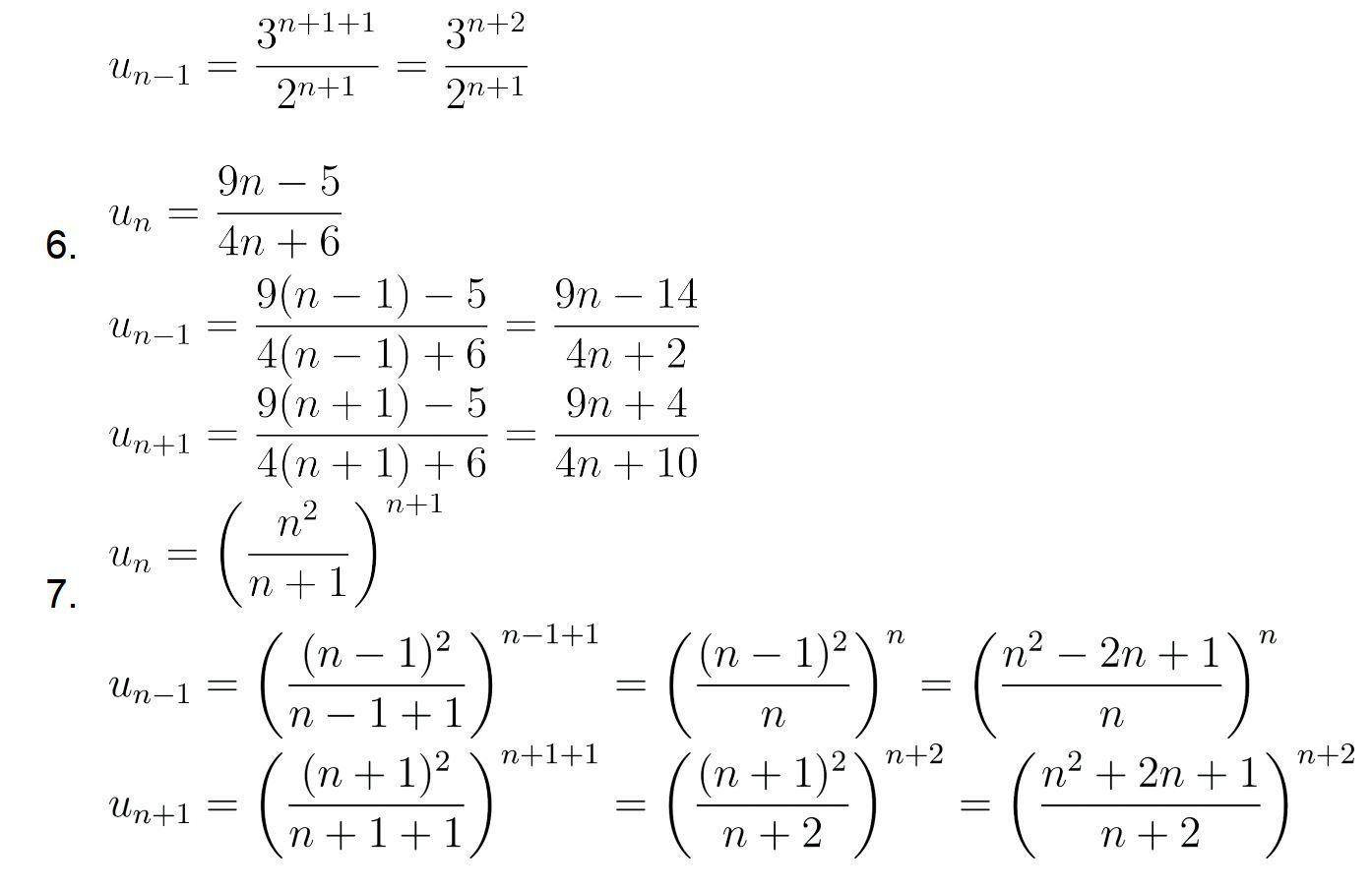
6 p 14
L'algorithme affecte successivement à la variable U les nombres 1, 3, 5... 17, 19.

Question supplémentaire : Traduire l'algorithme en Python avec en plus un affichage des nombres précédents.
7 p 14


7 p 14



8 p 14
On souhaite introduire la notion de suite à l’aide d’un tableur afin de pouvoir trouver une expression du terme général en fonction de n. On considère la feuille de calcul suivante.
Act A p 16 : Soyons explicite








22 p 31




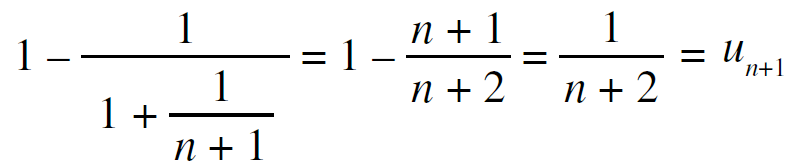
Activité B p 16 : Suite définie par une relation de récurrence






(préciser en plus le premier terme de la suite)
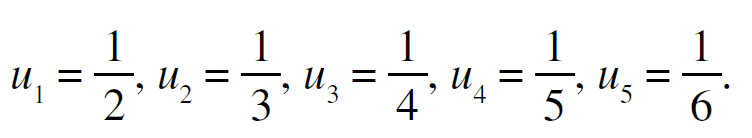
Les termes de u1 à u10 d'une suite définie par récurrence dont le premier terme est u0 = 1.
Question supplémentaire : Programmer l'algorithme en Python avec affichage de \(u_{10}\)
Programmation de l'algorithme en Python :
u = 1
for i in range(10):
u = (u-1)/(u-2)
print(u)
(on affiche uniquement u10)






Le programme affiche
Vérification avec le mode suite de la calculatrice :


Variations d'une suite
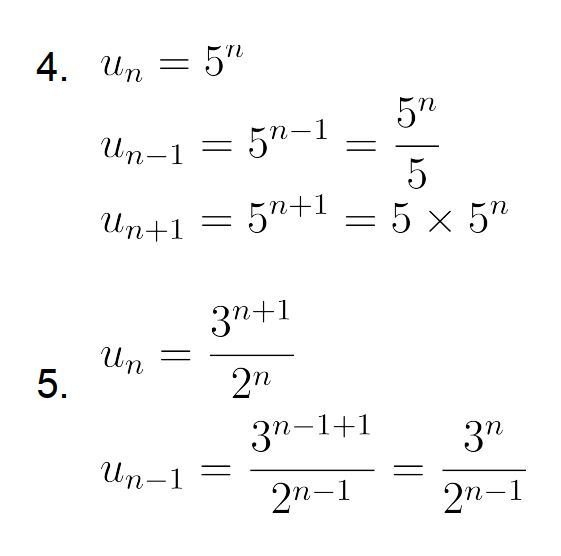
Ex 49 p 33 : Dans chaque cas, déterminer le sens de variation de la suite (un) définie par :
Donc
Donc pour tout entier naturel \(n\),
On en déduit que la suite (un) est strictement croissante.
Méthode 1 :
Donc pour tout entier naturel \(n\),
On en déduit que la suite (un) est strictement croissante.
donc la suite (un) est strictement croissante.
Les termes de la suite (un) sont strictement positifs donc on peut comparer
Méthode 2 :
Par conséquent la suite (un) est croissante à partir de n = 1.
Méthode 1 :
On en déduit que la suite (un) est strictement décroissante.
donc la suite (un) est strictement décroissante.
Méthode 2 :
50 p 33
1. Reproduire la figure et représenter les cinq premiers termes de la suite sur l’axe des abscisses.
2. Conjecturer le sens de variation de la suite (\(u_n\)).
3. Conjecturer la limite de la suite.
La suite (\(u_n\)) semble croissante.
La limite de la suite (\(u_n\)) semble être 6.
52 p 34 :
Soit (un) la suite définie pour tout entier naturel n par
- Représentation graphique :

On conjecture que la suite est croissante et que sa limite est 3.
2. Prouver que la suite (un) est croissante.
Par suite :
Pour tout entier naturel n,
On en déduit que la suite (un) est strictement croissante.
3. Montrer que pour tout \(n\geqslant 0,\;-2\leqslant u_n \leqslant 3\).
La suite (\(u_n)\) est croissante et \(u_0=-2\) donc pour tout entier \(n\), \(u_n\geqslant -2\).
Pour tout entier naturel \(n\),
On en déduit que pour tout entier naturel \(n\), \(u_n<3\) .
A partir de \(n_0=24\) on a \(u_n\geqslant 2,8\) pour tout \(n\geqslant n_0\).
53 p 34 :
Soit (un) la suite définie pour tout entier naturel n par
- Calculer les cinq premiers termes de la suite :
2. Déterminer le sens de variation de (un).
Par suite :
Pour tout entier naturel n,
donc la suite (un) est strictement décroissante.
3. Calculer le plus petit entier
La fonction inverse est décroissante sur
On peut conjecturer que la limite de la suite (un) est 5.
4. Conjecturer la limite de la suite.
5. a) Algorithme ...
b)
def limite(eps):
n = 0
u = 8
while abs(u-5) > eps:
n = n+1
u = 5 + 3/(2*n+1)
return n
print(limite(0.001), limite(1e-5), limite(1e-6))
# affiche 1500 150000 1500000


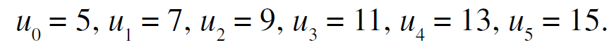
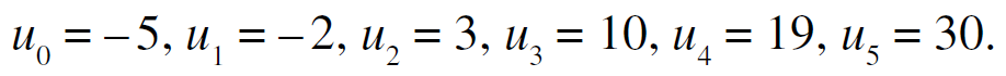
EX 1 : Dans chaque cas calculer les termes de u0 à u5 (Suites définie par une formule explicite) :
Exercices 2019
a) La suite (un) est définie pour tout entier naturel n par :
b) La suite (un) est définie pour tout entier naturel n par :


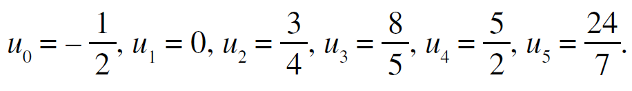
EX 2 : Dans chaque cas calculer les termes de u0 à u5 (Suites définie par une formule explicite) :
a) La suite (un) est définie pour tout entier naturel n par :
b) La suite (un) est définie pour tout entier naturel n par :
EX 3 : Dans chaque cas calculer les termes de u1 à u5 (Suites définie par une relation de récurrence) :
a) La suite (un) est définie pour tout entier naturel n par :





EX 4 :
EX 5 : Calculer les termes de (u2) à (u4) dans les deux cas suivants :
a) La suite (un) est définie pour tout entier naturel n par :
b) La suite (un) est définie pour tout entier naturel n par :
EX 6 : On considère L'algorithme suivant :
Que calcule cet algorithme ?
Écrire une relation entre
Les termes de u1 à u10 d'une suite définie par récurrence dont le premier terme est u0 = 1.
EX 8 : Représentation graphique d'une suite définie par récurrence
f est une fonction affine, sa représentation graphique est la droite d'équation :

On construit ensuite la droite d'équation y = x

On repère u0 sur l'axe des abscisses
On reporte ensuite u1 sur l'axe des abscisses

On recommence...
On conjecture que la suite est croissante et converge vers 2.
Quantificateurs logiques
pour tout (ou quelque soit)
il existe
il n'existe pas
Suites numériques
By Jean-Marc Kraëber
Suites numériques
Lycée Saint-Exupery
- 2,059