Presentations
Templates
Features
Teams
Pricing
Log in
Sign up
Log in
Sign up
Menu
Primitives et équations différentielles
d)\;\text{Sur }I=\mathbb{R}, F(x) = \dfrac{1}{8}x^8+k\text{ avec }k \text{ réel.}
a) F(x) = \text{e}^{x} + k \text{ avec }k\in \mathbb{R}
F(0) =- \text{e}
\text{e}^0+k=-\text{e}
k=-\text{e}-1
\text{On en déduit que }F(x) = \text{e}^{x} - \text{e}-1.
b) F(x) = 2\sqrt{x} + k \text{ avec }k\in \mathbb{R}
F(4) =0
2\sqrt{4} + k =0
k=-4
\text{On en déduit que }F(x) = 2\sqrt{x} -4
c) F(x) = \text{ln}(x) + k \text{ avec }k\in \mathbb{R}
F(1) =-5
\text{ln}(1) + k =-5
k=-5
\text{On en déduit que }F(x) = \text{ln}(x) -5
d) F(x) = \dfrac{1}{3}x^3 + k \text{ avec }k\in \mathbb{R}
F(-1) =2
\dfrac{1}{3}(-1)^3 + k =2
k=\dfrac{7}{3}
\text{On en déduit que }F(x) = \dfrac{1}{3}x^3 + \dfrac{7}{3}
a) f(x) = -\dfrac{1}{2}\times (-2)\text{e}^{-2x}
f= -\dfrac{1}{2}\times u'\text{e}^{u}\text{ donc }F=-\dfrac{1}{2}\times \text{e}^{u}.
F(x) = -\dfrac{1}{2}\text{e}^{-2x}
b)\,f=u'\text{e}^{u}\text{ donc }F=\text{e}^{u}.
F(x) = \text{e}^{-x^2}
c)\,f=u'\text{e}^{u}\text{ donc }F=\text{e}^{u}.
F(x) = \text{e}^{x^3+x}
d) f(x) = \dfrac{1}{5}\times (5x^4)\text{e}^{x^5+1}
f= \dfrac{1}{5}\times u'\text{e}^{u}\text{ donc }F=\dfrac{1}{5}\times \text{e}^{u}.
F(x) = \dfrac{1}{5}\text{e}^{x^5+1}
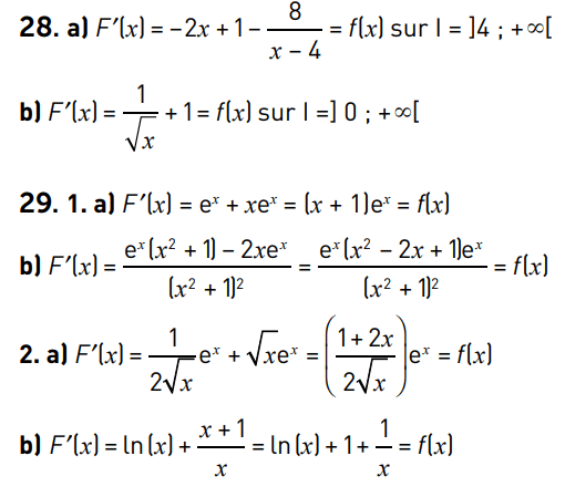
a)
b)
c)
d)
a)
b)
c)
d)
a)
b)
c)
2.
Primitives et équations différentielles
By Jean-Marc Kraëber
Made with Slides.com
Primitives et équations différentielles
Maths comp.
1,949
Jean-Marc Kraëber
JM_Kraeber
More from
Jean-Marc Kraëber