Applications de la dérivation






h est une fonction polynôme donc elle est dérivable sur \(\R\). On calcule d'abord la fonction dérivée :
On étudie ensuite le signe de h', la fonction dérivée :

La fonction h', est du signe de a donc positive à l'extérieur de ses racines.


).
On en déduit le tableau de variations de la fonction h :
On vérifie avec la calculatrice :




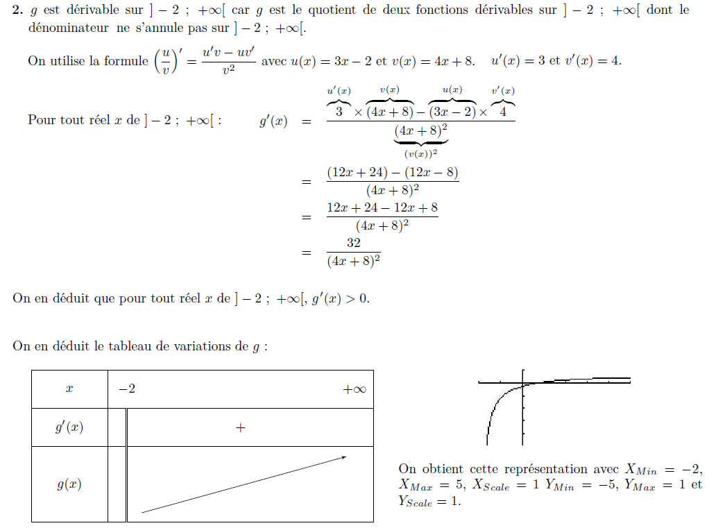
Calcul de la dérivée :

Signe de la dérivée :





Axes :


Calcul de la dérivée (avec mise au même dénominateur) :
Signe de la dérivée :

Il est du signe de a, donc positif, à l'extérieur de ses racines.


Tableau de variations :



Calcul de la dérivée :
Signe de la dérivée :
Tableau de variations :
Calcul de la dérivée :
Le polynôme \(f'(x)\) est du signe de a, donc positif, à l'extérieur de ses racines.




D'après les calculs précédents, \(f\) admet un maximum local, \(53\), atteint pour \(x=-1\) et un minimum local, \(-72\), atteint pour \(x=4\).
D'après le tableau de variations de \(f\), lorsque \(x\in [-2\,;3]\), \(-59\leqslant f(x)\leqslant 53 \).




Le polynôme \(h'(x)\) est du signe de a, donc positif, à l'extérieur de ses racines.




Le polynôme \(f'(x)\) est du signe de a, donc négatif, à l'extérieur de ses racines.

Calcul de la dérivée :
Signe de la dérivée :
On développe f pour ne pas avoir à utiliser la formule (uv)'=u'v+uv'
On factorise f' pour avoir les racines sans utiliser \(\Delta\)















Méthode à retenir :





Signe ?























Calcul de la dérivée :
Signe de la dérivée :
Tableau de variations :
Applications de la dérivation


Version 2024


d. Le minimum de \(g\) sur \([-2~;~7]\) est 0 ; il est atteint pour \(x=1\).

Corrigé sur Overleaf

Corrigé sur Overleaf


























On peut conjecturer qu’une fonction dérivable est décroissante sur un intervalle si et seulement si sa dérivée est inférieure ou égale à 0 ; et qu’une fonction dérivable est croissante sur un intervalle si et seulement si sa dérivée est supérieure ou égale à 0.
Notion d'extremum local

Savoir reconnaître un extremum local graphiquement :
la fonction \(h\) représentée ci-contre admet un maximum local en 1 : \(h(1)\)
Autour de 1 (on dit "au voisinage de 1),
les images des nombres juste avant 1 et juste après 1 sont inférieures à \(h(1)\)

localement, le point de coordonnées (1 ; h(1)) est le sommet de la courbe

"Avant 1", \(h\) est croissante. "Après 1" \(h\) est décroissante : localement la fonction \(h\) a atteint un maximum.
Il y a un changement du sens de variation de la fonction.
Suite

la fonction \(h\) représentée ci-contre admet un minimum local en 2 : \(h(2)\)
Au voisinage de 2, les images des nombres juste avant 2 et juste après 2 sont supérieures à \(h(2)\)

localement, le point de coordonnées (2 ; h(2)) est le plus bas de la courbe.
"Avant 2", \(h\) est décroissante. "Après 2" \(h\) est croissante : localement la fonction \(h\) a atteint un minimum.
Il y a un changement du sens de variation de la fonction.
Savoir reconnaître un extremum local à partir d'un tableau de variations :

Une fonction admet un extremum local lorsque sa dérivée s'annule et change de signe.
Exemple : Soit la fonction \(f\) définie sur \([-2\,;+\infty[\) par \(f(x) = -0,5x^3+0,75x^2+3x-1\).
On veut déterminer les valeurs de \(x\) pour lesquelles la fonction admet un extremum local :

Savoir déterminer un extremum local à partir de l'expression algébrique d'une fonction :
Conjecture :
- \(f\) admet un minimum local pour \(x=-1\)
- \(f\) admet un maximum local pour \(x=2\)
Pour le démontrer on détermine les variations de la fonction en étudiant le signe de la dérivée...
1. On détermine \(f'\) :
Règle du signe d'un trinôme : \(f'\) est négative \( (a = -1,5) \) à l'extérieur de ses racines. D'où le tableau de variations :

2. On détermine le signe de \(f'\) :

Applications de la dérivation
By Jean-Marc Kraëber
Applications de la dérivation
Lycée Saint-Exupéry de La Rochelle
- 1,751