Lois à densité
Lois à densité
Version TES
Lois à densité
Introduction : Act 2 p 217 (Transmath)

















Lois de probabilité à densité
le passage du discret au continu :
En 1ère, on étudie notamment la loi binomiale qui est une loi discrète. Une variable aléatoire qui suit une loi binomiale admet un nombre fini de valeurs :
P(X = a)
Diagramme en bâtons :

En terminale, on étudie notamment la loi normale qui est une loi continue. Une variable aléatoire qui suit une loi normale admet un nombre infini de valeurs : P( a< X < b )
Aire sous la courbe :

1. Loi à densité sur un intervalle I
1.1 Deux exemples pour comprendre
Exemple 1 : Soit X la variable aléatoire mesurant la durée exacte du temps d’attente aux urgences d’un hôpital. On suppose que ce temps d’attente est toujours inférieur à 3 heures.
La variable aléatoire X peut prendre n’importe quelle valeur dans l’intervalle [0 ; 3]. On ne peut donc pas énumérer les possibilités sous la forme X = xi. On dit que la loi de probabilité de X est à densité.
Il s’agit dans ce chapitre d’étudier des exemples de lois de probabilités sur des variables aléatoires, lorsque celles-ci peuvent prendre toutes les valeurs d’un intervalle I de , on parle de loi de probabilité continue, ou à densité.

Le calcul de la probabilité que le temps d’attente soit exactement de 2 h 31mn est ici complètement inutile.
Il serait par contre intéressant de déterminer la probabilité que ce temps d’attente soit compris entre 1 et 2 heures, ce que l’on notera ou bien soit inférieur à une heure et demie, ce que l’on notera
Exemple 2 : Une usine produit de l’eau minérale en bouteille. On note Y la variable qui, à chaque bouteille prélevée au hasard, associe le taux de calcium de l’eau qu’elle contient.
La variable aléatoire Y peut prendre toutes les valeurs dans
C’est aussi une loi de probabilité à densité.
Il pourrait être intéressant de déterminer la probabilité que le taux de calcium dépasse un taux limite de 6,5 mg par litre, ce qu’on notera
1.2 Densité de probabilité

Définition 1 : Soit I un intervalle de et f une fonction définie sur I. On dit que f est une densité de probabilité sur I si :
- f est continue et positive sur I
- o
Remarque : Dans le cas où I n’est pas borné, on admettra que cette intégrale existe et qu’elle représente l’aire « sous la courbe » .
Définition 2 : Soit f une densité de probabilité sur un intervalle I et X une variable aléatoire à valeurs dans I.
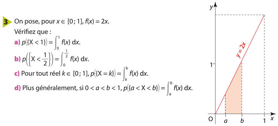
On dit que X suit la loi à densité f si, pour tout réels a, b de I (avec a < b) :
Propriété : Soit X une variable aléatoire qui suit une loi de densité f sur I.
Pour tout
Remarque : On a donc par exemple
car
(événements incompatibles)

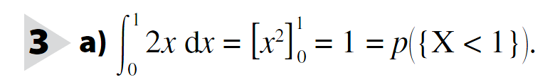
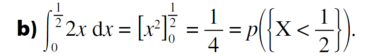
a) Aire du trapèze :









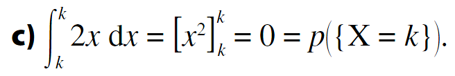
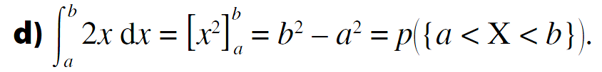
d)








En effet :
Définition 1 : Soit X une variable aléatoire de densité f sur [a ; b]. L'espérance mathématique de X est :
1.3 Espérance, variance et écart-type
Remarque : Dans le cas d’une variable aléatoire prenant un nombre fini de valeurs, la formule de l’espérance était :

La définition précédente est cohérente avec ce résultat, en
remplaçant la somme par l'intégrale
Définition 2 :
Soit X une variable aléatoire de densité f sur [a ; b].
On note
- La variance de X est :
Remarque : On admettra que l’écart-type est une mesure de dispersion de la variable aléatoire X autour de son espérance.
- L'écart-type de X est :
2. La loi uniforme sur [a ; b]
2.1 Définition, exemple
Propriété : Soient a et b deux réels tels que a < b et f la fonction
définie sur [a ; b] par :
Alors f est une densité de probabilité sur [a ; b].

Démonstration :
f est continue sur [a ; b] et est clairement positive.
Définition : Soient a et b deux réels tels que a < b et X une variable aléatoire.
On dit que X suit la loi uniforme sur [a ; b] lorsque X admet comme densité de probabilité la fonction f définie sur [a ; b] par :
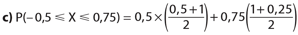
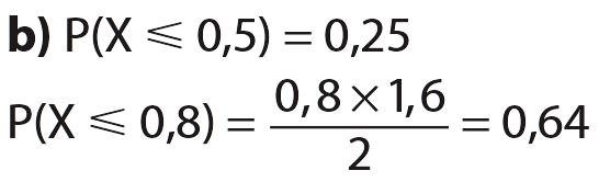
Exemple : On reprend l’exemple 1 du 1.1 et on suppose que le temps d’attente au urgences de cet hôpital suit la loi uniforme sur [0 ; 3]. On a alors :
Propriété :
X est une variable aléatoire qui suit la loi uniforme sur [a ; b].
Pour tout intervalle [c ; d] inclus dans [a ; b] on a :
Démonstration :
2.2 Espérance d’une loi uniforme
Propriété : Soit X une variable aléatoire qui suit la loi uniforme sur [a ; b]. Alors :
Démonstration :














3. La loi normale centrée réduite
3.1 Définition
On dit qu’une variable aléatoire X sur suit la loi normale centrée réduite si sa loi de densité est :
On note cette loi


Remarques :
1. On admettra que la fonction f est une loi de densité sur

en particulier que
2. Le point A a pour coordonnées
car
3. La courbe représentant f est symétrique par rapport à l’axe des ordonnées.

3.2 Utilisation de la calculatrice
On ne peut pas trouver grâce aux techniques habituelles de primitive de la fonction f. On utilisera donc la calculatrice qui permet de calculer directement p (a < X < b) lorsque X suit la loi normale centrée réduite, en prenant

Exemples :
Calculer


- Calculer
A la calculatrice, on peut remplacer le calcul de
par celui de
- Calculer
A la calculatrice, on peut remplacer le calcul de
par celui de
On peut aussi calculer :
On peut aussi calculer :





















⇔
a)
⇔
b)
⇔



4. La loi normale
4.1 Définition – Propriété
Définition :
On dit qu’une variable aléatoire X suit la loi normale
si la variable aléatoire suit la loi normale centrée réduite
Remarque : On peut montrer que, dans ce cas, la loi de densité est donnée par la fonction :


Courbe symétrique
par rapport à la
droite d'équation x = μ.
Propriété : (admise)
Soit X une variable aléatoire suivant la loi normale
et
Exemples :


- On fait varier avec
- On fait varier avec
4.2 Exemples d'utilisation de la calculatrice


Déterminer à l'aide de la calculatrice le nombre u tel que
Exemple :
avec connue.





4.3 Probabilités d’événements particuliers
Propriété : (admise)
Soit X une variable aléatoire suivant la loi normale
Remarques :
- Ces trois probabilités ne dépendent ni de l’espérance , ni de l’écart-type .
- Il y a donc 95 % de chances que la valeur prise par X soit dans l’intervalle













équivaut à























Term ES : Lois à densité
By Jean-Marc Kraëber
Term ES : Lois à densité
Lycée Saint-Exupery
- 5,568