Genetics of Autism

  • Genetic contribution to ASD risk ~40-80%
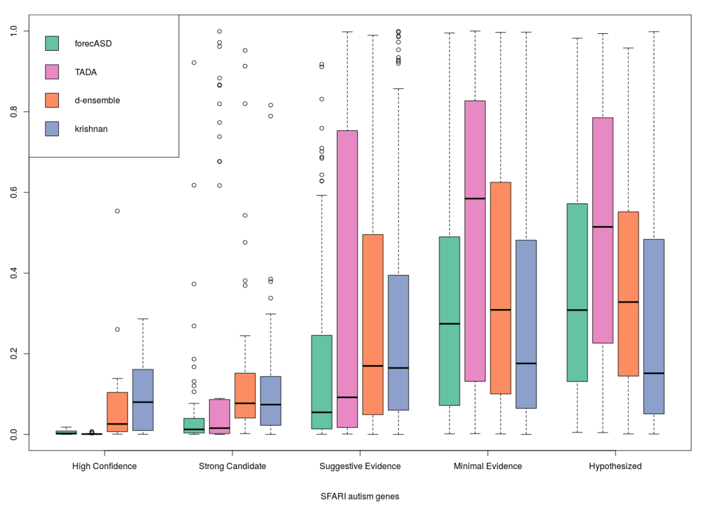
  • 850 candidate autism genes, with evidence largely derived from WES

We use machine learning approaches to provide gene-level estimates of autism involvement

 

Gap: contribution of non-coding mutations to ASD risk largely unknown

Genetics of Autism

Opportunity:

MSSNG(2017)

Werling(2017)

Turner(2017)

5K

2K

2K

Non-coding contribution to ASD
Update genome-wide scores

Not analyzed

Approach: meta-analysis

  1. Define classes of non-coding mutations which contribute to ASD risk, reconciling Werling & Turner
  2. Generate more comprehensive gene-level predictions using non-coding sources of variation

Goals:

SpecificAims

By leoo

SpecificAims

  • 1,002