Definīcijas apgabala noteikšana

Algebriska daļa

(dalīšana ar mainīgo)

Dalīt ar nulli NAV IESPĒJAMS , tāpēc saucējs (dalītājs) nedrīkst būt 0


„saucējs” ≠ 0

Risini

Kvadrātsaknes,  

(pāra pakāpes saknes) aprēķināšana


Nevar izvilkt kvadrātsakni (pāra pakāpes sakni) no negatīva skaitļa


„Zemsaknes izteiksme”  ≥  0

Risini


Logaritms    logax

(Izteiksme,funkcija,vienādojums,nevienād.)


„Zemlogaritma izteiksme (x) ” > 0

    „Bāze (a)”    >  0

„Bāze (a)”   ≠ 1


Risini


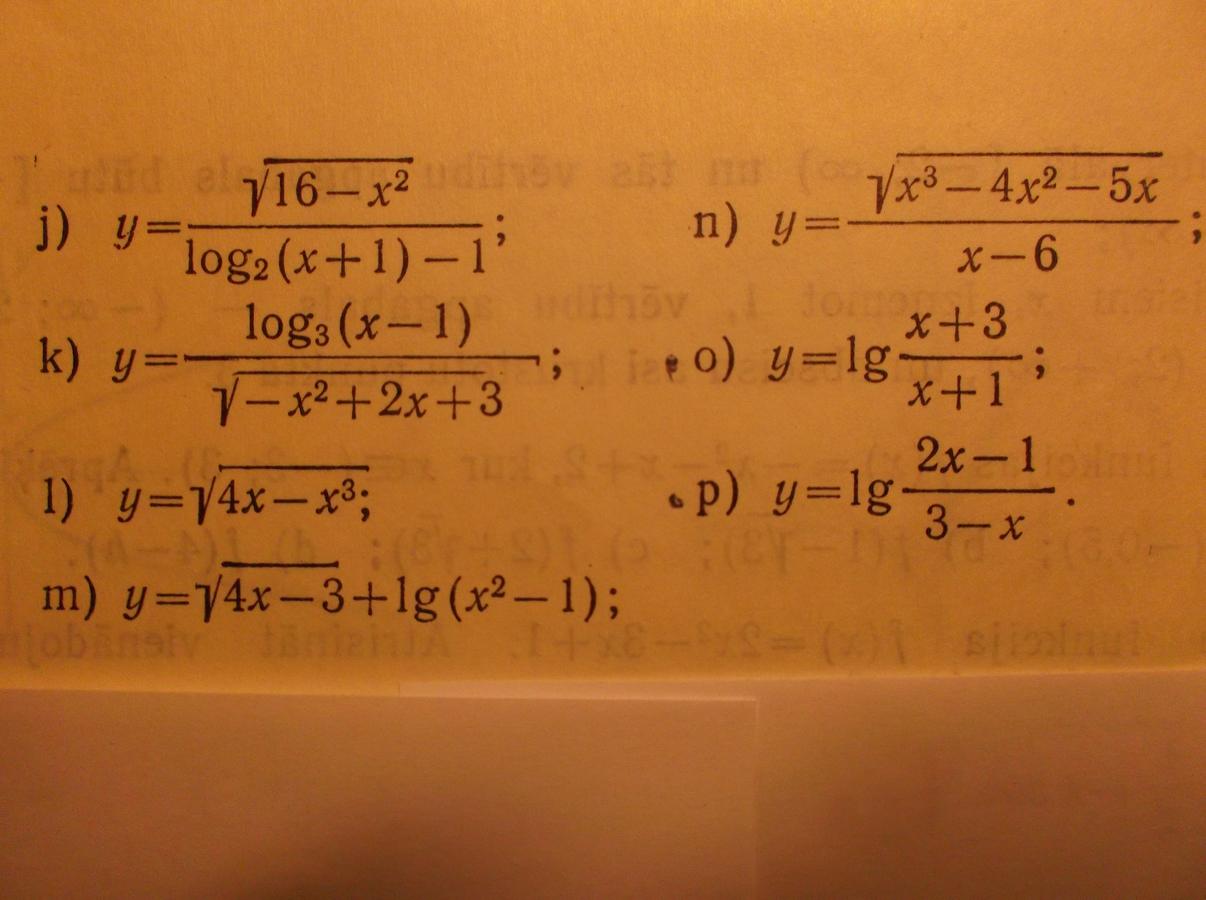
Dažādi piemēri

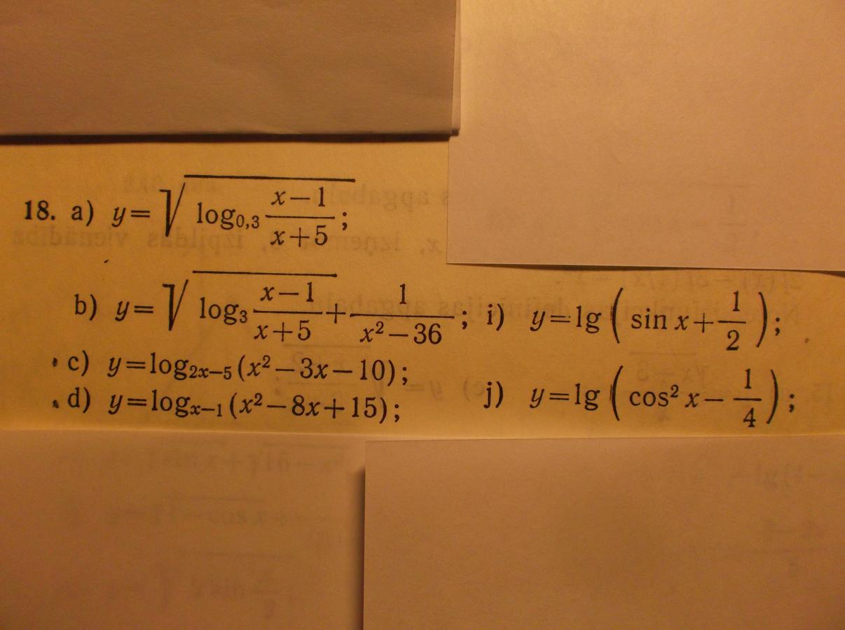
Dažādi piemēri


Tangenss, kotangenss 

(funkcija, vienādojums, nevienādība)

Tangenss (tgx) 


Kotangenss (ctgx)  

Izmantotā literatūra


  1. D.Kriķis, P.Zariņš, V.Ziobrovskis "Diferencēti uzdevumi matemātikā"
  2. dzm.lu.lv par tangensa un kotangensa funkcijām



                                       @pickainevvgmat

Definīcijas apgabals

By Ligita Pickaine

Definīcijas apgabals

Izmantojams 10.- 12. klasē risinot uzdevumus par funkcijām, izteiksmēm, vienādojumiem, nevienādībām.

  • 8,899