

RoboCup new rules
1. Not to access opponent team name
2. Defense penalty
3. Ball movement

Delaunay algorithm




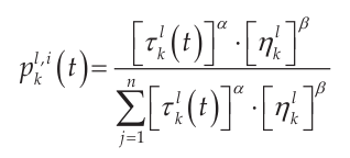
Ant colony algorithm



Saving states

Vaporation factor


Dribble target point

Shoot data
Chain action and success trade off


Online training

Future plan

action noise

ants communication
software engineering

1- KN2C Server :)


3- Gitlab CI/CD
1-Local Gitlab
2-Gitlab Artifacts
3-Gitlab New stages
4-user can choose which job to be executed

KN2C Server :)


Intel Core i9-9900K Desktop Processor 8 Cores up to 5.0 GHz
ASUS GeForce GTX 1660 Ti 6GB Single-fan

32 GB 1660 MHZ Ram (2 *16)
Thanks to resources
Latin American Robotics' Competition 2019
Act of Mark behind the penalty area
Act of Mark in penalty Area

pass block idea behind the penalty area
penalty area mark
idea ?
1- man-to-man mark ?
2-Formation !

KN2C VS IT_Androids
WinRate

KN2C VS IT-Androids
GA / GF
Local Gitlab Server
192.168.2.53


KN2C Gitlab Local Server
benefits :
more speed
more security
more flexibility by Gitlab API
Gitlab Blocked Access Of Iran IPs

faster CI/CD Job executed
Gitlab Artifacts and New stages(make binary)?
Job artifacts are a list of files and directories created by a job once it finishes
Result Artifacts & binary Artifacts

Rules ?
Team member can choose which job to be executed by Gitlab rules
Also team members can choose which kind of test to be execute !
The artifacts can be saved on the local server in case of team members' need
result message's bug on telegram channel fixed


Compare results tools service
Using Gitlab API
Copy of deck
By mojtabam722
Copy of deck
- 88