Sähkökemiaa

KE4: Materiaalit ja teknologia 3/5

Metallien jännitesarja

  • Jännitesarjalla kuvataan metallien taipumusta muodostaa kemiallisia yhdisteitä
  • Metallit on järjestetty pienenevän hapettumiskykynsä mukaisesti, toisin sanoen litium hapettuu paljon helpommin kuin platina.
  • Jännitesarjan avulla voidaankin ennustaa, tapahtuuko tietyn metallin ja jonkin toisen metallin ionien välinen hapettumis-pelkistymisreaktio.
  • Atomimuodossa oleva epäjalompi metalli pelkistää ionimuodossa olevan jalomman metalli-ionin atomiksi. 

R1: Metallien jännitesarja

Suunnitelkaa kokeellinen työ, jolla voidaan määrittää seuraavien metallien paikka sähkökemiallisessa jännitesarjassa

Fe, Sn, Zn, Cu, Ag, Mg, Pb …

R1: Metallien jännitesarja

Mitä kannattaa tutkia?

  • Normaalipotentiaaleja tai niiden eroja emme mittaa (turha työ, vie aikaa)
  • Kaikkien metallien käyttäytymistä suolahapon (HCl) ei kannata selvittää (miksi?)
  • Reaktionopeuden mittaaminen ei ole luotettava mittari jännitesarjan paikkojen määrittämiseksi (mitkä asiat vaikuttavat reaktionopeuteen?)
  • Jos ei tapahtunut reaktiota, sekin on tulos!
  • Jos ”kirjatieto, taulukkotieto” kertoo toisin, on syytä miettiä virhelähdettä, miksi tulos on erilainen
  • Tulosten arviointi: vertailu taulukkotietoinen.

Esimerkki 1: Mitä tapahtuu?

a) sinkin ja hopeanitraatin reaktio

b) kuparin ja sinkkisulfaatin reaktio

epäjalompi metalli atomimuodossa, jalompi ionimuodossa

reaktio

epäjalompi metalli ionimuodossa, jalompi atomimuodossa

ei reaktiota

Esimerkki 2: Mitkä seuraavista aineista reagoivat HCl:n kanssa tuottaen vetykaasua?

Cu     Zn     Mg     Ag

jalot metallit

epäjalot metallit

Normaalipotentiaalit

  1. Mitkä metallit reagoivat veden kanssa vapauttaen vetyä?
  2. Mitkä metallit reagoivat happojen kanssa vapauttaen vetyä?
  3. Miksi jotkin metallit reagoivat vain typpihapon kanssa?
  4. Onko aina hyvä hapetin vai pelkistin?

Normaalipotentiaalit

  1. Mitkä metallit reagoivat veden kanssa vapauttaen vetyä?

Esimerkki Reagoiko

a) kalsium

b) rauta

vetyä vapauttaen veden kanssa?

Normaalipotentiaalit

2. Mitkä metallit reagoivat hapon kanssa vapauttaen vetyä?

Jos potentiaalien summa

  • E= epänegatiivinen, niin reaktio tapahtuu
  • E= negatiivinen, niin reaktiota ei tapahdu

Esimerkki: Osoita normaalipotentiaalien avulla, että lyijy reagoi suolahapon kanssa ja että elohopea ei reagoi.

Normaalipotentiaalit

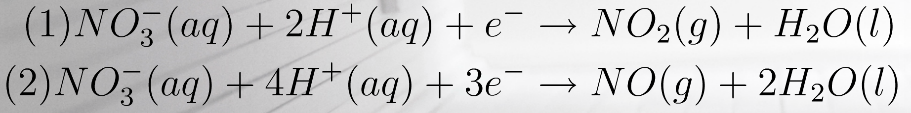
3. Miksi jotkut metallit liukenevat vain typpihappoon?

Esimerkki: Osoita normaalipotentiaalien avulla, että hopea liukenee typpihappoon.

  • typpihapon liuoksessa on vety- ja nitraatti-ioneja, joista vetyionit eivät osallistu reaktioon.
    • nitraatti-ionin typpi pelkistyy
  • typpihappo voi olla joko väkevää (1) tai laimeaa (2), joten saadaan kaksi pelkistysreaktiota
  • lasketaan potentiaalien summa ja jos se on epänegatiivinen, reaktio toteutuu

Normaalipotentiaalit

4. Onko aine hyvä hapetin tai pelkistin?

Esimerkki: Perustele pelkistyspotentiaalien avulla, mikä seuraavista on paras hapetin:

  • Mitä positiivisempi pelkistysreaktion normaalipotentiaali on, sitä parempi hapetin aine on.
  • Mitä negatiivisempi pelkistysreaktion normaalipotentiaali on, sitä parempi pelkistin aine on.
  • Aine, jolla on suurempi pelkistyspotentiaalin arvo, voi aina hapettaa normaalipotentiaaliltaan pienemmän aineen, ellei se ole jo hapettuneessa muodossa.

Text

SÄHKÖPARI

Spontaani hapetus-pelkistysreaktio

Sähkövirtaa tuottava hapetus-pelkistysreaktio

Galvaaninen kenno

Normaalivetyelektrodi

Pt-elektrodi

elektrolyyttiliuos HCl(aq)

2\ H^+(aq)+2\ e^- \rightarrow H_2(g)
2 H+(aq)+2 eH2(g)2\ H^+(aq)+2\ e^- \rightarrow H_2(g)
H_2(g) \rightarrow 2\ H^+(aq)+2\ e^-
H2(g)2 H+(aq)+2 eH_2(g) \rightarrow 2\ H^+(aq)+2\ e^-

lähdejännite

Normaalipotentiaali-taulukko

kationien kulkusuunta 

anionien kulkusuunta 

-\ Pt(s),H_2(g)|H^+(aq)||Cu^{2+}(aq)|Cu(s)\ +
 Pt(s),H2(g)H+(aq)Cu2+(aq)Cu(s) +-\ Pt(s),H_2(g)|H^+(aq)||Cu^{2+}(aq)|Cu(s)\ +

Daniellin pari

Sähköparien käytännön sovelluksia

ELEKTROLYYSI

Pakotettu hapetus-pelkistysreaktio

Saadaan aikaan sähkövirralla

YO K2010: Hoffmanin laite ja elektrolyysi laite

Elektrolyysilaskut

Sähkömäärä Q

Q=It
Q=ItQ=It

I = elektrolyysissä käytetty virta (A)

t = elektrolyysiin käytetty aika (s)

n = hapettuvan tai pelkistyvän aineen ainemäärä (mol)

z = siirtyvien elektronien lukumäärä

F = Faradayn vakio

Q=nzF
Q=nzFQ=nzF

Faradayn vakio

= yhden elektronimoolin varaus

1,\!60218\cdot 10^{-19}\ \text{As}\cdot 6,\!022\cdot 10^{23}\ \frac{1}{\text{mol}}\approx96\ 485 \ \frac{\text{As}}{\text{mol}}
1,602181019 As6,0221023 1mol96 485 Asmol1,\!60218\cdot 10^{-19}\ \text{As}\cdot 6,\!022\cdot 10^{23}\ \frac{1}{\text{mol}}\approx96\ 485 \ \frac{\text{As}}{\text{mol}}

Avogadron vakio
= hiukkasten lukumäärä / mol

elektronin sähkövaraus

It=nzF
It=nzFIt=nzF

Elektrolyysissä muodostuvien aineiden ainemäärät saadaan ratkaistua yhtälöstä:

Esimerkki:

Laske ainemäärä, kun tapahtuma on hopeointi, ja pinnoitus kestää 5 tuntia sähkövirran ollessa 1000 A.

Ag^{2+}(aq) + 2 e^- \rightarrow Ag(s)
Ag2+(aq)+2eAg(s)Ag^{2+}(aq) + 2 e^- \rightarrow Ag(s)

Ratkaisu

It=nzF
It=nzFIt=nzF

I = 1000 A

t = 5 h

n = ?

z = 2

F = 96 485

=5\cdot 60\cdot 60\ \text{s}=18\ 000\text{ s}
=56060 s=18 000 s=5\cdot 60\cdot 60\ \text{s}=18\ 000\text{ s}

elektroneja siirtyy 2 kpl

n=\dfrac{It}{zF}
n=ItzFn=\dfrac{It}{zF}
=\dfrac{1000\ A\cdot 18\ 000\ s}{2\cdot 96\ 485 \ \frac{As}{mol}}
=1000 A18 000 s296 485 Asmol=\dfrac{1000\ A\cdot 18\ 000\ s}{2\cdot 96\ 485 \ \frac{As}{mol}}
\frac{\text{As}}{\text{mol}}
Asmol\frac{\text{As}}{\text{mol}}
=93,\!278...\text{ mol}
=93,278... mol=93,\!278...\text{ mol}

Vastaus: Hopeaa muodostui 93 mol

Galvaaninen kenno ja elektrolyysi

H

By Opetus.tv

H

  • 2,436