Equipe de Robótica Asimov
Futebol 2D
Integrantes : Maykel Rodrigues, Alexandre Costa, Roberto Kieffer, Leonardo Batista, Lucas Henriques
Orientadores: Giovany Frossard e Victorio Albani Carvalho


Como Funciona ?
- A Categoria 2D é a mais antiga das Ligas de Simulação de Futebol
- Linux Ubuntu 12.04 ou 14.04 rodando o simulador RCSSServer 15.2.2
- Sistema Multiagente
- Time-Base
- Formações





Implementações Recentes...
- Passe em profundidade
- Troca de esquema tático durante o jogo
- Defesa
- Análise de formações efetivas
- Algoritmo Genético para escalação inicial


Ataque
- Cada jogador possui um papel/função (role) - zagueiro, atacante, lateral - , assim como no jogo real.
- A role é definida no arquivo de formação.
Dois métodos:
- doMove
- doKick


doMove e doKick



Aprendizado por reforço

- É entendido como o problema encontrado por um agente que deve aprender como se comportar em um ambiente dinâmico através de interações do tipo "tentativa e erro".
- O agente está inserido em um ambiente T e interage com ele através de percepções e ações.
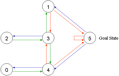
- Q-Learning.

Implementação do Q-Learning



Implementação do Q-Learning



Implementação do Q-Learning



Implementação do Q-Learning



Implementação do Q-Learning



Implementação do Q-Learning



Implementação do Q-Learning



Implementação do Q-Learning



LARC 2016
Recife - PE
Latin American and Brazilian Robotics Competition


www.cbrobotica.org

Resultado Final

| Champion | Asimov (Brazil) |
| Runner-Up | ITAndroids (Brazil) |
| 3rd Place | RobotBulls (Brazil) |

Participantes

| Asimov | Federal Institute of Espirito Santo, IFES – ES, Brazil |
| ITAndroids | Technological Institute of Aeronautics, ITA - SP, Brazil |
| RobotBulls | National Institute of Telecommunications, INATEL - MG, Brazil |
| Pmec-Allejos | Federal University of Goias, UFG – GO, Brazil |
| iBots | Federal University of Tocantins, UFT – TO, Brazil |
| FCP_GPR_2016 | Federal University of Technology, UTFPR – PR, Brazil |
| Nerds | Federal University of Mato Grosso do Sul, UFMS – MS, Brazil |
| Zombie | University of São Paulo, USP – SP, Brazil |

IRONCUP 2017
Santa Rita do Sapucaí - MG
Inatel Week of Control and Automation

www.inatel.br/iwca


Resultado Final

| Champion | Asimov (Brazil) |
| Runner-Up | RobotBulls (Brazil) |
| 3rd Place | Allejos (Brazil) |



Asimov
x
RobotBulls
LARC 2017
Curitiba - PR
Latin American and Brazilian Robotics Competition

www.cbrobotica.org


Obrigado :)
#GoAsimov


Asimov2D
By Paulo Henrique
Asimov2D
Presentation of Team Asimov 2D
- 207