Descriptive Statistics

AGENDA...

  • Appetiser
  • What & Why
  • Percentiles, Quartiles, Deciles ..
  • Measures of Central Tendency
  • Measures of Dispersion
  • Box Plots
  • Frequency Distribution
  • Contingency Tables
  • Correlation & Co-variance

Which One is Fuel Efficient ?

How we figure it out ?

Who's more Reliable ? and why you think so ...

It's a world cup match .... Odds are in favour of ? 

Left Tail

Contingency Tables

AGENDA...

  • Appetiser
  • What & Why
  • Percentiles, Quartiles, Deciles ..
  • Measures of Central Tendency
  • Measures of Dispersion
  • Box Plots
  • Frequency Distribution
  • Contingency Tables
  • Correlation & Co-variance

Data analysis ranges from analyses encompassing very simple summary statistics to extremely
complex multivariate analyses.

Descriptive Statistics :: provide ways of summarising large sets of quantitative (numerical) information

  • Aids in summarising large amounts of data

WHY DESCRIPTIVE STATISTICS ?

  • Helps in understanding of underlying trends and tendencies in the data
  • Aids in communicating the results to others

AGENDA...

  • Appetiser
  • What & Why
  • Percentiles, Quartiles, Deciles ..
  • Measures of Central Tendency
  • Measures of Dispersion
  • Box Plots
  • Frequency Distribution
  • Contingency Tables
  • Correlation & Co-variance

MATH TEST SCORES 

Percentiles

Quartiles

Q1

Q2

Q3

Q4

D1

D3

D4

D5

D6

D7

D8

D9

D10

D2

Deciles

AGENDA...

  • Appetiser
  • What & Why
  • Percentiles, Quartiles, Deciles ..
  • Measures of Central Tendency
  • Measures of Dispersion
  • Box Plots
  • Frequency Distribution
  • Contingency Tables
  • Correlation & Co-variance

Measures of Central Tendency

Central tendency refers to the idea that there is one number that best summaries the entire set of measurements, a number that is in some way "central" to the set.

  • Mean
  • Mode
  • Median

Mean (Average)

Sum of All Observation

Total Number of Observations

Total Score (Maths Test) = 6677

Students Count = 100

Average Score = 66.77

Median (Mid Point)

  • Mid point of the data.
  • Equal number of data points above or below.

if n is odd, (n+1)/2th observation(sorted data) 

 

else, average of n/2th and (n+2)/2th observation (sorted data)

63+70

2

66.5

71

Mode

Appears most often

Mode

Appears most often

AGENDA...

  • Appetiser
  • What & Why
  • Percentiles, Quartiles, Deciles ..
  • Measures of Central Tendency
  • Measures of Dispersion
  • Box Plots
  • Frequency Distribution
  • Contingency Tables
  • Correlation & Co-variance

Measures of Dispersion/Variability

Measures variation / uncertainty

Measures of Dispersion/Variability

Two patients are admitted into the Intensive Care Unit of a hospital. The night before their operation, the doctor makes the last visit at 9pm and blood pressure for Patient 1 is 110/80
and for Patient 2 it is 120/70. Although they are normal, for precautionary reasons, the Doctor asks the nurse to check their blood pressure every 2 hours. At 7.30 the next morning,
the nurse reports that the average blood pressure for both the patients was normal, 120/80.

 

The chart of their actual blood pressures was:

What if the doctor decides to operate the patients without looking at the blood pressure chart?

What may go wrong, if you plan your vacation knowing the last weeks average temperature of the destination ?

What if you decide to join an organisation which has average annual pay hike 6%.  Assuming you will perform well and would be on a higher side of pay hike. While the data is ::: 

6% Constant Pay Hike for all

Measures of Dispersion/Variability

Measures variation or uncertainty

Examples ::

- Variation in temperatures throughout the week

- Variation in cab hire rentals during the day

- Differences in ROI from different instruments

Need for Measures of Dispersion/Variability

- Helps determine the reliability of the measure of central tendency

 

- Facilitates comparison of two sets of data

 

- Useful for building further statistical measures

Measures of Dispersion/Variability

Maximum & Minimum Value

Useful when range of tolerance exist i.e. if values beyond a certain threshold are harmful/unacceptable.

Ignores any pattern in the data
Ignores most of the data

(+)

(-)

Measures of Dispersion/Variability

Range = Max Value - Min Value

Easy comparison of variability across datasets

Easy to compute and understand

Ignores any pattern in the data
Ignores most of the data

(+)

(-)

Measures of Dispersion/Variability

Inter-quartile Range = 3rd Quartile - 1st Quartile

Highlights the middle portion of the distribution of values
Easy to understand

More difficult to compute than Min-max and range
Ignores irregularities on the extremes
Ignores 25% data on each side

(+)

(-)

Measures of Dispersion/Variability

Distance from the Mean ?

Consider a hypothetical dataset

                               (1,1,2,2,3,3,4,5,5,6,6,7,7)

Mean = Median = ?

 

Consider

                               

Taking absolute values or taking squares so that we are
considering only the magnitudes

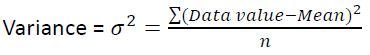
Measures of Dispersion/Variability

Squared Deviation

In order to look at a measure that has unit of measurements
equivalent to the original data, we can take square root:

Measures of Dispersion/Variability

Skewness

Skewness is a measure of symmetry (or the lack of it) in a dataset

 

A distribution is right-skewed or positively skewed if it stretches asymmetrically to the right

 

It is left or negatively skewed if the asymmetric stretch is on the left

 

Important to note that if a distribution is perfectly symmetric, Coefficient of Skewness = 0

 

A ‘coefficient of skewness’ value closer to zero, indicates a highly symmetric distribution

Measures of Dispersion/Variability

Skewness

Measures of Dispersion/Variability

Kurtosis

Kurtosis is a measure of peakedness of a dataset

 

The ideal value for kurtosis is 3 and such a curve is called the Mesokurtic curve

 

Value larges than 3 indicates that the distribution would be peaked with shorter tails.This graph is also termed the Leptokurtic curve

 

Value smaller than 3 would fetch a flatter graph with longer tails and is called the Platykurtic curve

 

Measuring kurtosis using moments:

Measures of Dispersion/Variability

Kurtosis

AGENDA...

  • Appetiser
  • What & Why
  • Percentiles, Quartiles, Deciles ..
  • Measures of Central Tendency
  • Measures of Dispersion
  • Box Plots
  • Frequency Distribution
  • Contingency Tables

Box Plot is used as :

  • Exploratory Data-analytic tool for continuous data
  • Visual display of certain important summary statistics

Useful in Studying

  •  Location
  •  Spread
  •  Distribution
  •  Symmetry
  •  Tail behaviour
  •  Skewness
  • Useful in comparison of different batches of Data, or a batch of data with factors
  • Useful to study information of observations at the tails
  • Easy to compute and draw, yet informative
  • User-friendly

AGENDA...

  • Appetiser
  • What & Why
  • Percentiles, Quartiles, Deciles ..
  • Measures of Central Tendency
  • Measures of Dispersion
  • Box Plots
  • Frequency Distribution
  • Contingency Tables

- The frequency with which observations are assigned to each category or point on a measurement scale.

May be expressed as a percentage of the total sample found in each category

Frequency Distribution

AGENDA...

  • Appetiser
  • What & Why
  • Percentiles, Quartiles, Deciles ..
  • Measures of Central Tendency
  • Measures of Dispersion
  • Box Plots
  • Frequency Distribution
  • Contingency Tables

Contingency Tables

Cross classification of categorical variables in which rows typically represent categories of explanatory variable and columns represent the categories of response variable.

THANK YOU

Descriptive Statistics

By Rahul Bajaj

Descriptive Statistics

Descriptive Statistics

  • 614