Последовательные схемы

Два инвертора

Хранят один бит информации, правда без возможности ее изменения.

Как правило можно физически установить какое-то состояние.

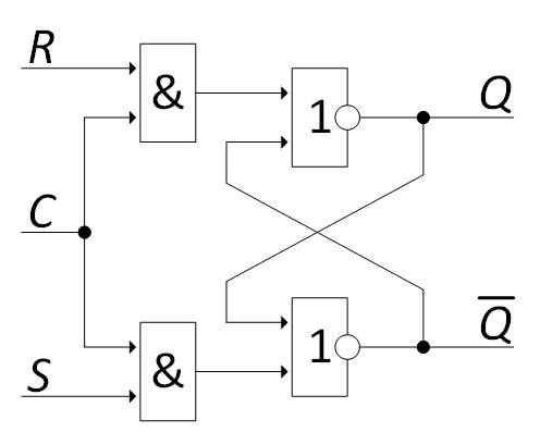
RS-триггер (защелка)

  • R - reset
  • S - set

RS-триггер с сихнронизацией

  • R - reset
  • S - set

JK-триггер

  • J - jump
  • K - kill

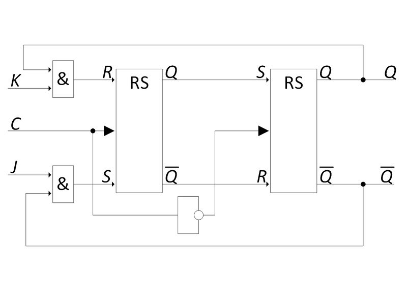
Ломаем JK-триггер

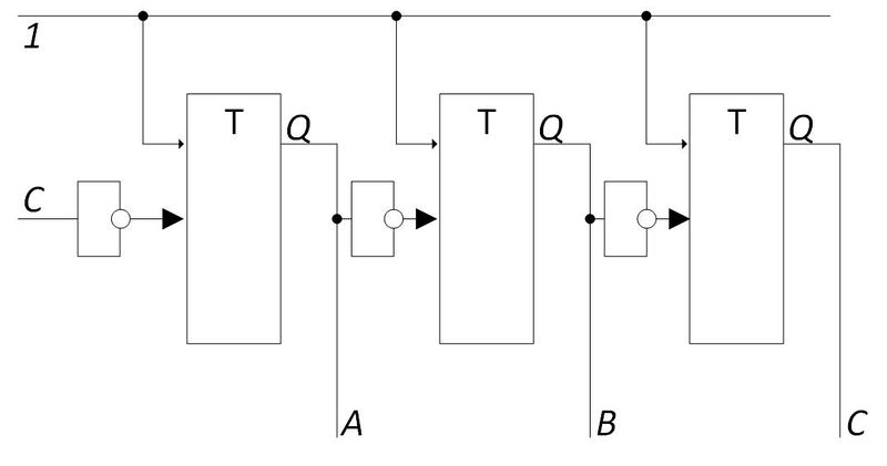
Счетчик для дельфинчика

Как известно, дельфины знает 2 цифры: 0 и 1.

T-триггер для дельфинчика

Замечательный 1-битный счетчик

Счетчик для дельфинчика

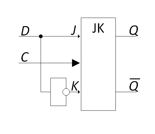
D-триггер

Хранит бит, который был передан на вход

Рисуем ячейку памяти на 8 бит

Хотим:

  • Уметь установить 8 бит
  • Уметь узнать, что хранится

Рисуем ячейку памяти на 8 бит

А теперь побитовая адресация

deck

By Roman Melnikov

deck

  • 989