

Yofre H. Garcia
Saúl Diaz-Infante Velasco
Jesús Adolfo Minjárez Sosa
sauldiazinfante@gmail.com



Argument. When there is a shortage of vaccines, sometimes the best response is to refrain from vaccination, at least for a while.

Hypothesis. Under these conditions, inventory management suffers significant random fluctuations
Objective. Optimize the management of vaccine inventory and its effect on a vaccination campaign

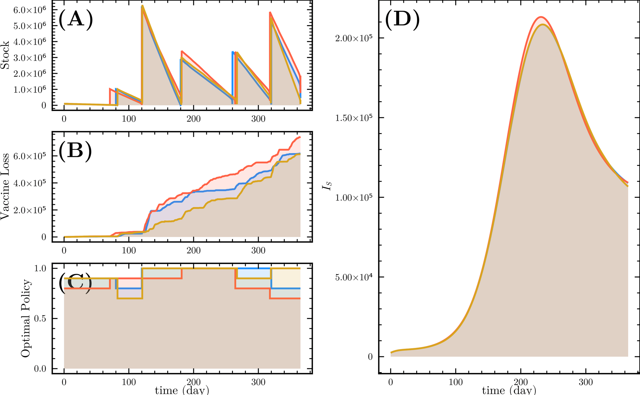
On October 13 2020, the Mexican government announced a vaccine delivery plan from Pfizer-BioNTech and other companies as part of the COVID-19 vaccination campaign.

Methods. Given a vaccine shipping schedule, we describe stock management with a backup protocol and quantify the random fluctuations due to a program under high uncertainty.
Then, we incorporate this dynamic into a system of ODE that describes the disease and evaluate its response.
Nonlinear control: HJB and DP
Given
Goal:
Desing
to follow
s. t. optimize cost
Agent
Nonlinear control: HJB and DP
Bellman optimality principle
Control Problem
s.t.


The effort invested in preventing or mitigating an epidemic through vaccination is proportional to the vaccination rate

Let us assume at the beginning of the outbreak:
Then we estimate the number of vaccines with
Then, for a vaccination campaign, let:

Then we estimate the number of vaccines with
Then, for a vaccination campaign, let:
Estimated population of Hermosillo, Sonora in 2024 is 930,000.
So to vaccinate 70% of this population in one year:










Base Model




Stock degradation due to Temperature



Agent
action
state
reward

















HJB (Dynamic Programming)- Curse of dimensionality
HJB(Neuro-Dynamic Programming)

Abstract dynamic programming.
Athena Scientific, Belmont, MA, 2013. viii+248 pp.
ISBN:978-1-886529-42-7

Rollout, policy iteration, and distributed reinforcement learning.
Revised and updated second printing
Athena Sci. Optim. Comput. Ser.
Athena Scientific, Belmont, MA, [2020], ©2020. xiii+483 pp.
ISBN:978-1-886529-07-6
Reinforcement learning and optimal control
Athena Sci. Optim. Comput. Ser.
Athena Scientific, Belmont, MA, 2019, xiv+373 pp.
ISBN: 978-1-886529-39-7


Powell, Warren B.
Reinforcement Learning and Stochastic Optimization: A Unified Framework for Sequential Decisions. United Kingdom: Wiley, 2022.



https://github.com/SaulDiazInfante/rl_vac.jl
https://slides.com/sauldiazinfantevelasco/mexsiam-2025-c12521/fullscreen


GRACIAS!!,
Preguntas?
MexSIAM-2025
By Saul Diaz Infante Velasco
MexSIAM-2025
Explore the fascinating world of dynamic programming and reinforcement learning through the insights of Dimitri P. Bertsekas. Discover techniques like HJB and rollout methods that can enhance your understanding and application in optimization!
- 131