Etude et modélisation mathématique des équations cinétiques à noyau de collision
Thèse supervisée par Laurent Boudin et Laurent Desvillettes
Thomas Borsoni
Laboratoire Jacques-Louis Lions
Comité de suivi de fin de 2e année de thèse
29 juin 2023
Comité : Ayman Moussa et Laure Quivy
L'équation de Boltzmann et ses variantes
Modèle originel : molécules monatomiques



Variante 1 : molécules polyatomiques
Variante 2 : fermions / bosons
Divers champs d'étude
Analyse
Modélisation
Simulation
- Existence et unicité de solutions
- Convergence vers l'équilibre
- Estimées
- Développement de modèles
- Obtention d'équations
- Validation du modèle
- Méthodes particulaires (Monte Carlo)
- Méthodes déterministes
Champs d'étude de ma thèse
Molécules polyatomiques
Fermions
Modélisation
Analyse
Simulation
L. Boudin, F. Salvarani, J. Mathiaud /
M. Bisi & M. Groppi
L. Desvillettes & B. Lods
Analyse
Molécules polyatomiques
- Dérivation des équations de Landau-Teller (relaxation de températures) depuis Boltzmann (n) [M]
- Implémentation d'un programme pour simulation Monte-Carlo [S]
- Extension de l'algorithme à toute molécule avec (*) [M]
- Justification de l'intérêt du modèle quasi-résonnant et création du-dit modèle [M]
Travail en cours - avec J. Mathiaud, participation L. Boudin et F. Salvarani
- Elaboration d'un cadre général (*) pour les modèles de gaz polyatomiques (n) [M]
- Dérivation, interprétation et détermination du précédent modèle existant [M]
- Extension aux mélanges de gaz avec ou sans réactions chimiques [M]
Travail effectué en pré-thèse - avec M. Bisi et M. Groppi
- Etude de la compacité d'un opérateur, lié au modèle polyatomique résonnant [A]
- Nouvelle preuve et interprétation géométrique de la preuve de Grad pour le cas monatomique [A]
Travail effectué en thèse - avec L. Boudin et F. Salvarani
Fermions
- Comparaison des entropies relative quantiques (fermions) et classiques (inégalités fonctionnelles) (n) [A]
- Avec ça, transfert de toute inégalité entropie-production d'entropie depuis le cadre classique vers le cadre quantique (fermions), que ce soit pour eq. Boltzmann (**) (n) ou pour eq. Landau [A]
- Obtention d'une généralisation des inégalités de Cziszàr-Kullback (\(L^p\) à poids) (~n) [A]
Travail effectué en thèse - supervisé par L. Desvillettes
- Adaptation d'estimées de B. class. vers B. quant. (fermions) (n) [A]
- Avec ça plus (**), preuve de convergence vers l'équilibre avec taux explicite pour B. quant. (fermions) [A]
Travail en cours - avec B. Lods
Bonus
- Généralisation des variantes de Boltzmann, formulation générale des équilibres
- Propriété suffisante (et je pense nécéssaire) générale pour équation fonctionnelle de Cauchy restreinte : connectivité collisionnelle ; preuve sur les convexes
Travail effectué
- Preuve que la n-sphère est collisionellement connectée
- Propsects : parabole ? Bords de convexes ?
Travail en cours - avec M. Dolbeault
Publications
(2022) A general framework for the kinetic modeling of polyatomic gases
(2023) An internal state kinetic model for chemically reacting mixtures of monatomic and polyatomic gases
(2023) Compactness property of the linearized Boltzmann operator for a polyatomic gas undergoing resonant collisions
avec M. Bisi et M. Groppi (ARPE)
avec L. Boudin et F. Salvarani
Preprint
(soumis) Extending Cercignani’s conjecture results from Boltzmann to Boltzmann-Fermi-Dirac equation
Modélisation des gaz polyatomiques
Compacité d'un opérateur
Inégalités fonctionnelles
(fermions)
(polyatomique résonnant)
(polyatomique)
sur un sujet de L. Desvillettes
Commun. math. phys.
Kinet. relat. models
JMAA
Enseignement (TD à Jussieu)
Séminaires (speaker invité)


Conférences (participant)
Déplacements pour collaborations
Divers
- Visite M. Bisi et M. Groppi à Parme (1 sem. octobre 2022)
- Visite B. Lods à Turin (2 sem. mars 2023)
- Visite J. Mathiaud à Bordeaux (1 sem. avril + 1 sem. juin 2023)
- Représentant des doctorants au LJLL avec R. Roussel et R. Delville-A.
- Je review actuellement un article
- Site internet pro: https://www.thomasborsoni.com
- Conférence à Parme (Ita.) (octobre 2022)
- Summer School à Pesaro (Ita.) (juin 2022)
- Conférence à Cortona (Ita.) (juin 2023) présentation d'un poster
Prévisions
- Collaboration avec J. Mathiaud (& Boudin & Salvarani) 1 à 2 article (s)
- Collaboration avec B. Lods 1 article
- Note (communication) sur cadre général + collaboration avec M. Dolbeault
2 articles à soumettre avant fin de thèse
6 articles total
Post-docs
- Premier contact Carrillo (Oxford) et Iacobelli (Zurich)
- Discussion financements
Merci pour votre attention !

quelques résultats
de cette année
## User's choices
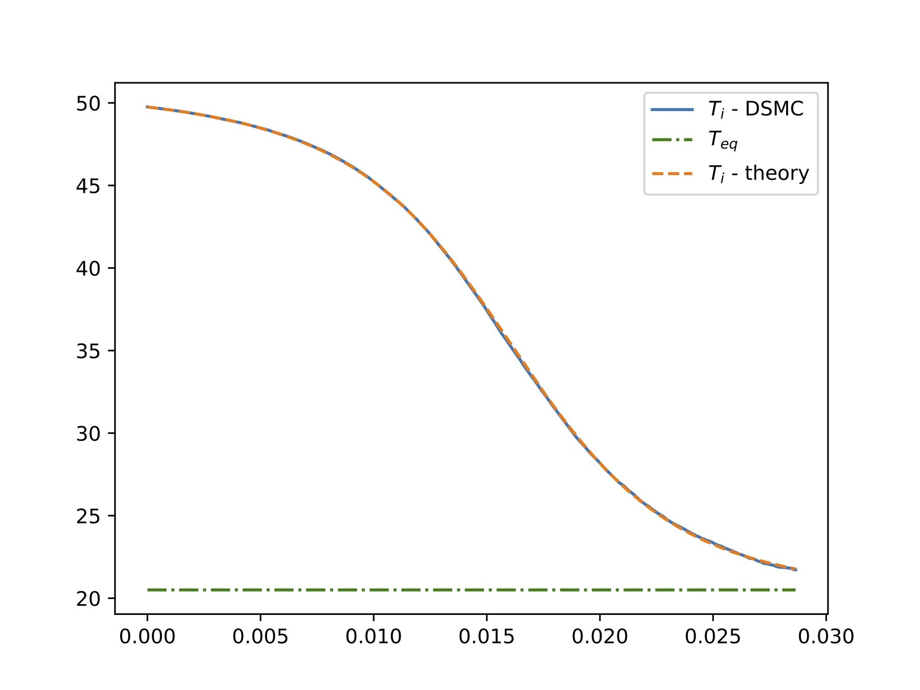
# Quasi-resonance parameter
q_r_param = .1
# Numerical parameters
Nb_particles = 40000
Nb_timesteps = 2500000
# Initial temperatures
Tk_init = 1
Ti_init = 50

>> Simulation took 7 minutes and 19 secondsSimulation quasi-résonnant
Fermions
Comparaison des entropies
Cziszàr-Kullback \(L^p\) à poids
Comité de suivi de thèse
By Thomas Borsoni
Comité de suivi de thèse
- 45