



STEP 1
人工 + 機器選定四個議題共八個立場的粉絲專頁
(機器爬有互相按讚的粉絲頁)



挺同粉絲頁清單
台灣同志諮詢熱線
學平盟 - 學生促進婚姻平權聯盟
台中同志遊行聯盟
媽祖的愛裡不分異同
台南粉紅點
出櫃台大 NTU lgbt
爽歪歪 Songyy-男同志性愉悅網站
TIQFF 台灣國際酷兒影展
胖貓咪與胖企鵝: 支持婚姻平權
譯同平權影像集
性別公民陣線
GayFamilyValues
貧窮同志參政團
淡江同進社 TKU LGBTQ Rights
婚姻平權革命陣線
STEP 2
將每個 user 標定
對八個議題取向的粉絲頁貼文的總按讚數
user_id |
挺同 |
反同 |
挺核 |
反核 |
統一 |
臺獨 |
挺死 |
廢死 |
123456 |
100 |
0 |
1 |
20 |
4 |
5 |
50 |
30 |
再取 z score 將各議題的按讚數 normalized
(使各議題權重相同)
STEP 3
k-means 分群

我們觀察到......

-
議題很小眾,絕大多數人在議題上未明顯表態。
6000人 vs 330000人
議題 | 人數 | 支持程度 |
反同 | 1303 | 11.3 |
無明顯表態 | 336432 | 0 |
超級挺死 | 30 | 68.3 |
同婚 | 907 | 13.5 |
挺死 | 911 | 10.1 |
廢死 | 527 | 18.7 |
挺核 | 548 | 18.7 |
反核 | 94 | 48.7 |
台獨 | 1440 | 10.9 |
統一 | 604 | 20.1 |
k means 分十群(total within sum of square 有局部最小值)
2. 非二元對立同溫層,而是很多個議題泡泡同溫層。

3. 超越傳統政黨藍綠二分的議題
挺核
反核
國民黨
時代
力量
民進黨
親民黨
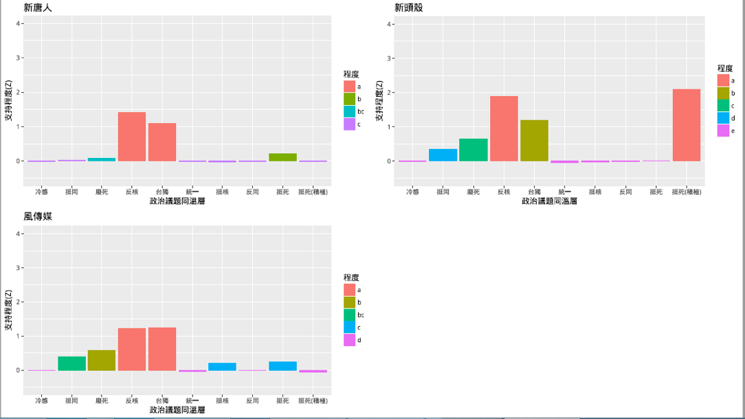
4. 不同同溫層閱讀不同的媒體

4. 不同同溫層閱讀不同的媒體

4. 不同同溫層閱讀不同的媒體
1 | QueerWatch 酷新聞 |
2 | ETtoday新聞雲 |
3 | 蘋果日報 |
4 | 社團法人台灣伴侶權益推動聯盟 |
5 | 台灣同志諮詢熱線 |
6 | 東森新聞 |
7 | 同學陣(力挺同性婚姻學生聯合陣線) |
8 | Age Of Queer 酷時代 |
9 | Yahoo!奇摩新聞 |
10 | 麥當勞 |
11 | Duncan |
12 | TIQFF 台灣國際酷兒影展 |
13 | 同言同語 |
14 | 性解放<U+306E>學姊 2.0 |
15 | 蔡英文 Tsai Ing-wen |
16 | 自由時報 |
17 | 桃色壞男孩 |
18 | The News Lens 關鍵評論網 |
19 | 苗博雅 MiaoPoya |
20 | 風傳媒 |
1 | 基督教今日報 |
2 | 基督教論壇報 |
3 | 水深之處(水深之<U+5904>) |
4 | GOOD TV 好消息電視台 |
5 | 東森新聞 |
6 | 新生命小組教會 |
7 | 佳音Love聯播網 |
8 | 口袋聖經協會 - 繁體中文版 |
9 | BBN 聖經廣播網 |
10 | Yahoo!奇摩新聞 |
11 | 張茂松 |
12 | 真情部落格 |
13 | Stream of Praise 讚美之泉 |
14 | ETtoday新聞雲 |
15 | LOGOS 樂果實 |
16 | Jesus is Lord 耶穌是主 |
17 | 蘋果日報 |
18 | River of Life Christian Church |
19 | Jesus Fashion |
20 | 基督<U+90AE><U+62A5> |
挺同
反同
-
議題很小眾
-
多議題的海膽同溫層
-
不同同溫層閱讀不同的媒體
-
超越藍綠的議題
小結
deck
By Yun-Chen Chien
deck
- 1,380