Responding to SARS-CoV-2 Variants:

primer-monitor.neb.com and Varskip multiplex sequencing

Date

Brad Langhorst

CDC SPHERES - Brad Langhorst - NEB - 2021-06-23

Talk Plan

  • Introduce primer-monitor.neb.com
  • Introduce varskip multiplex PCR primers
  • Next steps / Discussion

Why does NEB Care About SARS-CoV-2 Variants?

 We want be sure that our LAMP, qPCR and sequencing SARS-CoV2 kits can be updated as new variants arise

 

They don't like sunlight

Don't get them wet

Don't feed them after midnight!

https://medium.com/@Naturalish/gremlins-three-rules-an-evolutionary-analysis-de4c4fae2785

Other people probably need this too... FDA guidance

What can we do???

Shine some light

Aligned Sequences AY.1

Lineage Variants

Other Variants Matter for Diagnostics

Data, well-organized, is light

Nightly Download

Genome Alignment

Variant Calling

RelationalDatabase

Matt Campbell

Demonstration

Planned Features

  • More geographic detail ✅
  • Fully automated intake/update ✅
  • Automated visualization updates
  • Automated notification
  • Primer set scores
    • View primer set as a whole
    • Map based visualization
  • Variants by time
  • Suggestions welcome!

Variant Skip Design

Hypthesis: some genomic regions are more prone to variation than others.

Approach:

  • Identify variants seen in GISAID sequences (651,177 sequences as of 2021-03-08) seen > 2000 times
  • Mask known variant positions in reference genome with Ns
  • (bedtools maskfasta)
  • Design primers
  • Vary lengths, overlaps, GC, and variant frequency threshold (primalscheme)
  • Select best design
  • Additional primers as necessary

Varskip-long and varskip-short primers do not overlap >2500 variant sites (red) or variants from lineages of concern (yellow).

Orange ARTIC v3 primers overlap with a lineage of concern (yellow).  Many ARTIC primers overlap sites with more than 2500 variant observations (red)

Varskip Design Summary

Amplicon Summary

Cost/Benefit

  • Long vs. Short
    • Long : Lower "surface area"
    • Short : Lower consequence of failure
  • Questions:
    • Can we achieve good coverage with 1.4 kb amplicons in typical clinical samples?
    • Ct limitations? Initial results from beta testers show no relationship between Ct and coverage
    • What are the relative sensitivities of varskip-short vs varskip-long? Need more clinical results
    • Need to move quickly....
    • Will varskip avoid future variants?

Varskip Durablity

Multiplex PCR Design

Mutations

Increasing Lineages

2021-05-25

2021-06-23

6%

6%

6%

40%

P.1 (delta)

B.1.617.2 (delta)

Julia L. Mullen, Ginger Tsueng, Alaa Abdel Latif, Manar Alkuzweny, Marco Cano, Emily Haag, Jerry Zhou, Mark Zeller, Emory Hufbauer, Nate Matteson, Kristian G. Andersen, Chunlei Wu, Andrew I. Su, Karthik Gangavarapu, Laura D. Hughes, and the Center for Viral Systems Biology outbreak.info. Available online: https://outbreak.info/ (2020)

Initial Results

Lynne Apone, Luo Sun, Kayli Pinet

Linear

Log

Balanced Varskip Long ONT

ATCC 1986 strain, 1000 copies input, 250x data coverage

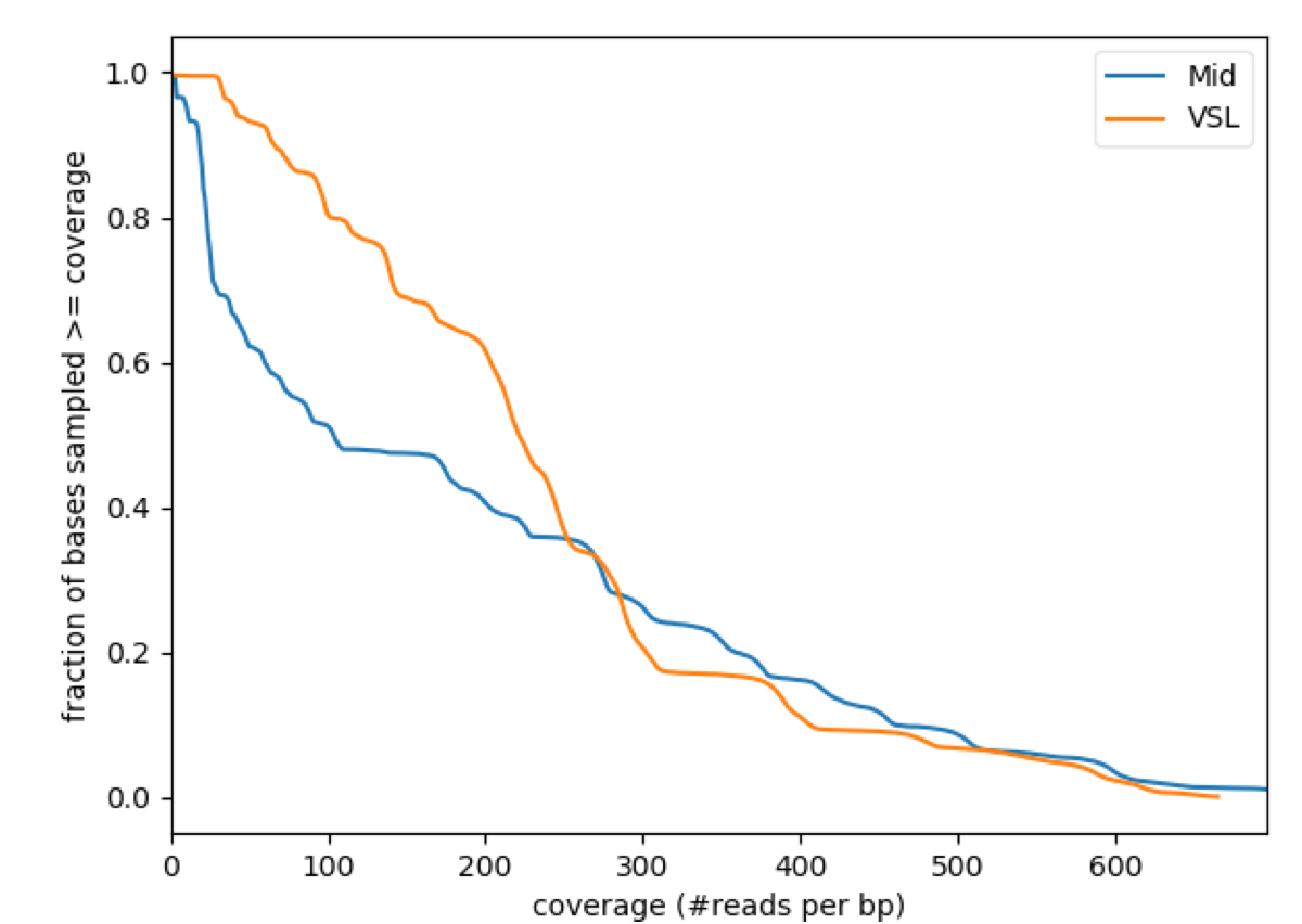
Varskip-long/Midnight 1200 Coverage

Varskip-long/Midnight 1200 Coverage

Varskip Short Coverage

Twist P.1 and B.1.351 controls look good (except at boundaries)

Thanks!

Matt Campbell

NEB Leadership

Nicole Nichols

Chris Mason

NEB LAMP, qPCR, and ARTIC folks

Discussion/ Questions

Possible Topics:

  • Can we achieve good coverage with 1.4 kb amplicons in typical clinical samples? Ct limitations?
    • Initial results from collaborators with clinical samples show good performance even at higher Ct (27-32)

CDC Spheres 2021-06-23 Primer Monitor, Varskip Sequencing

By Brad Langhorst

CDC Spheres 2021-06-23 Primer Monitor, Varskip Sequencing

  • 1,164