DEEP LEARNING

ARTIFICIAL INTELLIGENCE

LET'S BUILD TOGETHER

http://rockalabs.com

xergioalex

Sergio A. Florez

TECH LEAD && FULL STACK DEVELOPER

LET'S BUILD TOGETHER

LET'S BUILD TOGETHER

LET'S BUILD TOGETHER

LET'S BUILD TOGETHER

LET'S BUILD TOGETHER

LET'S BUILD TOGETHER

ARTIFICIAL INTELLIGENCE

LET'S BUILD TOGETHER

WEEK AI

LET'S BUILD TOGETHER

STRONG AI

LET'S BUILD TOGETHER

SUPER AI

LET'S BUILD TOGETHER

SINGULARITY AI

LET'S BUILD TOGETHER

MACHINE LEARNING

Field of A.I focused on systems that can learn autonomously.

LET'S BUILD TOGETHER

Learning in this context means finding complex patterns in millions of data

 

SUPERVISED LEARNING

LET'S BUILD TOGETHER

Allows to make future predictions based on behaviors or characteristics that have been seen in the data already stored

UNSUPERVISED LEARNING

LET'S BUILD TOGETHER

Use historical data that are not labeled The purpose is to explore them to find the structure or the way to organize them.

EXAMPLE OF UNSUPERVISED LEARNING

K-NN

LET'S BUILD TOGETHER

NEURONAL NETWORKS

LET'S BUILD TOGETHER

They are the basis of all AI. They work exactly like the neurons of our brain at the conceptual level.

NEURONAL NETWORKS

LET'S BUILD TOGETHER

Knowledge works through inputs that arrive through our senses (sight, touch, smell, hearing, taste), in machines these inputs are simply data that we pass by ram memory to an algorithm.

PERCEPTRON

LET'S BUILD TOGETHER

LET'S BUILD TOGETHER

LET'S BUILD TOGETHER

DEEP LEARNING

Learning at multiple levels, each hidden layer is responsible for recognizing different characteristics, and deliver them as input to the next layer.

LET'S BUILD TOGETHER

MATEMHATICS, LINEAR ALGEBRA, CALCULUS, STATISTICS && GRAPHS

LET'S BUILD TOGETHER

VECTORIZATION

The art of getting rid of the for loops in the code

LET'S BUILD TOGETHER

LET'S BUILD TOGETHER

APLICATIONS

LET'S BUILD TOGETHER

SEARCH AND PATTER RECOGNITION

LET'S BUILD TOGETHER

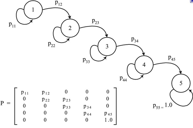
PREDICTIONS

(Markov chains)

LET'S BUILD TOGETHER

IMAGE RECOGNITION

 

LET'S BUILD TOGETHER

DIGITS RECOGNITION

LET'S BUILD TOGETHER

SHOW AND TELL (Accesibility)

LET'S BUILD TOGETHER

STELLARATOR

LET'S BUILD TOGETHER

LET'S BUILD TOGETHER

http://rockalabs.com

xergioalex

Sergio A. Florez

TECH LEAD && FULL STACK DEVELOPER

Introduction to AI and Deep Learning

By product@dailybot.com

Introduction to AI and Deep Learning

Introduction to AI and Deep Learning

  • 2,216