Geomove
Estudio dinámico de la movilidad escolar mediante tecnologías web de geolocalización




Alberto Varela García, Luis Hernández Ibañez, Margarita Novales Ordax, Alfonso Orro Arcay, Javier Gutiérrez Puebla y David Fernández Arango
Licencia CC BY-SA 4.0
Madrid, 28 de octubre de 2015
Propuesta de resolución definitiva para la concesión de subvenciones destinadas al desarrollo de proyectos de investigación en el área de tráfico, movilidad y seguridad vial, correspondientes al ejercicio 2015, convocatoria efectuada por Resolución de 1 de julio de 2015, de la Dirección General de Tráfico
(B.O.E. núm. 160, de 6 de julio)
35 proyectos subvencionados de 134 presentados para 1.438.684 euros totales

Línea 4A.
ANÁLISIS DEL COMPORTAMIENTO DE LOS USUARIOS VULNERABLES Y MEDIDAS DE PROTECCIÓN (Área PROGRAMAS DE MOVILIDAD)
Línea 4G.
APLICABILIDAD DE NUEVAS TECNOLOGÍAS (Área PROGRAMAS DE MOVILIDAD)
PLANTEAMIENTO
Los desplazamientos a centros de enseñanza son unos de los comportamientos de movilidad más sensibles
* Por la vulnerabilidad de los usuarios
* Por la temporalidad de movimientos
Disponer de información relevante sobre modos de desplazamiento y viales utilizados es complejo de conseguir de forma global
PLANTEAMIENTO
Encuestas geolocalizadas
* modos de transporte
* comportamientos en desplazamientos
* localizaciones y recorridos
PLANTEAMIENTO

* Conocer las características y especificidades de los desplazamientos en centros educativos
* Estudiar la relación de comportamientos de movilidad con las condiciones técnicas de los viales
* Estudio específico para ámbitos rurales (Galicia)
OBJETIVOS
Movilidad (O2)
* Análisis de la aplicación de tecnologías web de geolocalización en estudios de movilidad
Tecnología (O1)
* Alberto Varela García (IP)
* Luis Hernández Ibañez
EQUIPO INVESTIGADOR
Grupo Visualización Avanzada y Cartografía - UDC
* Margarita Novales Ordax
* Alfonso Orro Arcay
Grupo Ferrocarriles y Transportes - UDC
* Javier Gutiérrez Puebla
Grupo Transporte, Infraestructuras y Territorio - UCM
* Estrategia de Seguridad Vial 2011-2020 DGT
* "Camino escolar seguro" DGT y FEMP
* Estudio Audi Attitudes - INTRA 2009 (59% andando; 18% transporte escolar)
* Estudio movilidad UDC 2010 (Alfonso Orro)
* Diseño de un cuestionario de movilidad (Lardelli et al., 2012)
ANTECEDENTES
Movilidad
* Domicilios en SIG - Datos agregados
* emapic.es INNOVACIÓN
Tecnología
* Aplicación basada en tecnología web de geolocalización
* Análisis fiablidad de ubicaciones
* Elaboración cuestionario de movilidad escolar
* Desarrollo encuestas geolocalizadas
METODOLOGÍA
1. Diseño de encuestas mediante tecnología web de geolocalización

+
Localización domicilio
Recorrido domicilio-colegio
Ubicación de problemas
DESARROLLOS ESPECÍFICOS PARA GEOMOVE
METODOLOGÍA
* Campaña movilidad sostenible
* Beneficios para los centros educativos
* Tratamiento de datos obtenidos
* Análisis de encuestas de movilidad
* Análisis geoespacial y de accesibilidad
2. Análisis movilidad escolar




METODOLOGÍA
* Campaña movilidad sostenible
* Beneficios para los centros educativos
* Tratamiento de datos obtenidos
* Análisis de encuestas de movilidad
* Análisis geoespacial y de accesibilidad
2. Análisis movilidad escolar
A nivel de centro educativo
- Participar en la iniciativa http://caminoescolarseguro.com/
- Estudio de accesibilidad al centro educativo
A nivel de aula
- Fomento de la Cartografía y el empleo de mapas
-
Familiarización con conceptos:
- Movilidad sostenible y camino escolar seguro
- Geografía y Cartografía
- Nuevas tecnologías de la información
- Estadística
METODOLOGÍA
2. Análisis movilidad escolar
1. Depurado de valores atípicos en diferentes ítems
2. Filtrado de rutas domicilio-colegio

* Campaña movilidad sostenible
* Beneficios para los centros educativos
* Tratamiento de datos obtenidos
* Análisis de encuestas de movilidad
* Análisis geoespacial y de accesibilidad
METODOLOGÍA
2. Análisis movilidad escolar
* Medios de transporte más habituales
* Personas que suelen acompañar a los alumnos
* Tiempos de recorrido
* Percepciones sobre el recorrido
* Elementos encontrados en el trayecto
* Conocimientos de los tramos que se realizan andando
* Datos sobre entorno familiar
* Modo de transporte preferido
* Motivos para desplazarse en coche
* Hábitos durante los recorridos en coche
* Accidentes en el trayecto
* Empleo del teléfono móvil
* Motivos para desplazarse a pie
* Campaña movilidad sostenible
* Beneficios para los centros educativos
* Tratamiento de datos obtenidos
* Análisis de encuestas de movilidad
* Análisis geoespacial y de accesibilidad
METODOLOGÍA
2. Análisis movilidad escolar
1. Rutas óptimas domicilio-colegio
1.1. Distancias
1.2. Zonificación por distancia
1.3. Estudio de concentración de recorridos en cada tramo
2. Análisis densidad de domicilios en el entorno de cada centro educativo
2.1. Conteo de domicilios en cada zonificación
3. Análisis de concentración de problemas/peligros en los recorridos
* Campaña movilidad sostenible
* Beneficios para los centros educativos
* Tratamiento de datos obtenidos
* Análisis de encuestas de movilidad
* Análisis geoespacial y de accesibilidad
RESULTADOS
1. Diseño de encuestas mediante tecnología web de geolocalización

RESULTADOS
1. Diseño de encuestas mediante tecnología web de geolocalización

RESULTADOS
1. Diseño de encuestas mediante tecnología web de geolocalización

RESULTADOS
1. Diseño de encuestas mediante tecnología web de geolocalización

RESULTADOS
1. Diseño de encuestas mediante tecnología web de geolocalización

RESULTADOS
1. Diseño de encuestas mediante tecnología web de geolocalización

RESULTADOS
1. Diseño de encuestas mediante tecnología web de geolocalización

RESULTADOS
1. Diseño de encuestas mediante tecnología web de geolocalización

RESULTADOS
* Campaña movilidad sostenible
* Análisis de encuestas de movilidad
* Descriptivo
* De correspondencias múltiples
* Análisis geoespacial y de accesibilidad
2. Análisis movilidad escolar


RESULTADOS
* Campaña movilidad sostenible en entornos escolares
* Análisis de encuestas de movilidad
* Descriptivo
* De correspondencias múltiples
* Análisis geoespacial y de accesibilidad
2. Análisis movilidad escolar
Medio de transporte empleado para ir al colegio el día de la encuesta Geomove
| Transporte habitual (día de la encuesta) | nº respuestas | Porcentaje (%) |
|---|---|---|
| Coche | 803 | 42.6 |
| Andando | 595 | 31.6 |
| Bus escolar | 399 | 21.2 |
| Bus público | 64 | 3.4 |
| Bicicleta | 5 | 0.3 |
| Moto | 9 | 0.5 |
| Otros | 8 | 0.4 |
| Total | 1883 | 100 |
RESULTADOS
* Campaña movilidad sostenible en entornos escolares
* Análisis de encuestas de movilidad
* Descriptivo
* De correspondencias múltiples
* Análisis geoespacial y
de accesibilidad
2. Análisis movilidad escolar
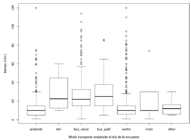
Distribución de tiempos dados por los encuestados en función del medio de transporte empleado el día de la encuesta

RESULTADOS
* Campaña movilidad sostenible en entornos escolares
* Análisis de encuestas de movilidad
* Descriptivo
* De correspondencias múltiples
* Análisis geoespacial y
de accesibilidad
2. Análisis movilidad escolar
Frecuencia de domicilios ubicados en el entorno de los colegios

RESULTADOS
* Campaña movilidad sostenible en entornos escolares
* Análisis de encuestas de movilidad
* Descriptivo
* De correspondencias múltiples
* Análisis geoespacial y de accesibilidad
2. Análisis movilidad escolar


Distancias domicilio-colegio
Medios de transporte empleados
RESULTADOS
* Campaña movilidad sostenible en entornos escolares
* Análisis de encuestas de movilidad
* Descriptivo
* De correspondencias múltiples
* Análisis geoespacial y de accesibilidad
2. Análisis movilidad escolar

Diagrama conjunto de puntos de modos de transporte habituales y el usado en el día de la encuesta, con las percepciones en el recorrido
RESULTADOS
* Campaña movilidad sostenible en entornos escolares
* Análisis de encuestas de movilidad
* Descriptivo
* De correspondencias múltiples
* Análisis geoespacial y de accesibilidad
2. Análisis movilidad escolar


Rutas más transitadas
Rutas más transitadas
RESULTADOS
* Campaña movilidad sostenible en entornos escolares
* Análisis de encuestas de movilidad
* Descriptivo
* De correspondencias múltiples
* Análisis geoespacial y de accesibilidad
2. Análisis movilidad escolar

Ubicación de problemas
RESULTADOS
* Campaña movilidad sostenible en entornos escolares
* Análisis de encuestas de movilidad
* Descriptivo
* De correspondencias múltiples
* Análisis geoespacial y de accesibilidad
2. Análisis movilidad escolar

DIFUSIÓN
Fichas individuales por colegio
Visor web de participantes en tiempo real
Visor web de resultados
Web de Geomove
Artículos científicos
Asistencia a congresos
¿CÓMO PARTICIPAR?
Si formas parte de un centro educativo o una organización que contribuye a fomentar la movilidad escolar sostenible y quieres participar en GEOMOVE, puedes hacerlo en ...
AGRADECIMIENTOS
Este trabajo ha sido financiado por la Dirección General de Tráfico a través del proyecto Estudio dinámico de la movilidad escolar mediante tecnologías web de geolocalización (SPIP2015-01867).
Queremos expresar nuestro agradecimiento a todo el personal de las instituciones participantes (Ministerio del Interior, DGT, UDC, CartoLAB, Ferrotrans y tGIS) así como a los alumnos, profesores y demás personal laboral de los centros educativos que con su colaboración han hecho posible la consecución de este proyecto.
CONTACTO
El proyecto GEOMOVE ha sido elaborado con Emapic, una tecnología que permite crear y gestionar encuestas web geolocalizadas, desarrollada por el Laboratorio de Ingeniería Cartográfica (CartoLAB) de la Escuela de Caminos, Canales y Puertos de la Universidade da Coruña.
Más información en http://geomove.es y https://emapic.es
info@emapic.es
Geomove I. Estudio dinámico de la movilidad escolar mediante tecnologías web de geolocalización by Alberto Varela García, Luis Hernánez Ibañez, Margarita Novales Ordax, Alfonso Orro Arcay, Javier Gutiérrez Puebla y David Fernández Arango is licensed under a Creative Commons Attribution-ShareAlike 4.0 International License.

Estudio dinámico de la movilidad escolar mediante tecnologías web de geolocalización. Proyecto Geomove Fase I.
By darango
Estudio dinámico de la movilidad escolar mediante tecnologías web de geolocalización. Proyecto Geomove Fase I.
Presentación divulgativa para colegios participantes en proyecto Geomove.
- 1,385