Presentations
Templates
Features
Teams
Pricing
Log in
Sign up
Log in
Sign up
Menu
Controle de versão
O que é controle de versão?
Sistemas de Controle de versão
Open source
CVS
Subversion
Git
Mercurial
Proprietários
Sourcesafe
TFS
Bitkeeper
Soluções atuais
Git
SVN
Mercurial
Tipos de Controle de versão
Local
Centralizado
Distribuído
Git
SVN, CVS etc
Git, Mercurial etc
Fluxo local
Clico de vida do status do arquivo
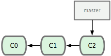
Branches
Comandos básicos
GitHub
Obrigado!
@doriansneto
dorianneto.com.br
Controle de versão
By Dorian Neto
Made with Slides.com
Controle de versão
2,173
Dorian Neto
dorianneto.com
doriansneto
More from
Dorian Neto