Blokzincir,
Kriptopara ve Güvenlik
Ömer Faruk CAN
Blokzincirin Hikayesi
TAKAS
İki değerin karşılıklı değiştirilmesidir
M.Ö 800
EXCHANGE
ELMA
ARMUT
| Alinin Envanteri | Velinin Envanteri |
|---|---|
| 1x Elma | 1x Armut |
| Alinin Envanteri | Velinin Envanteri |
|---|---|
| 1x Armut | 1x Elma |
Takastan önce
Takastan sonra
| Alinin Envanteri | Velinin Envanteri | Mahmutun Envanteri |
|---|---|---|
| 1x Elma | 1x Armut | 1x Muz |
Ali muz yemek istiyor. Fakat Mahmut Elma istemiyor.
Artık sadece Veli aracılık ettiği zaman ikisi mutlu olabilecek.
Burada herkesin istediği ve bundan dolayı herkesin takas için sunabileceği ortak bir araç devreye giriyor :
PARA
Takas aracıdır.
Örnek paralar
Altın, Akçe, Lira, Dolar,Yen,Bitcoin vb.
1. TAKAS ARACI
Bir mal veya hizmet verilip, karşılığında para alınır, başka bir yer ve zamanda ise para verilip başka bir mal veya hizmet, alınır.
Artık "takas etmek" yerine
- Satın almak (Buying)
- Satmak (Selling)
PARANIN FONKSIYONU
ELMA
ARMUT
PARA
MUZ
Böylelikle ticareti kolaylaşır.
Çünkü para herkesin ortak olarak istediği ve kullandığı bir araç olmuştur
2. DEGER BIRIMIDIR
Farklı malların değişiminde, değişim oranları, para ile belirlenir.
Her takas sırasında değer biçmek ve oranları belirlemek gerekecekti. Fakat artık bu daha kolay oluyor.
PARANIN FONKSIYONU
1kg Patates
0.4kg Elma
0.3kg Soğan
0.5kg Muz
0.6kg Armut
0.6 btc
1kg Patates
3 Lira
1kg Elma
2 Lira
1kg Muz
7 Lira
3. DEGER DEPOLAMA VE BIRIKTIRME
Sermaye birikimini ve yatırımını sağlar.
Arz ve talebin rahatlıkla karşılanmasını sağlar.
3 yıl paranı biriktirip Araba alabilirsin. Ama 3 yıl elma biriktirip araba alamazsın. (çürür)
Kışın kömür satıp, onunla yaz aylarında dondurma alabilirsin. (Kışın kömür fiyatı artar, yazında dondurma fiyatı artır)
2009'de btc'ye yatırım yapıp 2017'de zengin olabilirsin.
PARANIN VERSIYONLARI
| Para | Varlık | Sanallık | Sözleşme | Merkez | Devlet | Temsil |
|---|---|---|---|---|---|---|
| Emtia Para | Somut | Maddi | Var | Var | Var | - |
| Temsili Para | Somut | Maddi | Var | Var | Var | Emtia p. |
| İtibari Para | Somut | Sanal | Var | Var | Var | - |
| Alt. Para | Somut | Sanal | Var | Var | Yok | - |
| Dijital Para | Soyut | Sanal | Var | Var | Var | İtibari p. |
| Sanal Para | Soyut | Sanal | Var | Var | Var | - |
| Kripto Para | Soyut | Sanal | Akıllı | Yok | Yok/? | ? |
Emtia para
Altın ve Gümüş
bakır, tuz, çay, inci, fildişi, sığır, demir, köle, sigara,lale,zeytin
Para 1.0
MÖ 700 - Lidya
En yaygın emtia para Altın ve Gümüştür.
Bunlar ağır metaldir , nadirdir ve kolay tepkimeye girmez ,kolay işlenir ve güzel gözükürler.
Oluşumları için kozmik seviye basınç ve sıcaklık gerekir. Bu madenler süper nova ve nötron yıldızlarında oluşmuştur.
Devlet bu maddelerin kendi darphanelerinde şekillendirip para basmıştır.
| Para | Varlık | Sanallık | Sözleşme | Merkez | Devlet | Temsil |
|---|---|---|---|---|---|---|
| Emtia Para | Somut | Maddi | Var | Var | Var | - |
| Temsili Para | Somut | Maddi | Var | Var | Var | Emtia p. |
| İtibari Para | Somut | Sanal | Var | Var | Var | - |
| Alt. Para | Somut | Sanal | Var | Var | Yok | - |
| Dijital Para | Soyut | Sanal | Var | Var | Var | İtibari p. |
| Sanal Para | Soyut | Sanal | Var | Var | Var | - |
| Kripto Para | Soyut | Sanal | Akıllı | Yok | Yok/? | ? |
Devlet mührüyle bu paraların saflığını ve geçerliliğini onaylamış olur. Ve o devletin halkı tarafından kullanılması zorunlu tutulur.
Bu paralara güven devletten gelir. Ve eritilip başka bir devlet tarafından tekrar basılabilir
Temsili para
Altın ve gümüş olarak karşılığı olan paradır
İçinde belli oranda altın olan madeni paralar, altın fiyatı yükseldiğinde birileri tarafından, eritilerek içindeki altının alınma riskiyle karşı karşıyadır.
Altın ve gümüş ağır olduğu için taşınması zordur.
İlk defa 10-12yy arasında Çinin Song hanedanlığı ve onun mobilize düşmanı Moğol imp. tarafından yaygın olarak kullanıldı.
Dolar popülerlik kazanana kadar Temsili bir paraydı.
Para 2.0
ITIBARI PARA
günümüz
Para 3.0
1944'te pek çok ülkenin parasının Dolar endekslenmesine ve Sadece doların altın karşılığı olmasına karar verildi.
1 dolar = 0.88 gr altın
Böylelik Dolar hariç bütün paralar İtibari para oldu
1971'de doların altın karşılığı olması zorunluluğu ABD tarafından kaldırıldı. Artık Dolarda bir İtibari paraydı ve istendiği kadar basılabilecekti
TL , EURO , DOLAR, YEN
| Para | Varlık | Sanallık | Sözleşme | Merkez | Devlet | Temsil |
|---|---|---|---|---|---|---|
| Emtia Para | Somut | Maddi | Var | Var | Var | - |
| Temsili Para | Somut | Maddi | Var | Var | Var | Emtia p. |
| İtibari Para | Somut | Sanal | Var | Var | Var | - |
| Alt. Para | Somut | Sanal | Var | Var | Yok | - |
| Dijital Para | Soyut | Sanal | Var | Var | Var | İtibari p. |
| Sanal Para | Soyut | Sanal | Var | Var | Var | - |
| Kripto Para | Soyut | Sanal | Akıllı | Yok | Yok/? | -/? |
Kripto para
Kriptolojik olarak transfer yapmaya ve ek sanal para arzı sağlayan paralardır.
Hem alternatif,hem dijital, hem sanal bir paradır.
Akıllı sözleşmedir.
Kripto-paralar, merkezi elektronik paraların ve bankacılık sistemlerindekinin aksine, merkezi olmayan yapıdadırlar. Merkezi olmayan bu yapının kontrolü Blok-Zincir (BlockChain) işlem veritabanları tarafından gerçekleştirilir.
Hiç bir hükümet yetkilisi bu fonlara el koyamaz ve hiç bir banka bu transferleri engelleyemez
2008
Aracıya ve güvene ihtiyaç yoktur.
İşlemler anonimdir, takma adlarla/adreslerle yapılır.
İşlemler şeffaftır, hızlı ve küreseldir. Tüm işlemler, isteyen herkes tarafından görülebilir.
Güvenliği ordular, askerler ile değil. Matematiksel / kriptografik algoritmalar ile sağlanır

Ademi Merkeziyet
p2p
Neden decentralized?
Bitcoın
İlk Kriptopara
2008 yılındaki küresel finansal krizde, ülkeler uçurum kenarına kadar yaklaştılar. 1930'lardaki Büyük Dünya Bunalım'ını tekrar yaşamamak için Merkez bankaları, para basıp, faiz oranlarını azalttılar. Batmakta olan pek çok banka, iflasın eşiğinden kurtarıldı, ancak bu kurtarmanın bedeli, para birimlerinin değer kaybı ve vergi artışları olarak halka yansıdı
Merkezi olmayan para birimi Bitcoin, tam da aracı kurumlara, bankalara ve merkez bankalarına, hatta hükümetlere güvenin azaldığı bir ortamda ortaya çıktı
Merkez bankaları para basarak halkın cebindeki "değeri" hiç dokunmadan kendi üzerine geçiriyor. Devletler ise daha fazla vergi alarak halkın cebinden parayı direkt kendi üzerine geçiriyor.
Güven
Güvene ihtiyaç duymayan sözlesmeler
Güvene ihtiyaç duymayan para
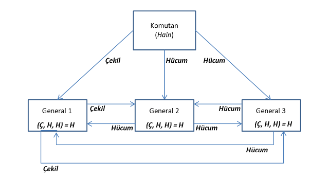
Bizans generalı problemı
Bizans Hata Toleransı
Başarılı olmak için generaller aynı anda 4 yandan kaleye saldırmalı fakat kesin olarak hepsi biliyor ki aralarından bunu engelleyecek bir hain var. Bu hain komutanda olabilir generallerden birisi de.

Çözüm :
Herkes komutandan aldığı emri diğer generallere bildirir ve baskın emri uygularlar

Ya komutan hainse?
Böylelikle birbirine güvenmeyen generaller başarılı bir hücum ile kaleyi alırlar
Bu general ağının %51'i hain olmadığı sürece başarısız bir hücum yapamazlar
BLOKZINCIR
Hash fonksıyonu
Verinin değiştirilmeden durduğunu ispatlar
n -> 1 'dir.
Geri döndürülemez.
Sonsuz uzunluklardaki veriyi özetleyip , sabit bir uzunlukta özet üretir.
Bu verinin 1 biti değiştiğinde, özetin neredeyse tamamen değişmesi beklenir.

| Blok | Bloğun Hash |
|---|---|
| İlk mesaj (Genesis Block) | c2af7de295e2da0afd99f663e22cb990 |
| 2. mesaj ÖNCEKİ:c2af7de29... | 0228b3ba08d8f89ddfa715c99a3d6c3c |
| 3. mesaj ÖNCEKİ:0228b3ba... | 84836dfbb19804370b140d6c9e21dda8 |
| ... | ... |
Ya bir bloğu önceki bloğun hashıyla hashlersek?
Her bir yeni blok, önceki bloğun hashiyle beraber zincire eklenir. Ve verinin bloğunun değişmediği uzun hash zinciri ile doğrulanır.
Peki bu şekilde bir zincir ne işe yarayacak?
Bizans generalleri kaleyi ele geçirmiştir. Ganimetlerin kaydını doğru bir şekilde tutmaları gerekmektedir. Fakat içlerinde bir hain olduğunu bilmektedirler ve bu hain hazineye giren/çıkan kayıtları sabote etmek istemektedir.

Bir general hazine envanterinde işlem yapmak istediğinde , bir işlemi kendi kayıt defterine yazar ve imzalar.

Defterinin hashini ve son işlemi imzalı olarak bütün generallere gönderir.

Diğer generaller imzayı ve son işlemin hashinin kendi defteriyle uyumluluğu kontrol ederler. Kuşatma da olduğu gibi. Uyumluysa ve herkes onaylıyorlarsa kendi defterlerini yazarlar.

Böylelikle herkesin envanter defterini işlem eklenmiş olur.
Hainin defteri farklı olacağını için asla hashi ve işlemi onaylanmayacaktır.
(Tabi %51'i hain olmadığı müddetçe)
Blok
Bir blok headeri aşağıdakilerden oluşur.
Block version: Blok doğrulama kurallarını belirten, bir versiyondur.
Parent block hash: önceki bloğun 256-bit hash değeridir
Merkle tree root hash: Bloğun içindeki tüm işlemlerin hashidir.
Timestamp: Bloğun o anki timestamp değeridir bu 1970-01-01T00:00 UTC tarihinden itibaren bir tamsayı olarak hesaplanır. nBits: Hash hedef bitleridir. Nonce: 4 bitlik bir değerdir 0 dan başlayarak her hash işleminde artar.
Bir blok bodysi transaction sayısını ve transactionları içerir.

Dijital imzalama
Blokzincir de, imzalanacak verinin hashı private key ile şifrelenir. Veri o şifrelenmiş imzayla beraber gönderilir. Doğrulayacak kişi , public key ile deşifre edip, verinin hashı ile imzanının hashi karşılaştırarak doğrulama yapar.


KUllanım alanları
Finans : Bankacılık ve finans alanında blokzincir maliyetleri ve riskleri düşürmektedir ve eski düzeni bozmuştur. Büyük firmaların ilgisini çekmiştir. Microsoft Azure ve IBM Blockchain-as-a-Service hizmetleri vermeye başlamıştır. P2P bir market ağı oluşturmuştur. Yatırım risklerinin tespitinde blokzincir kullanıldığı gözlemlenmiştir. İş şemalarında değişikliklere sebep olmuştur.
IoT : Sensor verilerinin akıllı sözleşmeler ile üçüncü bir tarafa ihtiyaç duymadan paylaşımında etkileri olmuştur. Blokzincir , IoT bulut sistemlerinde gizliliğin korunmasında katkı sağlamıştır.
Sosyal Kamu Hizmetleri : Blokzincirin tapu kayıtlarında akıllı sözleşmeler ile katkıları olmuştur. Solarcoin ile yenilenebilir enerji üreticilerini destekleyen bir kriptopara ağı yapılmıştır. Üretilen enerjiyle solarcoin madenciliği yapılmaktadır.
Eğitim : Online eğitimlerde, başarılar ve sertifikalar blok zincir ağı ile onaylanmaya başlamıştır.
Özgür İfade : Blokzincir özgür düşüncelerin yayılmasında , korunmasında ve sansürlerinin engellenmesinde kullanılmıştır.
İtibar sistemi : Blokzincir ne kadar kişinin size güvendiğini ve itibar ettiğini gösterebilmektedir. Bu akademilerde, web kominitelerinde önem taşımaktadır.
Veri Güvenliği : Verinin dağıtık ve kriptografik olarak tutulması büyük avantajlar getirmiştir.
Telif hakkı güvenliği : Verinin timestamp ile hashlenmesi o verinin telif haklarının güvenliğini sağlamaktadır.
Sahte Haberciliğin önlenmesi : Hashlemek ve imzalamak bilgiyi bütün nodüllere bildirmek sahte haberciliğin önüne geçecektir.
KAYNAKÇA
Bitcoin: A Peer-to-Peer Electronic Cash System - Satoshi Nakamoto https://bctr.org/wp-content/uploads/2019/03/ingilizce_bitcoin.pdf
Sermaye Piyasa Kurulu - Bitcoin Raporu - https://www.ekovizyon.com.tr/wp-content/uploads/2017/01/SPK-Bitcoin-Raporu.pdf
Practical Byzantine Fault Tolerance - Miguel Castro and Barbara Liskov - http://pmg.csail.mit.edu/papers/osdi99.pdf
Berkeley AIR 2016 - https://j2-capital.com/wp-content/uploads/2017/11/AIR-2016-Blockchain.pdf
Harvard Business Review - The Truth About Blockchain - https://enterprisersproject.com/sites/default/files/the_truth_about_blockchain.pdf
Blockchain challenges and opportunities: a survey - https://www.researchgate.net/profile/Hong-Ning_Dai/publication/328271018_Blockchain_challenges_and_opportunities_a_survey/links/5bd2706f92851c6b278f31eb/Blockchain-challenges-and-opportunities-a-survey.pdf
How to Time-Stamp a Digital Document - Stuart Haber - https://www.anf.es/pdf/Haber_Stornetta.pdf
PROTOCOLS FOR PUBUC KEY CRYPTOSYSTEMS - Ralph C. Merkl - http://www.merkle.com/papers/Protocols.pdf
Merkle Tree Traversal in Log Space and Time - Michael Szydlo - https://link.springer.com/content/pdf/10.1007%2F978-3-540-24676-3_32.pdf
The future of Free speech, Trolls, Anonymity And Fake News 2016- http://www.elon.edu/docs/e-web/imagining/surveys/2016_survey/Pew and Elon University Trolls Fake News Report Future of Internet 3.29.17.pdf
Blokzincir
By Faruk CAN
Blokzincir
- 1,345