Доклад
Математическо моделиране на
нервни импулси.
Модел на Ходжкин – Хъксли.
Доклад
Математическо моделиране на
нервни импулси.
Модел на Ходжкин – Хъксли.
Кои сме ние?
Галина Люцканова
Мария Паскова
Николай Стойков
Кой ни ръководи и помага ?
Ръководител : Тихомир Иванов
В часовете по Биология
- Кои сме ние?
- Как мислим?
- Как функционира нашето тяло?
- Защо имаме толкова много системи?
TED talks
Сюзан Хоузел
- Защо
ние изучаваме животните, а не те нас?

супа от мозък за намиране на точния брой неврони

Готвенето

Приложения на невронауката


Устройство на неврона
Свойства на мембраната

Кондензатор

Електрическо поле

Електрически заряд
Формула на тока

три вида ток
- Кондуктивен
- Капацитивен
- Дифузионен
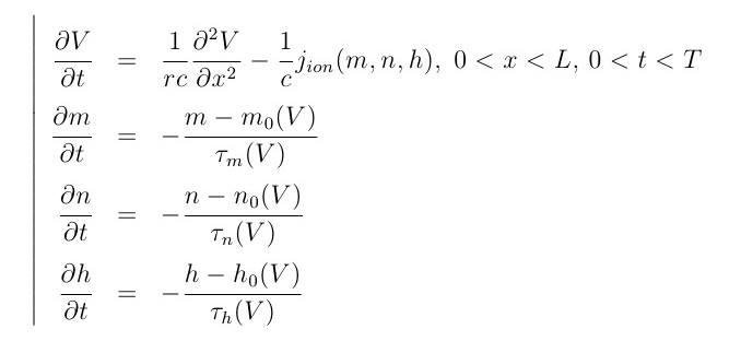
Калиево - натриева помпа

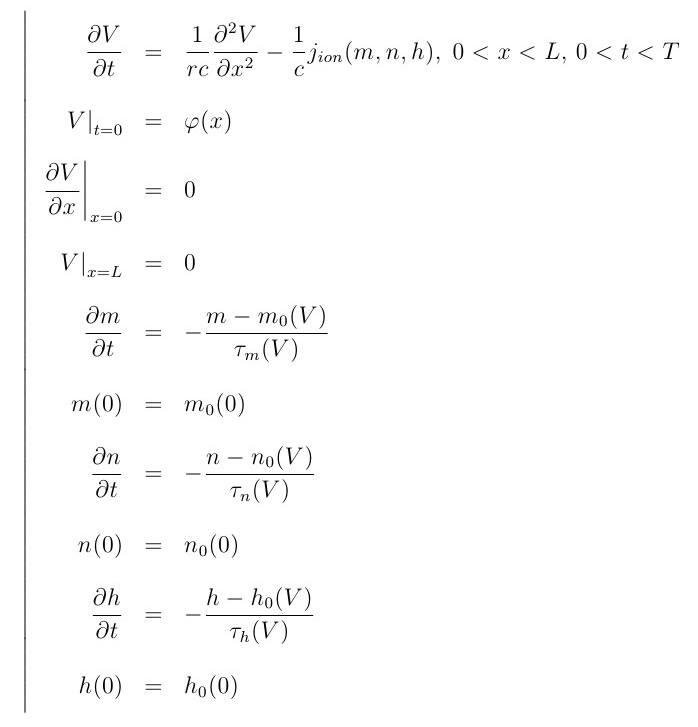
Модел на
Ходжкин - Хъксли
- Неврон на калмар
- Space - clamping
- Voltage - clamping

Динамика на натриевите и калиевите каналчета



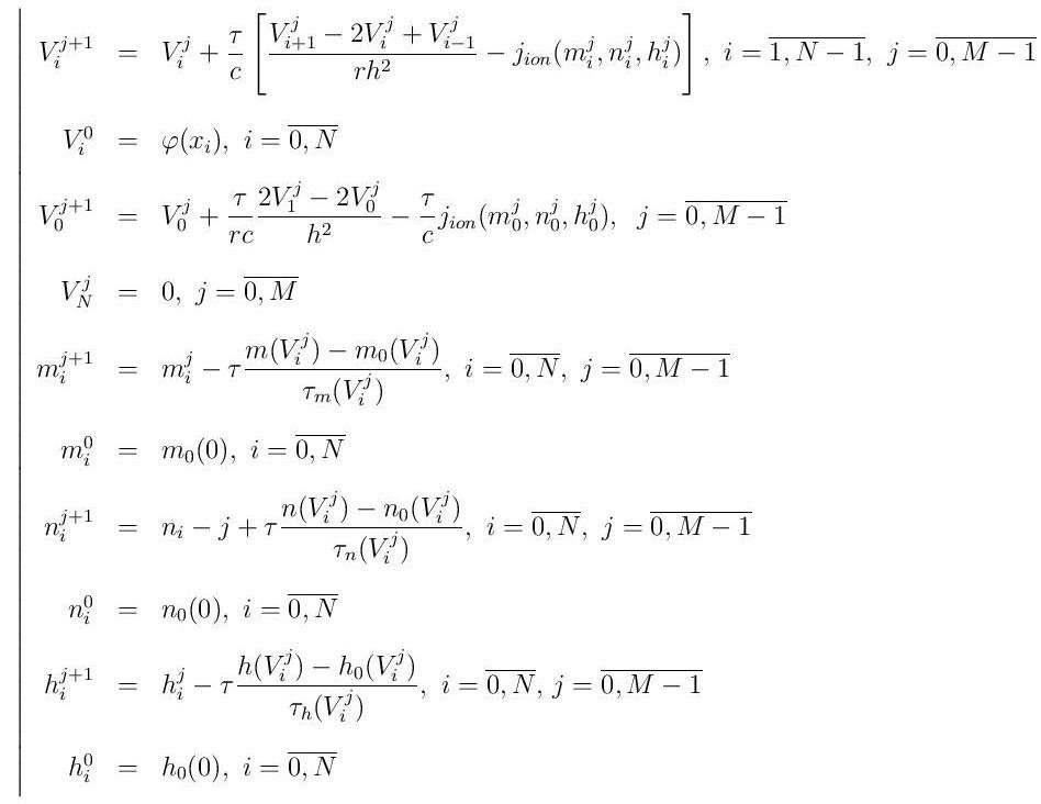
Системата диференциални уравнения m, h и n

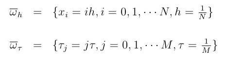
Означения
Характеристики описващи неврона
c - капацитета на мембраната на единица площ
J - йонният ток протичащ през мембраната от вътре навън за единица дължина
Закон за запазване на тока
Закон на Ом
уравнение на кабела






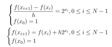
Пример:
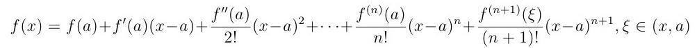
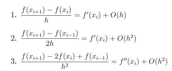
Формула На Тейлър

Формули




Ето и резултатите
Какво научихме ние от проекта?
- Doing things with Math are funnier than just programming
- Пишем доклад и документация!
- Няма разделение в науката, тя е едно цяло
Благодарим ви!

SeminarPMMRP
By Mariq Paskova
SeminarPMMRP
- 1,489
















